第三章 流通过程和再生产过程的现实条件
[130]第三章FN1
流通过程和再生产过程的现实条件
资本的直接生产过程,就是劳动过程和价值增殖过程。这个过程的结果是商品产品,它的决定性动机是生产剩余价值。
资本的再生产过程,既包括这个直接的生产过程,也包括真正流通过程的两个阶段,也就是说,包括全部循环。这个循环,作为周期性的过程,即经过一定期间不断地重新反复的过程,形成资本的周转。 无论我们考察的是
形式的循环,还是
形式的循环,直接生产过程P本身始终只是这个循环的一个环节。在前一种形式中,它表现为流通过程的媒介;在后一种形式中,流通过程表现为它的媒介。它的不断更新,资本作为生产资本的不断再现,在这两种场合,都以资本在流通过程中的转化为条件。另一方面,不断更新的生产过程,是资本在流通领域不断地重新完成各种转化的条件,是资本交替地表现为货币资本和商品资本的条件。
但是,正如每一单个资本家只是资本家阶级的一个分子一样,每一单个资本只是社会总资本中一个独立的、可以说赋有个体生命的部分。社会资本的运动,由社会资本的各个独立部分的运动的总和,即各个单个资本的周转的总和构成。正如单个商品的形态变化是商品世界的形态变化序列——商品流通——的一个环节一样,单个资本的形态变化,它的周转,是社会资本循环中的一个环节。
这个总过程,既包含生产消费(直接的生产过程)和作为其媒介的形式转化(从物质方面考察,就是交换),也包含个人消费和作为其媒介的形式转化。一方面,它包含可变资本向劳动力的转化,从而包含劳动力的并入资本主义生产过程。在这里,工人是他的商品——劳动力的卖者,资本家是劳动力的买者。另一方面,商品的出售,包含工人阶级对商品的购买,也就是说,包含工人阶级的个人消费。在这里,工人是买者,资本家是向工人出售商品的卖者。
商品资本的流通,还包含剩余价值的流通,从而也包含对资本家的个人消费,即对剩余价值的消费起媒介作用的买卖行为。
因此,各个单个资本就其总体、就其结合为社会资本来考察的循环,不仅包括资本的流通,而且也包括一般的商品流通。后者本来只能由两部分构成:(1)资本本身的循环;(2)进入个人消费的商品的循环,也就是工人用工资,资本家用剩余价值(或其中的一部分)购买的那些商品的循环。作为商品资本,剩余价值本身也包括在资本的流通中,因为剩余价值是资本的生产过程的结果。另一方面,资本的循环同样也包括可变资本向劳动力的转化,包括工资的支付,但是这种工资耗费在商品购买上,并不构成资本流通的环节,虽然工资的耗费是这个流通所不可缺少的。
在本书第一册FN2,我们把资本主义生产过程,既作为孤立的行为,又作为再生产过程来分析,作为剩余价值的生产和资本本身的生产来分析。资本在流通领域所经历的形式变换和物质变换被假定为前提,而没有进一步加以论述。我们假定,一方面,资本家按照产品的价值出售产品;另一方面,他在流通领域找到使过程重新开始或连续进行所必需的各种客观存在的生产资料。我们在那里曾经更详细地考察的流通领域中的唯一行为,是作为资本主义生产的基本条件的劳动力的买卖行为。
在本册的第一章FN3,我们考察了资本在它的循环中所采取的不同的形式和这个循环本身的各种形式。除了第一册所考察的劳动时间,现在又加上了流通时间。
在第二章34,资本的循环是作为周期的循环,也就是作为资本的周转来考察的。这里一方面指出了,资本的不同组成部分(固定资本和流动资本)怎样在不同的时间以不同的方式完成各种形式的循环;另一方面又研究了决定劳动期间和流通期间长短不同的各种情况。我们还指出了,循环期间及其组成部分的不同比例,对生产过程本身的范围和年剩余价值率有怎样的影响。事实上,第一章主要是考察资本在它的循环中不断地依次采取和抛弃的各种形式,而第二章研究的,是在各种形式的这种运动和相继更替中,一定量的资本怎样同时(尽管按不同的比例)分成生产资本、货币资本和商品资本这些不同的形式,以致不仅这些形式互相交替,而且总资本价值的不同部分也不断地并存于这些不同的状态中,并执行职能。特别是货币资本表现出一种在第一册里没有谈到的性质。在这里揭示了一些规律,按照这些规律,一定量资本的大小不等的组成部分,必须按照周转的条件,不断地以货币资本的形式预付和更新,以便使一个定量的生产资本能够不断地执行职能。
但是在第一章和第二章,我们考察的,始终只是单个资本,只是社会资本中一个独立部分的运动。
但是,各个单个资本的循环是互相交错的,是互为前提、互为条件的,而且正是在这种交错中形成社会总资本的运动。在简单商品流通中,一个商品的总形态变化表现为商品世界形态变化系列的一个环节,[131]同样,单个资本的形态变化现在则表现为社会资本形态变化系列的一个环节。虽然简单商品流通决没有必要包括资本的流通,——因为它也可以在非资本主义生产方式的基础上进行,——但如上所述,社会资本的流通、循环却包括那种不属于单个资本循环范围内的商品流通,即包括那些不形成资本的商品的流通。
现在,我们就要考察作为社会资本的组成部分的各个单个资本的流通过程(这个过程的总体就是再生产过程的形式),也就是考察这个社会资本的流通过程。
虽然下面阐述的内容属于本章的后面部分,但我们还是想立即在这里研究一下。
货币资本是社会总资本的组成部分
在考察单个资本的周转时,指出过货币资本的两个方面。
(1)第一,它是每个单个资本登上舞台,作为资本开始它的过程的形式。因此,它表现为发动整个过程的第一推动力。
(2)第二,由于周转期间的长短不同和周转期间两个组成部分——劳动期间和流通期间——的比例不同,必须不断以货币形式预付和更新的那部分预付资本价值与它所推动的生产资本即既定的生产的规模之间的比例,也就不同。但不管这个比例如何,能够不断执行生产资本职能的那部分处在过程中的资本价值,在任何条件下总是受必须不断以货币形式与生产资本同时存在的那部分预付资本价值的限制。这里说的只是正常的周转,一个抽象的(平均的)数。为消除流通的停滞所必需的追加的货币资本是撇开不说的。
关于(Ⅰ)。商品生产以商品流通为前提,而商品流通又以商品表现为货币,以货币流通为前提。商品分为商品和货币的这种二重化,是产品表现为商品的规律。同样,资本主义的商品生产,——无论是社会地考察还是个别地考察,——要求货币形式的资本或货币资本作为每一个新开办的企业的第一推动力和持续的动力。流动资本恰恰要求货币资本作为动力经过一段短时间不断地反复出现。
全部预付资本价值,即资本的一切由商品构成的部分——劳动力、劳动资料和生产资料,都必须不断地用货币一再购买。
在这里,就单个资本说是如此,就社会资本说也是如此,后者不过是以许多单个资本的形式执行职能。
但是正如第一册已经指出的,由此决不能得出结论说,资本执行职能的范围,在资本主义基础上生产本身的规模,就其绝对的界限来说,是由执行职能的货币资本的大小决定的。
并入生产资本中的各种生产要素的量,在一定的界限之内,不是取决于预付货币资本的量。在报酬相同时,可以从外延方面或内含方面加强对劳动力的剥削。如果货币资本随着这种剥削在外延方面或内含方面的加强而增加,那么,它也不是成比例地增加的,因而,根本不是相应地增加的。
生产上利用的自然物质,如土地、海洋、矿山、森林等等,不是资本的价值要素。只要对原有劳动力在内含方面或外延方面的使用不同,不增加预付货币资本,就可以从外延方面或内含方面加强对这种自然物质的利用。这样,生产资本的现实要素和体现在其中的生产出来的价值产品增加了,而货币资本没有增加,没有必要使用追加货币资本。如果由于追加辅助材料而必须追加货币资本,那么,资本价值借以预付的货币资本,也不是和生产资本效能的扩大成比例地增加的,因而,根本不是相应地增加的。
同一些劳动资料,简单地说就是固定资本,可以用延长使用时间的办法,也可以用增加使用强度的办法,更有效地加以利用,而无须为固定资本追加货币支出。这时,只是固定资本的周转加快了,可是它的再生产的各种要素也更迅速地提供出来。
撇开自然物质不说,各种不费分文的自然力,也可以作为要素,以或大或小的效能并入生产过程。这取决于使用它们的各种方法和科学进步,这些也是不花费资本家分文的。
关于劳动力在生产过程中的社会结合和各个单个工人积累起来的熟练程度,情况也是如此。(不太聪明的凯里算出,土地所有者从来没有得到足够的报酬,因为支付给他的,并不是自古以来为使土地具有现在这样的生产能力而投下的全部资本或劳动(当然不提从土地掠夺去的生产能力)。根据这种算法,对单个工人就必须按照整个人类为把一个野蛮人造就成一个现代的美国机器工人所花费的劳动,来支付报酬了。正好相反,我们倒是应该这样说:如果把投在土地上的一切没有报酬的、但已被土地所有者和资本家转化为货币的劳动计算一下,那么,投在土地上的资本已经一再以高额的利息偿还了,土地所有权也早就一再被社会赎买回来了。)
劳动生产力的提高,从社会的角度看,如果不包含资本价值的追加支出,当然首先只是增加产品的量,而不是增加产品的价值(撇开它能够用同量的劳动把更多的不变资本再生产出来,即把更多不变资本的价值保存下来这种情况)。但是,劳动生产力的提高同时形成资本材料,从而形成资本积累扩大的基础。
社会劳动组织本身,从而社会劳动生产力的提高,要求生产大规模地进行,从而要求预付大量单个货币资本。关于这一点,如第一册已经指出的,这部分地是通过资本在少数人手中的积聚实现的,而执行职能的资本价值,从而表现这些价值的预付货币资本,并不需要绝对地增大。单个资本可以通过这些资本在少数人手中的积聚来增大,而它们的社会总额并没有增大。在这种情况下,改变的只是各个单个资本的分配而已。
最后,上一章已经指出,通过周转期间的缩短,能用较少的货币资本推动同一的生产资本,或者能用同一的货币资本推动较多的生产资本。
[132]但是,这一切显然和真正的货币资本问题无关。
这只是表明,预付资本——一个由既定的价值额构成的资本,它在它的自由形式上,在它的价值形式上,等于一定的货币额——在转化为生产资本之后,包含着生产的潜力,这些潜力的界限,不是由价值量规定的,这些潜力能够在一定的活动范围之内,在外延方面或内含方面按不同程度发挥作用。如果生产要素——生产资料和劳动力——的价格是已定的,那么,购买一定数量的以商品形式存在的这些生产要素所必需的货币资本量,也是确定的。或者说,要预付的资本的价值量是确定的。但这个资本作为价值形成要素和产品形成要素的作用大小是可以伸缩,可以变化的。
关于(Ⅱ)。社会劳动和生产资料每年都必须有一部分用来购买(或生产)货币,以补偿磨损掉的铸币。不言而喻,这对社会生产相应地是一种削减。至于货币资本(它部分地充当流通手段,部分地充当贮藏货币),那么,既然它已经存在,已经取得,它大部分就同劳动力、生产出来的生产资料和财富的自然源泉并存。不能把这种货币资本看成是限制这些东西的。通过它转化为生产资本的要素(和外国进行交换)生产规模就能扩大。但这以货币依旧起世界货币的作用为前提。由于周转期间的长短不同,推动生产资本所必要的货币资本量也就有大有小。同样,在大多数情况下,——也就是说,或者劳动期间和流通期间彼此不相等,或者流通期间的长短和劳动期间的长短不成倍数,——都会形成潜在的(暂时闲置的)货币资本。
周转期间,就它由劳动期间的长度决定而言,在其他条件不变的情况下,由生产过程的物质性质所决定,所以,不是由生产过程的特殊的社会性质所决定。
但是,在资本主义生产的基础上,历时较长规模较大的事业,要求在较长时间内预付较大量的货币资本。所以,这里的生产取决于单个资本家拥有的货币资本的限度。这个限制被信用和与此相联的联合经营(股份公司)打破了。因此,货币市场的混乱会使这类企业陷于停顿,而这类企业反过来也会引起货币市场的混乱。
有些事业在较长时间内取走劳动力和生产资料,而在这个时间内不创造任何产品(有效用的);而另一些生产部门在一年间多次地或者不断地不仅取走劳动力和生产资料,而且也创造生活资料和生产资料。在社会公有的生产的基础上,必须确定,在没有后者参加的情况下,前者按什么比例进行。象从前一样,在劳动期间短的部门,工人将照旧只在较短时间内取走产品而不提供产品;在劳动期间长的生产部门,则在提供产品之前,在长时间内不断取走产品。
这种差别是由特殊的劳动过程的物质性质造成的,而不是由这个过程的社会形式造成的。在这里货币资本不再存在了。社会把劳动力和生产资料分配给不同的生产部门。生产者得到的是纸的凭证,以此从社会的消费品储备中,取走一个与他们的劳动时间相当的产品量。这些凭证不是货币。它们是不流通的。
我们知道,如果对货币资本的需求是由劳动期间的持续所引起的,那么,这是由两种情况造成的:第一,货币一般地说是每一单个资本(撇开信贷不说)为了转化成生产资本起初所必须采取的形式;这是由资本主义生产的性质(一般来说,由商品生产的性质)引起的。第二,必要的预付货币量和这种预付的长期性的产生,是由于在较长时间内不断从社会取走劳动力和生产资料,而在这个时间内却不向社会提供任何可以再转化为货币的产品。
第一种情况,即要预付的资本必须以货币形式预付,并不会由于这个货币本身的形式——不论是金属货币、信用货币、价值符号或其他等等——而消除。
第二种情况也决不会由于通过哪一种货币媒介(或一般来说,通过哪一种交易形式)取走劳动、生活资料和生产资料却不把等价物投回流通,而受到影响。
[134](a)不变资本、可变资本和剩余价值的社会流通
(a)从个人观点和社会观点看的产品价值组成部分
在考察资本主义生产过程时曾经指出,产品价值分为三个组成部分:一个价值组成部分等于生产过程中消费的生产资料的价值(不变资本);另一个价值部分等于生产过程中使用的劳动力的价值(与价格相符合);第三个组成部分等于生产过程中创造的并且体现在产品中的剩余价值。于是,假如所消费的生产资料或不变资本的价值为400镑,预付在劳动力上的可变资本为100镑,剩余价值率是100%,那么剩余价值量也是100镑,产品价值总计为600镑,即
假定生产要素的价格不变,生产规模不变,再假定资本家出售这个价值产品,把它转化为货币,转化为总额为600镑的货币。对于100镑剩余价值的花费我们不感兴趣。等于400c的第一个产品价值组成部分,只是再现于产品中,而其他两个组成部分,100v和100m,则构成生产过程中新生产的价值产品。然后,由于购买生产资料,400镑再转化为不变资本的现实要素,100镑由于购买劳动力再转化为可变资本的现实形式。在产品中,生产资本不复存在;它转化为商品,由于商品产品在流通领域所经历的形态变化,由于对这些形态变化起媒介作用的交换行为,它以其最初的形式被再生产出来。商品形式必须再转化为货币形式,货币形式必须再转化为构成生产资本的生产要素。产品再转化为生产资本,再转化为生产要素形式(它只有以这种形式才能作为生产资本执行职能),是以资本的流通过程行为为媒介的。但是,在考察直接生产过程时,这些行为只是被当作前提。对此我们没有详细论述。然而,一旦我们要比较详细地论述时,一些至今没有解决的问题就清楚地呈现出来。单个资本在其流通过程中只是作为社会总资本的一部分执行职能。它的运动不仅决定于它同社会总资本其他部分的社会联系,而且决定于它同整个商品世界,同整个社会再生产过程(不仅包括社会的生产消费过程,而且包括社会的个人消费过程)的社会联系。例如,价值600镑的产品——500镑生产资本执行职能的结果——必须转化为货币,即必须作为商品出售。商品是应该作为生活资料进入工人和资本家的个人消费,还是作为生产已经完成的或生产没有完成的劳动资料,或者是作为生产出来的材料,进入生产消费,也就是说,充当构成其他资本的物质因素,这取决于该商品的实物形式。
从产品的实物形式来看,例如,产品是奢侈品。虽然这个600镑的商品资本中,4/6即400镑,对单个资本家来说只代表他的不变资本的商品形式,1/6即100镑只代表他的可变资本的商品形式,但是很清楚,从社会观点看,这个商品形式的资本既不构成不变资本的物质要素,也不构成可变资本的物质要素,也就是说,它既不能充当生产资料,也不能充当必要生活资料。在研究开始时,我们遇到另一个严重得多的困难。体现600镑产品的商品,不管采取什么样的实物形式,产品价值的4/6都等于400镑,也就是产品的不变价值部分(在生产产品时损耗的生产资料的价值),只是再现于产品中。产品的这个不变价值部分,正如我们已经证明的那样,并不是真正地再生产出来。它不构成新价值产品的部分。(见第1卷第174页:“因此,生产资料的价值是再现在产品的价值中,确切地说,不是再生产。所生产出来的是旧交换价值借以再现的新使用价值。”FN4)一旦产品转化为货币,它的不变价值部分(在这里等于400镑)就进行向新的生产资料的再转化,这些新的生产资料应该补偿旧的、在生产过程中磨损了的生产资料。但是,用来补偿已损耗的不变资本的这些新生产资料的价值,肯定不是仅仅由再现的价值组成。另一个困难:我们看到,每个工作日分为两部分——必要劳动时间和剩余劳动。可以把社会的年劳动看作一个工作日。如果我取全部工作日的一个平均量,那么我们首先就会得出一个算作社会平均量的单个工作日。这个工作日乘以全年中每天使用的工人的平均数,就得出社会工作日。最后,这个社会工作日乘以全年工作日的平均数(按照我们的假设,它的长度是10小时),就得出表现为一个社会工作日的全部年劳动时间。例如,平均社会工作日为10小时。全年同时按10小时工作的工人的平均数为500。于是,一个社会工作日就是500×10=5000小时。最后,一年中做满的平均工作日数为300;于是,年总劳动就表现为一个长度为5000×300小时=500000×3=1500000,即表现为一个1500000小时的工作日。如果现在剩余价值率为100%,那么这个社会工作日就等于750000小时必要劳动时间+750000小时剩余劳动。象每个单个工人的工作日一样,这个社会工作日只由必要劳动时间和剩余劳动组成,只由生产工资的劳动时间和生产剩余价值的劳动时间组成。那么不是为生产工资或剩余价值,而是为生产补偿一年中所损耗的、所消费的不变资本的新生产资料所需要的劳动时间在那里呢?
在第1册中已经谈到(第574、575页)FN5,按照亚·斯密的看法,如果从社会的观点而不是从单个资本家的观点来考察总商品产品,产品中补偿不变资本的那个价值部分,就象纯主观的幻象一样完全消失了,而且斯密把这个教条遗留给他的所有门徒。为了向读者说明要解决的问题的复杂性,我们先来看亚·斯密本人是怎么说的。
[135]“在每一个社会中,每一种商品的价格最终地分解为这三个部分之一,或三者全体〈即分解为地租、利润(包括利息)和工资〉;并且在每一个进步的社会中,这三者都多少不等地作为组成部分加入绝大部分商品的价格中去。”
“例如,在谷物价格中,就有一部分支付土地所有者的地租,另一部分支付在谷物生产上使用的工人和役畜的工资或给养〈斯密在这里给劳动者和役畜定出同样的作用,并且同样地向他们“支付”工资,这一点看起来是天真的〉,第三部分支付租地农场主的利润。这三部分看来直接地或最终地构成谷物的全部价格。也许有人以为必须有第四个部分,用来补偿租地农场主的资本,或者说,补偿他的役畜和其他农具的损耗。但必须考虑到,任何一种农具的价格,例如一匹役马的价格,本身又是由上述三个部分构成:养马用的土地的地租,养马的劳动,预付这块土地的地租和这种劳动的工资的租地农场主的利润。因此,谷物的价格虽然要补偿马的价格和给养费,但全部价格仍然直接地或最终地分解为这三个部分:地租、工资和利润。”(第1篇第6章)
在后面的第三册里,我们将考察亚·斯密以他自己的分析形式对商品价格进行的分析,即对商品价格的三个组成部分——工资、利润和地租的价格进行的分析。而为了便于我们的研究,应该把商品价格的形式归结为更简单的表达方式。利润(利息)和地租——这只是剩余价值各组成部分的不同名称。因此,斯密对价格的分析归结为价格分解为工资(可变资本)+剩余价值,也就是说,构成价格的三个组成部分归结为两个。他所谈到的并且使之等于零的第四个组成部分,实际上是第三个组成部分,即产品中等于转移到产品上的不变资本价值的那个价值部分。
于是,从单个资本家的观点来这样阐述问题,产品价值存在于三个组成部分之中:补偿已消费的生产资料价值(不变资本价值)的价值部分,补偿可变资本(工资)的价值部分,最后是剩余价值(利润和地租)。例如,谷物的价值对单个租地农场主来说分解为:对已损耗的农具和役畜的价值补偿、工资和剩余价值。(租地农场主的利润和土地所有权的地租。)但是从社会观点看却不是这样。单个资本家本人认为是不变资本价值的那个东西,对另一个资本家来说,是作为由工资+剩余价值这两个要素组成的东西存在的。虽然对另一单个资本家,例如租地农场主向他购买农具和机器的那个资本家来说,情况并不是这样。对于这位生产农具和机器的厂主来说,他的产品——例如播种机——的价值由生产它们时损耗的机器、消耗的煤、原料(铁、木材)等等的价值部分组成,也就是说,由资本的不变部分、可变[部分]+剩余价值组成。但是在另外某个地方,机器制造业中所消费的机器、煤、原料等等的价值,仅仅分解为两个组成部分:工资和剩余价值;虽然如果我们考察生产蒸汽机、或生产铁、或生产煤的单个资本家时,情况又不是这样;等等。
(我们在这里完全不去说亚当在举例上的特别不幸。在他的例证中,谷物价值之所以分解为工资、利润和地租,只是因为役畜消费的饲料被看成役畜的工资,役畜本身则被看成是雇佣工人;因而雇佣工人也只不过被看成是役畜。)
总之,对每一单个资本来说,产品价值分解为三个组成部分——不变的资本价值+可变的资本价值(工资)+剩余价值(利润、地租),而对社会资本来说,总产品价值只分解为两个组成部分:可变的资本价值(工资)+剩余价值(利润、地租)。怎么证明这一点呢?
论证如下:
“既然就每一个特殊商品分别来说是如此<产品价值分解为工资+利润+地租,或分解为工资+剩余价值>,那么,就形成每一个国家的土地和劳动的全部年产品的一切商品整体来说也必然是如此。这个年产品的全部价格或交换价值,必须分解为同样三个部分,在国内不同居民之间进行分配,或是作为他们的劳动的工资,或是作为他们的资本的利润,或是作为他们占有的土地的地租。”(第2篇第2章)
因此,从每一单个资本的观点看,产品价值(与价格相符合)分解为
,而从社会资本的观点看,总年产品的价值(与价格相符合)分解为v+m;所以发生这种情况,正是因为,对每一单个资本来说商品产品的价值分解为v+m,而社会商品量的价值只不过等于组成这个量的单个商品的价值总额。
不过亚当·斯密必须说清楚,社会商品价值,或社会总资本生产的年商品价值,怎么能够不同于单个商品价值,也就是说不同于单个资本家的商品产品,而对每一单个资本家存在着的价值组成部分,一当我们考察这些资本家的总数时,这个部分怎么就不存在了(不如说,甚至消失了),也就是说,从社会资本观点看它怎么就消失了。他是这样论证的:现在作相反的假设,即如果从社会资本的观点看问题,要消失的那一个价值组成部分,从单个资本家的观点看也是不存在的。他不承认一开始曾设想:商品价值的社会构成和单个构成之间存在着实际的或想象的矛盾。相反,他认为对于每一单个资本家是正确的事情,对于他们的总数即社会资本也必然是正确的。由此必然得出结论,宁可说由于产品的不变价值部分对于单个资本存在,所以它对于社会总资本也存在。[136]正因为如此,杜格耳德·斯图亚特在斯密的《国富论》中发现了
我们认为,斯密把产品价值分解为工资+剩余价值,这是一种轻率的概念。它的作者安慰自己说,如果价值的这种分解不是“直接”发生的,即在考察某一单个资本从而考察单个产品时发生的,那么“最终”这种分解仍然必定是正确的。商品价值如此“最终”分解为工资+剩余价值——这完全是用无限的进程来聊以自慰的随意设想。资本A的产品包含着等于转移到该产品上的不变资本价值的那个价值组成部分,但是这个消费了的不变资本是资本家B的产品,他的生产资料又是资本家C的产品,依此类推。包含在年产品中的社会产品的不变资本价值最终必然会在某个资本家X手中完结、消失。把问题从A转移到B,从B转移到C,从C等等一直转移到X,从而把问题越推越远,直到我们的视线达不到的远处,这种做法是不能解决问题的。同样,A、B等等手中的产品价值,我们也可以从一开始就假设,它分解为即直接分解为工资+剩余价值。我们看到,斯密进行论证的全部进程只不过归结为,在最后直接假设最终必然发生的事情;因此他的论证的进程是,最终假设的情况与他曾直接假设的情况正相矛盾。
施托尔希接受亚·斯密的这种概念,把由工资和剩余价值(利润、地租)总额构成的这种价格称为必要价格(prix necessaire),他说:
“用在材料、原料和成品上的流动资本本身<可见,这就是由辅助物质、生产材料构成的那部分不变资本,生产材料本身包括半成品>,是由商品构成的。这些商品的必要价格,是由同样的要素构成的。因此,在考察一个国家商品的总体时,把这部分流动资本算在必要价格的要素内,就是把同一个东西计算两次。”(1815年彼得堡版第2卷第140页)
这里唯一需要指出的是“计算两次”。很清楚,例如,纱是生产麻布的原料,虽然纱的价格构成织布业主的一部分不变资本,但是从社会观点看,纱的价值中包含的工资不可能支付两次,即从织布业主的角度看作为原料(或更确切些说,原料的一部分)的价格支付,从纺纱业主的角度看作为工资支付。对社会来说,这部分价值是工资,尽管它表现为织布业主的一部分不变资本。这只是证明,从社会观点考察的价格,不同于从单个资本家的观点考察的价格,但是决不证明斯密对价值的分析是正确的。
接着,施托尔希说:
“不错,工人的工资同企业主利润中由工资(如果我们把工资当作一部分生活资料来看)构成的部分一样,也是由那些按市场价格购买的、本身包含工资、资本利息、地租和企业主利润的商品构成的……这种看法不过证明,要把必要价格分解为它的最简单的要素,是不可能的。”(同上,注)
例如,假定按斯密的意见来分解价格,就应该认为,纱的价值由工资+剩余价值组成。如果撇开货币形式,那么工资就由商品组成,而这些商品又由工资+剩余价值组成。这个问题本来同我们讨论的问题毫无共同之处。这里有两个情况。第一,用商品价格决定劳动价格,然后又用劳动价格决定商品价格,这是循环论证。第二,正如我们已经指出的(第1卷第187页及以下各页FN6),虽然每一单个的局部的产品(商品部分)的价值(与价格相符合)分解为
但是,另一方面,产品作为整体可以分解为:价值只等于c的一部分产品,价值只等于v的另一部分产品,价值只等于m的第三部分产品。在那里(在第1卷),这是用来说明每一单个资本的产品价值的。这样一来,对于社会资本来说,这个问题也已经解决了。经济学家既然不能说明单个资本家的商品产品的这种价值分解,当然就更不能说明社会总资本的这种价值分解。
施托尔希说,不能把流动的不变资本计算两次,这句话只不过是斯密原理的另一种说法而已,这种说法是为把商品价格分解为工资+剩余价值并摆脱从社会观点计算不变资本(在这里是流动的不变资本)的必要性所需要的。例如麻布的价格。这个价格从一开始就包含从事麻布生产的资本家和工人的工资+剩余价值。此外还有等于纱、煤等等、所使用的机器和厂房等等的价值的不变资本部分。构成织布业主的不变资本价值的所有这些商品的商品价值又分解为工资+剩余价值+不变资本部分。在考察体现在麻布中的全部社会产品部分时,不能对其中包含的工资和剩余价值总额计算两次(既作为纺纱业主、亚麻种植业主、煤矿业主、机器制造业主等等的工资和剩余价值,又作为织布业主的不变资本价值进行计算),这是很清楚的。对包含在总产品中的同一些价值要素,即工资和剩余价值,不能计算两次(更确切地说,重复计算),但是决不能由此得出结论说,全部价值产品分解为工资+剩余价值,或者说全部不变资本消失了,也就是说,完全不算数了。无论如何,应该由此得出结论说,从社会观点看的不变资本,不可能由从各单个资本家的观点看表现为不变资本的所有那些资本部分的价值总额构成。
[137]现在我们从另一个观点来考察斯密的分析。
所有商品的价格分解为工资+利润(包括利息)+地租,即分解为工资+剩余价值。
商品产品的价格中等于工资的那个要素,只不过是处于商品形式中的可变资本,它是由资本家在购买劳动力时预付的,并且由工人把它作为工资花费。这就是商品产品中补偿可变资本以便不断作为可变资本重新预付出去的那个部分。
商品价格按成分来说等于工资+剩余价值,即等于可变资本+剩余价值。
剩余价值不构成预付资本的任何部分,不构成资本预付的任何部分。确切些说,这是新的价值产品,它作为超过预付资本价值的余额被生产出来。这一点首先对于社会剩余价值中由每一单个资本为自己生产的那一部分剩余价值来说是很清楚的。另一方面,单个资本家支付他所购买的生产资料的价值,他的不变资本不断反复地体现在这些生产资料中。
这个价值也包含着这些商品——这些生产资料——中所包含的剩余价值。但是,如果我们考察社会资本,——也就是年社会价值产品,——那么很清楚,剩余价值不可能被“计算两次”,对于每一单个资本家来说,它不可能超过社会资本中他所预付的那个部分而形成余额,总之,它不可能既形成剩余价值,同时又表现为社会总预付资本的组成部分。不管从单个资本家的观点看事情是怎么样的,社会年产品价值中由剩余价值构成的要素,不形成社会预付资本的任何要素。
如果从社会产品价格中预付资本或资本要素的观点看,公式分解为:
工资+剩余价值=可变资本+剩余价值,分解为:
|
可变资本+0,或 |
|
因为剩余价值不是预付在 |
|
分解为可变资本 |
社会资本生产上的部分。 |
或者,从社会观点看,全部预付资本直接地或最终地归结为可变资本,归结为预付在购买劳动力上或花费在工资上的资本。
这就是斯密的价格分析的必然结果。实际上这不过是他的直接说法的另一种表述。他说,第四部分,即花在生产资料上的部分,只是在主观上(从单个资本家的观点看)才形成商品价值的组成部分,而在社会方面不是这样;因而,不变资本价值,作为特殊的价格形成要素,并不包含在商品中,因而,不变资本价值,作为资本的一部分,并不预付在商品生产上。
虽然亚·斯密在这一点可能导致荒谬看法的地方忘记了这一点,但他仍然明确地谈到了这一点:
“无论在哪一个国家,土地和劳动的年产品中补偿资本的那个部分,始终只直接用来维持生产劳动者的生活。它只支付生产劳动者的工资……一个人无论把自己的哪一部分基金用作资本,他总是希望这部分基金能得到补偿并带来利润。因此,他只用它来维持生产劳动者的生活;这部分基金为资本家执行了资本的职能之后,便成为生产劳动者的收入。”(第2篇第3章)
换句话说,全部社会预付资本由可变资本组成,即由这样一个价值额组成,它只有在资本家用它购买劳动力时才为资本家执行资本职能,然后转化为生产劳动者的收入,或者说,由生产劳动者用来购买必要生活资料。
亚·斯密是在考察资本积累那一章里指出这一点的。在资本积累、资本新形成时,情况确实是这样,这时资本的最初职能和生产方式、资本的真正实质暴露出来。这里我们在资本的原初状态看到这种情况。新形成的资本所具有的情况,对于原有资本也是正确的。那里所看到的东西,只是这里大部分看不到的东西。因为按照亚·斯密的意见,现在资本的预付实际上可以只由可变资本的预付组成,所以积累实际上就把这个资本归结为每年生产的财富中转化为可变资本或花在工资上的那个追加部分。
“一年内节约下来的东西,象一年内支出的东西一样,照例是会被消费的,而且在同时被消费;不过,它是被另一些人消费的。富人一年内支出的那部分收入,大多数情况下由无用的食客和家仆消费,这些人决不会用任何一点东西来补偿他们的消费。富人一年内为获取利润而节约的那部分收入,直接作为资本使用,消费相同,时间也几乎相同,但由另外一些人消费,由农业劳动者(labourers)、工业劳动者〈与农业劳动者《labourers》相对而言的工业劳动者(manufacturers)〉和手工业者消费,他们把自己一年消费的价值再生产出来,并提供一笔利润。”(同上)
在第1卷第574―575页FN7我们已经指出过,亚·斯密把生产劳动进行消费和生产劳动者消费财富混为一谈,而由于生产劳动进行消费,每年生产的财富中的追加部分作为资本执行职能,因此作为资本积累;这样一来,全部积累就转化为可变资本的追加使用,——然而这完全符合斯密的前提的概念,即全部预付资本从社会观点看直接地或最终地就是预付可变资本,社会资本就其总体来看仅仅由可变资本组成。FN8
[138]李嘉图几乎是逐字地重复亚·斯密的这种积累理论:
“必须懂得,一个国家的全部产品都是要消费掉的,但究竟由再生产另一个价值的人消费,还是由不再生产另一个价值的人消费,这中间有难以想象的区别。我们说收入节约下来加入资本,我们的意思是,加入资本的那部分收入,是由生产工人消费,而不是由非生产工人消费。”(大·李嘉图《政治经济学和赋税原理》1821年伦敦第3版第163页)
事实上,李嘉图乐于接受亚·斯密关于商品价格由工资+剩余价值,或可变资本+剩余价值组成的理论。他和斯密争论的问题是,1.关于剩余价值的各个组成部分:李嘉图把地租排除在剩余价值的必要的要素之外;
2.实际的向前推进:李嘉图把商品价值分解为这些部分。因此,价值量是前提。价值各组成部分的量的总额是既定的。斯密却相反(他常常背离自己固有的比较深刻的见解),在他那里,工资、利润等等是事先假定的,因此价值量是事后由它们相加得出的。
“李嘉图忘记了,全部产品不仅分为工资和利润,而且还必须有一部分补偿固定资本。”
(拉姆赛所说的同其他资本相区别的固定资本,正是我所说的不变资本即劳动资料和生产材料。)(拉姆赛,同上,第174页注)
拉姆赛顺便说道:
“价值取决于(1)任何商品(从第一个到最后一个)中包含的全部劳动量。(2)取决于这种劳动的产品的一定部分作为固定资本存在的持续时间,也就是以一种虽然有助于未来商品量的增长,但不构成维持工人生活的资料这样一种形式存在的持续时间。”(同上,第59页)
第二点意见很重要。不变资本中有一部分,或以价值或以实物形式,加入用于消费并且本身形成社会年收入的商品产品量,即使这一部分,在一定的“持续时间”也作为不变资本执行职能。不管我们怎样考察问题,——是从个人观点考察,还是从社会观点考察,——这一“部分劳动产品”(虽然它后来构成消费基金要素)在一定的时间内作为不变资本执行职能。这个部分还必须不断地被再生产出来。因此,社会劳动产品的一定部分虽然转化为适于消费的商品,但始终要作为不变资本执行职能。这就是A部类36(我们以后要对它进行考察)的不变资本。
约·斯·穆勒先生自然是以其特有的学究式的妄自尊大重复斯密传给他的后继者们的理论:
“……资本家用于生产的费用……由支付劳动的工资构成。直接付出的工资占每个资本家开支的相当大一部分。其中包括用在材料、工具和建筑物上的费用。但是材料和工具是由劳动生产的;因为我们所假设的资本家不是代表单独一个部门,而是代表全国生产工业的一个类型,所以我们可以假设,他自己生产工具,提供材料。他借助预支的费用完成这件事,这些费用也全是由工资构成。如果我们假设他不生产而是购买工具和材料,那么事情也不会有变化:他补偿另一个生产者所支付的工资。不错,他补偿给他的还有利润,如果他自己生产这些东西,他自己就会获得这部分费用的利润,就象获得其他部分费用的利润一样。但事实终归是事实,在整个生产过程中,从材料和工具直到成品,全部费用仅仅只由工资构成;例外的只是参加进来的资本家中的那样一些人,他们为了公共利益〈!〉到工序完成得到自己的一份利润。最终的产品中不构成利润的那一部分,全都是对工资的补偿。”(约·斯·穆勒《政治经济学原理》1868年伦敦大众版第253页)
事实上,约·斯·穆勒先生在更早的一部著作中就企图用一个例子来说明和解释斯密的以及李嘉图的理论。为了便于计算等等,他在那里曾假设,由于某种发明,种植谷物的资本家(租地农场主)不需要固定资本和种子了。(《略论政治经济学的某些有待解决的问题》1844年伦敦版[第100页])
(资本家必须象其他任何不是资本家的商品生产者一样支付自己的生产资料的价值。至于这种商品价值的一部分由无酬劳动,也就是由剩余价值组成这一事实,丝毫不会使这些商品的价值发生变化,因而也不会使资本家必须支付这个价值这件事发生变化。因此可以认为,资本家由于必须把自己的生产资料价值,即他的资本的现实要素的价值,以货币形式投入流通,所以他由此也会提供剩余价值流通所必要的货币。于是,一个资本家为支付不变资本而投入流通的货币额,同时对另一资本家来说(其实在每一单个场合,情况看来也是这样)就表现为他的剩余价值流通所必需的货币。例如,织布业主购买纱、机器、煤等等。这些生产资料的价值中也包含着剩余价值。这些货币由织布业主作为他的不变资本的形式预付出去或投入流通,但是,同时这些货币把生产纱、机器、煤等等的资本家的剩余价值转化为货币。他们可以用这些货币再去购买个人消费的麻布,这些货币又可以实现织布资本家的剩余价值。但是每一单个资本家,就他个人来说,不能把他预付在不变资本上的并且由于出售商品而不断重新流回他手里的那些货币当作收入花费;他任何时候也不能把这些货币当作他的剩余价值的货币形式花费。对于单个资本家来说是正确的事情,对于单个资本家的总数,对于资本家阶级来说,也是正确的。由此产生出全部的混乱。构成不变资本——不论是单个资本家的还是全社会的——的商品量的价值,就象资本主义生产的所有商品的价值一样,可以分解为资本的不变部分+资本的可变部分+剩余价值。(但是这也适用于单个资本家的每个局部产品,特别是当他的产品由离散的产品,如谷物、机器等的量构成时,这种情况是显而易见的。)对我们来说,这是孤立的社会的局部产品。但是,如果从一部分产品的角度看问题,那么这个[外观]就会消失。以不变资本形式执行职能因而通过买卖在各资本家之间进行分配的商品量,只是社会商品量或年产品的一部分。作为这样一个特殊部分,它只不过是社会不变资本价值的实物形式。这个商品量既不包括工资花费在上面的商品量,也不包括剩余价值花费在上面的(或在其中得到实现的)商品量。它的价值——就是社会产品价值减去工资价值,再减去剩余价值。
[139]可见,必须预付在构成不变资本的那部分社会商品量的流通上的货币,并不预付在构成剩余价值的商品量的流通上,同样也不预付在构成工资的商品量的流通上。关于这一点应该在后面比较详细地叙述。)
约·斯·穆勒先生又说:
“从长远来看〈这应该是时间持续的意思〉〈这是斯密的“最终”这个词的穆勒式的文雅的代用词,它是同“直接地”一词相对而言的〉,资本本身全部分解为工资,当资本因产品出售而得到补偿时,会再转化为工资。”
37
前面我们说过(第1卷第553页):
“剩余价值作为资本价值的周期增加额或处在过程中的资本的周期果实,取得了来源于资本的收入的形式。”FN9如果资本家每年消费剩余价值,就象剩余价值每年被生产出来那样,那么资本家就是把它当作收入来花费。这是他的产品价值中每年他可以作为私人消费者花费的那个部分。相反,如果他把剩余价值转化为资本,如果他把它投入资本,那么按照我们刚才叙述的斯密的理论,这也丝毫不会改变这部分产品的消费性质。区别只在于,资本家让其他人——不是家仆而是生产工人——消费掉这部分产品。
至于这种剩余价值在不同的人之间进行分配,一部分以生产资本家的利润的名义,另一部分以借贷资本家的利息的名义,第三部分以土地所有者的地租的名义,被装入私囊和消费掉,这完全不会使事情发生变化,全部年剩余价值仍然表现为资本的年收入,并且作为这种收入可以被非生产地消费掉。
商品价值的另一个组成部分(按照斯密的分析),是资本家用来购买劳动力,从而以工资形式支付给工人的可变资本价值。可变资本即同劳动力进行交换的实际商品(而不是这些商品借以预付出去的货币形式),不论是它的价值还是它的实物形式,实际上只不过是工人本身每年以实物形式和按价值生产出来的一部分商品量。这个部分作为可变资本进行预付只是资本主义生产过程所特有的表现形式。因为这部分年产品或年产品价值是劳动力的周期果实,每年由工人在资本主义生产过程中消费,所以即使它在资本家手中不构成任何预付的可变资本,它也可以看作是工人的年收入。这种收入分解为工人每年消费的必要生活资料和其他生活资料。
可见,由于每年生产的社会产品的价值等于:
可变资本+剩余价值,等于工资+剩余价值,
所以这个价值可以非生产地消费,可以加入资本家和工人的个人消费。年总工资构成工人阶级的年收入,这个收入的价值可以在一年中以价值相等的一部分年产品的形式被消费掉。年总剩余价值构成资本家阶级的年收入,资本家阶级每年可以用这个价值购买和消费年商品产品中代表剩余产品的那一部分。
总之,每年生产的商品量的价值等于
工人工资的价值+资本家阶级的剩余价值
等于工人阶级的收入+资本家阶级的收入。
这两种收入的总价值等于每年生产的商品量的总价值。一个总价值抵补另一个总价值。因此,每年生产的商品量可以作为收入花费和消费。
由此可以得出结论,社会的,更确切地说,一国的或国家的年总生产归结为年收入,即归结为等于剩余价值总额的资本家阶级的收入和等于每年支付的工资总额的工人阶级的收入。因而,社会的全部年产品会进入社会成员的年个人消费。
亚·斯密反对从他的理论中得出这种必然的结论。具有独创精神的思想家从来不会作出荒谬的结论。他们把这件事留给让·巴·萨伊和麦克库洛赫之流去做。FN10
亚·斯密在第2篇第2章先引述自己的理论,即商品价格分解为工资(可变资本)+剩余价值(工资+利润+地租),然后接着说:
“这个年产品〈“形成每一个国家的土地和劳动的全部年产品的一切商品整体”〉的全部价格或交换价值,必须分解为同样三个部分〈“劳动的工资,资本的利润或地租”〉,在国内不同居民之间进行分配,或是作为他们的劳动的工资,或是作为他们的资本的利润,或是作为他们占有的土地的地租。”
可见,全部年产品归结为收入,可以由相应收入的所有者消费。亚·斯密从正确的运用自己的价格理论一下子转到相反的论点。转变是通过不正确的举例、直接的歪曲进行的。
“虽然一国土地和劳动的年产品的总价值这样在国内不同居民之间分配,构成他们的收入,但是就象我们把私人地产的地租区分为总地租和纯地租一样,我们也可以对一个大国全体居民的收入作这样的区分。
私人地产的总地租包括租地农场主所支付的一切;纯地租则是扣除管理、修理的开支以及其他一切必要费用之后,留归土地所有者的东西,换句话说,是他不损及自己的财产而可以归入用于直接消费……的基金的东西。”(第2篇第2章)
亚·斯密通过把年产品总价值归结为工资+剩余价值,或象他说的,归结为工资+利润+地租,从而把社会的年总产品归结为社会的年收入,也就是归结为一年中必须消费的产品。然后他企图借助于某些实际上是荒谬的作法,用“收入”一词来摆脱这种伤脑筋的处境。
这里以单个土地所有者的地租为例,因为地租构成剩余价值的一部分,而且本身构成分解为收入的产品的价值的一部分。
现在在这个例子中必须说明,收入并不分解为收入,这一点对于单个土地所有者就象对于社会一样是不正确的。但是怎样证明这一点呢?借助于荒谬的概念混淆。
[140]第一个歪曲:假设资本家(租地农场主)提供进行耕作所需要的全部资本,也包括建筑物等等。资本家为进行修理,一般来说为补偿所消费的不变资本,维修他的农具所花费的那部分产品价值,不形成他生产的剩余价值或他的收入的任何一部分。这部分价值形成补偿生产中消费的不变资本的产品的一部分价值。如果不是租地农场主,农业资本家,而是土地所有者提供这部分不变资本,并且必须使它得到补偿,这一点并不会使事情发生变化,不论是前一种情况还是后一种情况,这种产品中必须用于修理费的那部分价值,不构成剩余价值的任何组成部分,但是构成补偿一部分不变资本的那个组成部分。这部分产品价值不构成地租即剩余价值的任何部分(斯密把地租只看作剩余价值的一部分)。它只具有属于地租的外观,因而构成土地所有者的一部分收入,因为租地农场主并不直接用它补偿自己的不变资本,而是把它支付给土地所有者,后者为租地农场主补偿这部分不变资本。补偿不变资本的这部分产品价值是由A花费,还是由B花费,这绝对不会使事情发生任何变化:这部分价值照旧不构成收入,而构成补偿不变资本[的基金]。亚·斯密企图这样掩盖这个伤脑筋的事实,他先让租地农场主把产品价值的这个不变部分支付给土地所有者,然后让土地所有者再把它偿还给生产基金:也就是说,斯密让土地所有者不是作为土地所有者,而是作为与租地农场主相结合的资本家。如果租地农场主有合伙人,并且把价值产品的一定部分支付给他作为维修建筑物等等的费用,以便补偿已消费的不变资本,难道这部分价值会因此而成为某人的收入或剩余价值的一个部分吗?
第二个歪曲。但是,亚·斯密并不满足于这种虚假的搪塞之辞,他又谈到了单个土地所有者从自己的地租中支付的所有其他费用。比如说,土地所有者必须向为他收租的地产管理人支付工钱,向对他的地产实行抵押借款的资本家支付利息,向国家缴纳税款。所有这些同样构成这位善良的土地所有者的纯收入的正当扣除。但是这绝对不会使下面这件事发生任何变化,即作为地租支付给他的那部分土地产品价值,构成由他、他的管理人、他的债权人以及国家作为收入进行消费或可以进行消费的剩余价值。至于剩余价值起初由A得到,但并不全部留在A的口袋里,而是必须同B、C、D等等分享,这一点与这个剩余价值的经济性质没有任何关系,不管从剩余价值形成产品价值的一个组成部分来看,还是从它形成收入来看,都没有任何关系。
但是亚·斯密说“我已经拯救了自己的灵魂”38——他现在开始精力充沛地进行论述,流动资本的一部分(这里他所指的正是每年生产的商品资本中必须补偿固定资本的那个部分)
“构成社会纯收入的一部分”(同上),
就是说,从社会观点看,这个部分任何时候也不会分解为剩余价值或工资,同样,
“构成个人或社会的固定资本的机器和其他生产工具,不是总收入或纯收入的部分”[第2卷第272页]。
亚·斯密只把产品价值中补偿固定资本的那个部分看作补偿不变资本,因而既不分解为工资也不分解为剩余价值,也就是说不分解为任何人的收入的价值部分。这种情况在这里完全无关紧要。只要产品价值有一部分分解为不变资本价值,而不分解为工资,不分解为剩余价值,有这样一个结果就够了。斯密为总收入和纯收入所做的区分,只是为了对与他的价格分解相矛盾的这个结果进行辩解,对他和他自己相矛盾进行辩解。总收入——这是完全不能说明总商品产品的词句。至于这个总商品产品的价值分解,——不是分解为收入,——这在总收入价值大于纯收入价值这句话中已经说出来了。如果纯收入指的是剩余价值,那么这就是说,总产品价值分解为补偿不变资本所需要的东西+可变资本+剩余价值,剩余价值等于纯收入。如果说的是产品中什么部分分解为收入,那么可变资本也分解为工人的收入,结果是,产品价值分解为生产产品时损耗的不变资本的价值+收入(等于工资+剩余价值)。
亚·斯密不敢做,而他的庸俗化者让·巴·萨伊敢于去做的,就是从斯密的价格分析得出逻辑的结论。他直截了当地说,从社会观点看,总收入和纯收入没有任何差别,因此,全部社会产品分解为收入,每年由工人当作工资,由资本家当作利润,由土地所有者当作地租,全部用掉。
“一个人拥有一万法郎收入并且把它们全部吃光,——是否因为他把收入全部用掉就应该把他看作是没有收入的人呢?”
纯产品只能和私人利益有关系,“每一个企业主从局部出发〈可见这种事纯粹是主观的〉,把他所得到的东西扣除他所支付的东西以后的余额看作纯产品;然而他所支付的东西,他预付出去的东西,对接受他的支付的人来说是纯产品。呢绒厂主向农民购买羊毛:付出的价值对他本人来说是预付,对农民来说是利润,是农民收入的一部分。农民又只把他所得到的东西,他的返回来的费用看作纯产品;而他的费用本身又构成某人的收入——例如他的耕地人,他对后者的劳动进行支付。
因此,一切产品的总价值,是作为收入在社会上进行分配的”。(让·巴·萨伊《论政治经济学》1817年巴黎第3版第2卷第64页)
[141]由此可见,由于所有商品的价值都分解为工资+剩余价值(分解为工资+利润+地租),而且每一个价值组成部分都构成工人、资本家或土地所有者的收入,资本家的预付可变资本分解为工人的工资,从而分解为收入,所以社会总年产品的价值分解为各种收入,因此可以在一年中进行消费。
至于价值的不变部分,生产中消费的生产资料的价值,年产品价值中构成不变资本的那一部分,则只是主观的假象,只有从单个资本家的观点来看才是真实的。所以,充当一个人的不变资本,总之是充当资本的东西,事实上是另一个人的收入——这句话从那时起在庸俗经济学中处处可见。
最后,虽然当考察每一单个资本家时,所生产的价值产品只等于工资+剩余价值,而且与产品的总价值不相符,后者还包括这一资本家所使用的、所消费的、但不是年劳动所生产的生产资料的价值,——但从社会观点看,资本家阶级每年生产的价值,与产品总价值,与物化在社会年产品中的价值是相符的。因此资本家阶级可以用等于工资+剩余价值的价值购买社会年产品。
“要完全了解这种收入,就必须注意,产品的全部价值分解为各种人的收入,因为任何产品的总价值,都是由促成它的生产的土地所有者、资本家和勤劳者的利润〈工资在这里正是叫做“勤劳者的利润”〉相加而成的。因此,社会的收入和生产的总价值相等,而不象某派经济学家所认为的那样,只和土地的纯产品相等。”(同上,第63页)
顺便指出,萨伊的这个发现也为蒲鲁东据为己有。
斯密的价格分析导致这个真实的、从他的观点看是必然的、但显然是荒谬的结论,这种分析很自然地引起了相反的意见,这种意见恰恰来自把斯密教条当作基础的人,这个人在这个基础上声称对商品价格的任何确定的分析都是不可能的,——这就是施托尔希。
“让·巴·萨伊先生断言……一国的收入等于它的总产品,也就是说,从收入中没有给生产费用留下任何东西……很明显,年产品的价值一部分分解为资本,一部分分解为利润。年产品价值的这两部分中,每一部分都要有规则地用来购买国家所需要的产品,也用来维持该国的资本和更新它的消费基金……”(施托尔希《论国民收入的性质》1824年巴黎版第128、134―135页)
“我们要问,靠自己的劳动来满足自己的全部需要的家庭(我们在俄国可以看到许多这样的例子)……其收入是否等于这个家庭的土地、资本和劳动的总产品?难道一家人能够住自己的粮仓和畜棚,吃自己的谷种和饲料,穿自己役畜的毛皮,用自己的农具当娱乐品吗?按照萨伊先生的论点,对所有这些问题必须作肯定的回答。”[同上,第135―136页]“萨伊把总产品看成社会的收入,并由此得出结论说,社会可以把等于这个产品的价值消费掉。”[同上,第45页]“一国的纯收入,不是由已生产出来的价值超过消费了的价值总额的余额构成,就象萨伊所描写的那样,而只是由已生产出来的价值超过为生产目的而消费了的价值的余额构成。因此,如果一个国家在一年内消费这全部余额,那么它就是消费自己的全部纯收入。”[同上,第146页]“如果承认一个国家的收入等于该国的总产品而不必扣除任何资本〈即不变资本,因为可变资本的价值由工人作为工资,因而作为收入消费〉,那么也必须承认,这个国家可以把年产品的全部价值非生产地消费掉,而丝毫无损于该国的未来收入。”[同上,第147页]“构成一个国家的资本〈即不变资本〉的产品,是不能消费的。”[同上,第150页]
可见,施托尔希认为,社会年产品的价值一部分补偿不变资本(生产资料),另一部分分解为工资和剩余价值。FN11但是,施托尔希忘记告诉我们,这个结果和他所接受的斯密的价格分析,是怎样一致起来的,而按照这种分析,每个商品的价格等于工资+剩余价值,也就是说不包括不变资本部分。只是(通过萨伊)他才弄清楚,这种价格分析导致荒谬的结果。
西斯蒙第曾专门研究资本和收入的关系,但事实上把对这种关系的特别说法当成他的《新原理》的特征。他没有说出一个有科学意义的字眼,对于问题的解决,没有做出一丝一毫的贡献。
巴顿、拉姆赛和舍尔比利埃都试图超出斯密的观点。但是,他们失败了,因为他们不能把不变资本价值和可变资本价值之间的区别与固定资本和流动资本之间的区别截然分开,从而一开始提出问题就是不正确的。
结果是:斯密的混乱思想一直延续到今天,他的教条成了政治经济学的正统信条。
[142](b)规模不变的再生产
(A)假定没有货币流通
如果我们考察社会资本,即总资本——各单个资本形成它的分数部分,这些部分的运动,既是它们的单个的运动,同时又是总资本运动的不可缺少的环节——在一年内执行职能的结果,也就是说,如果我们考察社会在一年间提供的商品产品,那么,就会清楚地看到:社会资本的再生产过程是怎样进行的,这个再生产过程和单个资本的再生产过程相比有哪些不同的特征,二者又有哪些共同的特征。年产品既包括社会产品中补偿资本,即加入生产以及再生产的那些部分,也包括归入消费基金的、由工人和资本家消费的那些部分,就是说,既包括用于生产消费的部分,也包括用于个人消费的部分。这种消费既包括商品世界的再生产,也包括资本家阶级和工人阶级的再生产,即这些阶级的维持,因而也包括总生产过程的资本主义性质的再生产。
显然,我们应当分析的是第三个流通公式:
特别是由于我们当前的目的,我们应当从W′的各个组成部分的价值补偿和物质形式补偿的观点来进行分析。在分析单个资本的产品价值时,我们假定,单个资本家通过出售他的商品产品,先以货币形式补偿他的资本的组成部分,然后通过再购买各种生产要素,把它们再转化为生产资本。现在,我们已经不能再满足于这个假定了。既然这些生产要素是客观的东西,那它们就同用来和它们交换并由它们来补偿的单个产品一样,是社会资本的组成部分。另一方面,工人用工资和资本家用剩余价值所消费的那部分社会商品产品的运动,不仅是总产品运动的一个不可缺少的环节,而且同单个资本的运动交织在一起。因此,只是假定这个部分存在,是不能说明这个过程的。
直接摆在我们面前的问题是:生产过程中消费掉的资本,就它的价值和物质来说,怎样由年产品得到补偿?这种补偿的运动怎样同资本家对剩余价值的消费和工人对工资的消费交织在一起?因此,首先要研究规模不变的再生产。其次,不仅要假定产品按照它们的价值交换,而且还假定生产资本的组成部分没有发生任何价值革命。如果价格同价值发生偏离,这种情况对社会资本的运动并不会有任何影响。在这种情况下,进行交换的仍然是同一产品量,虽然对单个资本家来说,不再和他们各自预付的资本成比例,不再和他们每人各自生产的剩余价值量成比例。至于价值革命,那么,只要它是普遍地和均衡地发生的,就不会改变全部年产品的价值组成部分之间的比例。然而,只要它是局部地和不均衡地发生的,就会成为干扰。第一,这种干扰只有在被看作是对保持不变的价值比例的偏离时,才能被认为是干扰;但是,第二,关于年产品价值例如以一部分补偿不变资本,以另一部分补偿可变资本的规律一经得到证明,那么,价值革命,无论在不变资本的价值上还是在可变资本的价值上发生,都不会改变这个规律。它所改变的,只是作为这种或那种资本执行职能的价值部分的相对量,因为原有价值将被另外的价值取而代之。
最后,为使问题简化成它的最简单的情况,一开始就必须完全撇开货币流通,就是说,也撇开资本的货币形式。流通的货币量显然不构成社会总产品价值的任何组成部分,它是保证这些产品的流通的。
因此,如果说的是总产品价值分为不变价值等等,那么这个问题本身并不以货币流通为转移。只有在撇开货币流通来考察问题之后才会看出,以货币流通为媒介会出现怎样的景象。
当我们从单个资本的角度来考察资本的价值生产和产品价值时,商品产品的实物形式对于我们的分析是完全无关的,例如,不论它是机器,是谷物,还是镜子都行。这始终只是举例而已,任何一个生产部门都同样可以作为例证。我们必须考察的是直接的生产过程本身。这种生产过程,在每一单独场合,都表现为一个单个资本的过程。说到资本的再生产,我们只需要假定,代表资本价值的那部分商品产品,会在流通领域内再转化为它的生产要素,从而再采取生产资本的形式。同样,我们只需要假定,工人和资本家必定会在市场上找到他们用工资和剩余价值购买的商品。但是,当我们考察社会总资本及其产品价值时,这种仅仅从形式上来说明的方法,就不够用了。产品价值的一部分再转化为资本,另一部分进入资本家阶级和工人阶级的个人消费,这在表现出总资本执行职能的结果的产品价值本身范围内形成一个运动。这个运动不仅是产品的价值补偿,而且是物质补偿,因而既要受社会产品的价值组成部分相互之间的比例的制约,又要受它们的使用价值,它们的物质形式的制约。
社会总年产品分成两大部类:(Ⅰ)消费资料,具有进入资本家阶级和工人阶级的个人消费的形式的商品;(Ⅱ)生产资料,具有必须进入或至少能够进入生产消费的形式的商品。
(Ⅰ)消费资料的生产
直接提供消费资料——食物、衣服等等的所有生产部门,从社会观点看,构成一个单一的生产部门,构成一个种类(虽然它由极其不同的种和亚种组成),即消费资料的生产部门。这个生产部门所使用的全部资本,从社会观点看,形成社会资本的一个单一的大部类,形成社会资本中用在消费资料生产上的部分。
这个资本分成两个组成部分:[第一,]可变资本。从价值方面看,这个资本等于它所使用的社会劳动力的价值,也就是等于它所雇用的全部工人的工资价值总额。从物质方面看,这个资本是由发挥作用的劳动力构成的,即由它所推动的活劳动本身构成的。
第二,这个资本分成不变资本,它等于为生产生活资料而使用的全部生产资料的价值。生产资料一方面分成固定资本,机器、劳动工具、容器等、建筑物、役畜等等,或分成流动不变资本,由辅助材料、原料、半成品等组成的生产材料。
至于年的(一年中生产的)总商品产品,它的价值由下列部分组成,第一,一年中所使用的剩余劳动生产的剩余价值;第二,等于所使用的劳动力或可变[143]资本的价值的那部分价值,即体现了一年中所花费的必要劳动时间的那部分产品价值。可见,为生产生产资料所使用的劳动力的价值构成产品价值、消费资料价值的一部分,并作为这样一个部分再现出来。然而,不论是劳动力本身,即工人,还是发挥作用的劳动力,都不作为商品产品的一个部分再现出来。发挥作用的劳动力,活劳动,只属于生产过程。它消失在自己的结果即产品中。它只是在资本的生产形式上作为资本的职能,作为资本的,并入资本的动力,发挥作用。它不构成资本生产的商品资本的任何要素。但是另一方面,必须以资本可以随时在市场上找到雇佣工人为前提。否则它就不能把劳动力并入自身。另一方面,同样很明显,不论是商品(本来意义的)还是工人,都是过程的产品。因为工人通过消费他们得到的那部分消费资料而保存和再生产自身,并且象我们还在第一卷39所指出的,由于过程的全部机制的作用,这些工人最终仍然作为雇佣工人出现在市场上。可见,如果考察全过程,事实上工人,即作为雇佣工人的工人,会象生产资料(以及生活资料)一样地被再生产出来,作为资本被再生产出来。但是,工人就象他们的劳动本身一样,不是商品产品的组成部分,虽然他们的价值是商品产品的组成部分。
商品产品——消费资料——的价值的第三个组成部分,等于生产它们时消费的生产资料的价值,即生产它们时消费的不变资本的价值。这个价值不包括生产它们时所使用的不变资本的全部价值。生产材料在这种情况下全部被消费,所以它们的价值全部转移到产品上。但是固定不变资本只有一部分被消费。因此,[只有]这部分固定资本的价值转移到商品产品上。另一部分固定资本,即机器、建筑物等等照旧存在,并继续执行职能,虽然它的价值减少了。如果我们考察产品价值,那么这部分继续执行职能的固定资本对我们来说就不存在了。这个部分是独立于这个新生产的商品价值以外的那部分资本价值,它存在着,继续与新生产的商品价值并存。这一点在考察单个资本的产品价值时已经指出过(《资本论》第1卷第179页及下一页FN12)。在考察社会资本的再生产时,我们在这里对它的考察一开始不谈货币流通,从而也不谈货币资本,这时产品——商品——价值的这种演绎(抽象)已经不够了。如果我们考察单个资本的年商品产品,那么为生产年商品产品所使用的固定资本转移到产品上的价值,不仅仅等于实际上以实物形式被补偿的固定资本的价值。它等于固定资本的年平均损耗,固定资本必须这样得到补偿,即在它的整个生命期满后,例如20年后,它能够以实物形式全部得到更新。在这种情况下,这个价值的1/20(等于1000,如果固定资本的价值例如是20000的话)是否每年用于实物形式的替换,是无关紧要的。相反,从社会资本的观点看,在解决一年中消费的资本怎样能够由商品产品来补偿这个问题时,一开始考虑的只是所使用的固定资本的价值中必须以同种新物,即以实物形式,部分地或全部地实际进行替换的那一部分。应该指出,下面对年价值产品(由消费资料构成的那一部分)进行的考察中,设想的是转移到产品上的不变资本价值的固定部分,只等于固定资本价值中为了能够以同样的规模重新开始再生产而必须以实物形式进行补偿的那一部分。
我们假设,预付在社会生活资料生产上的不变资本等于400镑。这400镑在这里等于生产这些生活资料时消费的生产资料的价值,这些生产资料必须以实物形式得到补偿,以便在下一年再生产过程得以重新开始。设可变资本等于100镑,也就是说,这是生产这些生活资料使用的劳动力的价值。最后,设剩余价值率等于100%,因而,等于预付可变资本价值的剩余价值量将是100镑。
在这个假设中,产品的年价值,即一年中社会生产的全部消费资料的价值等于600镑,即
。这全部产品以消费资料的,即可以进入社会消费的商品的实物形式存在,按照我们的假设,它们实际上也进入社会消费,因为我们的前提是规模不变的再生产,也就是说,前提是工人消费全部工资,资本家消费全部剩余价值。
如果我们先考察产品的1/6,它等于100镑,即等于资本家阶级的剩余价值,等于体现年剩余劳动或无酬劳动的剩余产品,那么这个部分全部由资本家消费,并且它象这种社会产品的任何其他部分一样,以它可以直接进入消费的形式存在。它一部分由必要生活资料组成,一部分由奢侈品组成。在这里,从社会角度进行的考察和从单个资本的角度进行的考察,区别只在于:生产某种生活资料的单个资本家,以他自己生产的产品的实物形式只消费自己剩余价值的某一部分,也可能完全不消费。他以各种并非他自己生产的商品量的形式消费这个部分,这种消费——他的剩余价值在整个一系列消费资料中的这种实现——对他来说,第一以出售他的产品为媒介,第二以花费货币为媒介,这些货币在购买他的各种消费资料时抵偿包含在他的产品中的剩余价值。相反,如果考察生产消费资料的整个部类的资本家,那么很明显,他们全体直接消费掉他们自己总产品的一部分,这个部分的价值等于这个总产品中包含的剩余价值。这些资本家中的每一个人;都按照他个人生产的剩余价值在全体资本家共同生产的剩余价值100镑中所占的份额,从总剩余价值中抽出必要生活资料和商品,而且,当然会发生每一单个资本家提供给消费基金的商品和他从这个基金中为个人消费抽出的商品之间的换位,以及这些商品的所有者的更换。
(Ⅰ)的商品产品中价值100镑的这个1/6,前面已经说过,由必要生活资料和奢侈品组成。如果我们考察形成这个量的所有单个商品的价值,那么这些独立的商品本身中的每一个商品的价值都归结为
。这就是说,它们的价值一部分由生产它们时消费的生产资料的价值组成,另一部分由生产中使用的劳动力的价值组成(这个价值等于商品中包含的可变资本,或工资),第三部分由剩余价值,由体现在商品中的无酬劳动组成。但是,因为所有这些商品的价值总额等于100镑,就是说,等于总产品中体现一年中付出的全部无酬劳动的那1/6价值,因而等于总年产品中(Ⅰ)这个部分包含的剩余价值,所以在(Ⅰ)中的资本家阶级可以把100镑的商品,即等于总产品价值1/6的商品量,从总产品中抽出、取走,把它并入自己的消费基金。如果考察的不是单个商品本身,而是把它们看作价值等于总产品价值1/6的局部产品,情况就会是,它们既不包含任何不变资本价值,也不包含任何可变资本价值。它们仅仅是剩余劳动的体现,因此,从不变资本和可变资本转移到总产品上的价值量,现在自然就集中在总产品的其他5个部分。(参看第1册第187页及以下各页FN13)
总产品中价值100镑的第二部分的情况也是这样,它由在Ⅰ中工作的工人阶级消费。在作为总产品价值一个部分的它的价值中,只体现必要劳动。虽然商品(主要是Ⅰ的工人阶级从总商品量中得到的必要生活资料)由不变价值、可变价值和剩余价值组成,但是这些商品的价值总额等于100镑,就是说,等于商品量的第二部分价值,其中只包含工资(可变资本价值),或只体现必要劳动。
对于单个工人来说,他们消费的产品同他们自己生产的产品不相符合,或者只是部分相符合。而他们全体作为阶级共同消费的量,只构成他们共同生产的[144]商品量的某一部分。
其次,在这里,当我们撇开流通过程的媒介来考察再生产过程时,必须指出,Ⅰ的总产品的一部分被抽出加入工人的消费基金,是同Ⅰ的资本家阶级的可变资本重新得到补偿同时发生的。
工人的个人消费同时就是他们个人本身的再生产过程或保存过程。个人消费保证工人不断存在和出现在劳动市场上。
另一方面,可变资本作为资本借以存在的物质要素,就是劳动力本身。资本家通过购买劳动力补偿这个可变资本的价值,他付出的价值等于体现工人必要劳动的工人产品的价值(表现在必要生活资料和其他商品中的价值)。借助于Ⅰ的工人阶级的年产品的这部分价值,资本家不断重新购买会生产这个价值和剩余价值的劳动力。Ⅰ类别的工人阶级只是由于为了这个价值而不断向Ⅰ的资本家阶级让渡他自己的劳动力,才获得这些生活资料,才有可能在商品市场上购买这些生活资料作为自己的消费基金。因此,等于100镑v的这部分产品的消费本身包括:(1)这些商品的消费,它们离开商品市场,进入Ⅰ的工人阶级的消费基金;(2)由于消费这些商品,工人本身得到再生产;(3)工人由于不断反复地把自己的劳动力出卖给资本以换取他们生产的这部分商品量的价值,也就是说,由于可变资本价值转化为劳动力和被同一价值的劳动力所代替,他们发生再转化,并不断作为雇佣工人存在。工人的这种消费过程与资本的可变组成部分的补偿或不断再生产同时发生,并以此为条件。
Ⅰ的这部分社会产品,其价值等于
=200镑=总产品价值的2/6,因而它只是全部产品量的一部分,价值为200,即总产品价值的2/6,——这就是Ⅰ的资本生产的全部年价值产品。社会总劳动或整个社会工作日的一半体现为100镑,即总产品价值的1/6,这部分价值等于生产这些产品时使用的劳动力的价值,或者说,等于整个社会工作日中形成可变资本的,形成工资的,换句话说,进入工人消费的生活资料的价值的那一半。整个社会工作日的另一半由无酬劳动组成,它体现在总产品价值中等于它的剩余价值的那个部分中。在等于200镑的产品价值(分解为工资价值和剩余价值)中,体现了整个工作日。此外,在这个工作日中再不生产任何价值产品。不管在什么情况下,Ⅰ类别的商品(即一年中生产的社会消费资料)的总量是Ⅰ在一年中使用的劳动的产品。如果把它作为使用价值来考察,这就是劳动的产品。正是由于劳动以其不同的形式——生产不同的社会消费资料所需要的各种不同的形式——同构成生产的客观因素的生产资料相结合,结果,生产出Ⅰ的年产品。然而,Ⅰ所使用的劳动的这个年产品的总价值,不是这个劳动的价值产品。相反,Ⅰ的产品总价值等于
,就是说,它等于一年中新生产的价值或年价值产品200镑(100v+100m)+400镑价值,这400镑不是Ⅰ的工人在一年中生产的,而是在他们的生产之前就作为他们消费的生产资料——他们劳动的客观条件——的价值而存在的,即作为不变价值进入他们的劳动过程。这400不变价值在产品总价值的4/6的价值中,在400镑中再现出来。但是,它不是以它能够重新作为不变资本执行职能,因而能够以实物形式补偿已消费的400镑不变资本的那种实物形式再现出来。现在它以消费资料的实物形式存在,就是说,它构成所生产的全部消费资料的一部分,这个部分等于这些消费资料总价值的4/6=2/3。为了补偿预付的、消费了的不变资本,它必须从这种消费资料的形式再转化为生产资料的形式。现在它作为Ⅰ的产品价值的不变部分存在,或者说,作为Ⅰ的产品中价值等于预付不变资本价值的那个部分存在。这个不变资本作为价值在自己的产品中被替换了,但是这个价值是以商品的实物形式存在的,这些商品不是作为生产资料执行职能,因而不是作为不变资本执行职能,所以不能以实物形式补偿已消费的不变资本。只有具备这种补偿条件时,再生产才是可能的。因此,现在我们还必须考察社会年产品的第二部类,生产资料。
(Ⅱ)生产资料的生产
假定预付在生产资料生产上的已消费的资本价值,即生产这些生产资料时消费的不变资本价值,等于800镑。
这里不包括(象在Ⅰ中一样)以其实物形式继续存在的固定资本,也不包括固定资本中用于下一年的再生产而没有以实物形式得到补偿的那部分价值。
假设在Ⅱ这个生产部类使用的劳动力的价值,即一年中使用的并已消费的可变资本的价值等于200镑。假设剩余价值率象在Ⅰ中一样,是100%;换句话说,Ⅱ的整个年工作日一半是必要劳动,另一半是剩余劳动。于是,剩余价值量将等于200镑。
因此,Ⅱ的总年产品价值等于1200镑,即800镑c+
。这个总产品由生产资料,即不变资本的物质要素构成。Ⅱ的年产品这个价值中,只有4/12=2/6=1/3=400镑是Ⅱ的工人阶级生产的年价值产品;就是说,整个年工作日把价值400追加到产品上;这个工作日的一半是必要劳动——200,等于工资或可变资本的价值,工作日的另一半是剩余劳动,200镑剩余价值°因此,总产品价值400镑的一部分——1200的1/6,即200镑,由工人花费,另一部分即200镑由资本家花费,前者由工人当作工资花费,后者由资本家当作剩余价值花费。但是Ⅱ的产品的所有要素都由不进入个人消费的生产资料组成。所以这部分产品必须同Ⅰ的一部分产品相交换,Ⅰ的这部分产品等于400镑,代表它的资本主义生产者的不变资本价值,但是由于它所具有的实物形式(消费资料)而不能作为不变资本执行职能。于是,这里就发生Ⅰ的总额为400的商品(消费资料)同Ⅱ的总额为400的商品(生产资料)之间的交换,Ⅰ的商品代表它的资本主义生产者的不变资本价值,Ⅱ的商品分别代表它的生产者——资本家和工人——的剩余价值和工资,其价值等于他们生产的工资和剩余价值的总额。通过这种交换,商品产品价值的不变部分再转化为产品的生产资料形式,即转化为Ⅰ的这个不变价值可以重新作为不变资本执行职能的形式,这就是Ⅰ的再生产的不变条件。
另一方面,由于同一交换,Ⅱ的商品产品中直接以生产资料的实物形式,即以不变资本的实物形式存在的可变资本价值(工资)+剩余价值,转化为Ⅱ的资本家和工人的消费资料形式,即转化为他们的产品的这部分价值可以进行个人消费的实物形式。这样一来,社会再生产过程的另一个条件就实现了,这个再生产过程把消费过程当作自己的一个条件或自己的一个环节包括进来。
[145]其次,必须指出以下的情况。
Ⅱ的资本家阶级,象Ⅰ的资本家阶级一样,把工人自己的一部分产品交给工人,用来支付劳动力的报酬——对劳动力进行预付,从而补偿自己的可变资本。(不要忘记,我们这里暂时还是把货币流通撇开不谈。)但是,Ⅱ的工人阶级必须用等于200镑的产品去交换Ⅰ的价值200镑的产品,以便能够消费它。
400镑产品部分(消费资料形式)的交换,对于Ⅰ类别的它们的资本主义生产者来说,只不过是他们产品的不变价值部分从生活资料的实物形式转化为这些生活资料的生产资料,也就是说,这些资本主义生产者自己的产品的简单的不变价值部分转化为这个不变价值部分能够实际再作为不变资本执行职能的实物形式。在Ⅰ中这种交换只从作为资本家的资本家出发。对他们来说,这是资本的交换。相反,对于第Ⅱ类来说,这种交换只是它的产品中价值由工资(即可变资本价值)和剩余价值构成的那个部分的交换。对他们来说,由于这种交换,这个价值只是从其不可消费的商品的直接实物形式变为可消费的商品。
现在我们已经处理好了Ⅰ的全部产品和Ⅱ的1/3产品。
其中,以消费资料形式存在的、价值为600镑的Ⅰ的产品中,2/6=1/3=200镑,由它自己的生产者,资本家和他们的工人消费掉,即转入他们的消费基金。Ⅰ的产品的4/6或2/3,由第Ⅱ类别的资本家和工人消费掉,即被他们的消费基金吸收。相反,Ⅱ的产品中,生产资料中,只使用了4/12=2/6=1/3,即400镑。这个数额补偿了第Ⅰ类别资本家的不变资本。
因而,在(Ⅱ)中还剩下2/3的产品价值800镑。FN14这个价值等于Ⅱ的商品产品中再现的价值,即在这个商品量的生产上所消费的生产资料的价值,或不变资本的价值。这个再现的价值并不是在Ⅱ的生产过程中生产的,而是当年以前作为不变的价值,作为这个过程的生产资料既定的价值,进入这个生产过程的。它现在存在于Ⅱ的那部分没有被第Ⅰ类别的资本家吸收的商品量中。因而,仍然保留在Ⅱ的资本家阶级手中的这个商品量的价值等于他们的全部年商品产品价值的2/3。
关于生产一种特殊生产资料的单个资本家,我们可以说:他出售他的商品产品,或者说把它转化为货币。当他把商品产品转化为货币时,他也就把他产品中的不变价值部分转化为货币了。然后,他用这个已经转化为货币的价值部分,再向别的商品的卖者购买自己的生产资料,或是把他的产品的不变价值部分转化为一种它可以重新作为不变资本来执行职能的实物形式。而现在,这样假定就不行了。第Ⅱ类别的资本家包括生产生产资料的全体资本家。此外,留在他们手中的800镑商品产品,是社会产品的一部分;这部分社会产品不能和任何别的部分交换,因为年产品中已经不存在可以和它交换的任何别的部分。年产品的其余部分已经全部作了安排:一部分为社会的消费基金所吸收,另一部分用来补偿第Ⅰ类别的不变资本。第Ⅰ类别所有能够用来和第Ⅱ类别交换的东西已经全部交换完毕。
只要我们注意到,Ⅱ的全部商品产品,按其实物形式来说,是由生产资料即不变资本的物质要素构成的,困难就很容易解决。这里出现的现象和上述Ⅰ中出现的现象相同,只是方面有所不同。在Ⅰ中,全部商品产品由消费资料构成,因此,其中由这种商品产品所包含的工资和剩余价值来计量的部分,可以由它的生产者本身消费。在Ⅱ中,全部商品产品由生产资料,即由建筑物、机器、容器、辅助材料、原料等等构成。因此,其中用来补偿这个部门所使用的不变资本的那一部分,能够以它的实物形式用Ⅱ的商品产品进行补偿,以便重新作为生产资本的组成部分执行职能。在Ⅰ中,一部分实物形式的商品产品由它自己的生产者个人消费掉,而在Ⅱ中,一部分实物形式的商品产品则由它的资本主义生产者在生产上消费掉。在前一种情况下,产品进入个人消费,在后一种情况下,产品进入生产消费。第Ⅱ类别消费的不变资本价值,是在第Ⅱ类别的一部分商品产品=800镑中再现的,而且是以实物形式再现的,这种形式的商品产品能立即作为新的生产资本(不变资本)执行职能。
在Ⅰ中,600商品产品中价值等于工资和剩余价值的那一部分(总额=200),直接进入Ⅰ的资本家和工人的个人消费;另一方面,这个商品产品的不变资本价值(=400),不能再进入Ⅰ的资本家的生产消费,而要通过和Ⅱ的交换来进行补偿。相反地,Ⅱ的价值为1200的商品产品中价值等于工资和剩余价值的那一部分(总额=400镑),不会进入它的生产者的个人消费,而是必须首先和Ⅰ的产品交换。另一方面,这个产品的不变价值部分,却处在这样一种实物形式上,这种形式的不变价值部分——如果把第Ⅱ类别的资本家看作整体——能够直接再作为不变资本执行职能。
Ⅱ的不变资本,由大量的不同的资本群构成。它们被分别投入不同的生产资料生产部门,例如,有若干被投入铁的生产,有若干被投入采煤业,等等。每个这种资本群或每个这种社会的群资本,又由许多大小不等的独立执行职能的单个资本构成。
这一点在本节完全应该提出来,实际上在第一节也应该提出来。
首先,社会资本,比如说1500(可以用百万等等来表示),分成不同的资本群;也就是说,1500的社会资本分成各个特殊的部分,其中每个部分都被分别投入一个特殊的生产部门;投入每个特殊社会生产部门的那部分社会资本价值,按照它的实物形式,部分地由各特殊生产部门的生产资料构成,部分地由它们的经营所必需的、具有相应的熟练程度的劳动力构成,这种劳动力由于分工,并按照它在每个特殊生产部门承担的局部劳动的特殊性,而各不相同。投入每个特殊生产部门的那部分社会资本,又由投入该生产部门的独立执行职能的单个资本的总和构成。这里所说的,既适用于Ⅰ,也适用于Ⅱ,因此,对这个问题的阐述应该放在本节开头,资本分为它的两大社会类别的地方。
至于说Ⅱ中以它的商品产品形式再现的不变资本价值,那么,它有一部分作为生产资料再进入把它当作产品生产出来的特殊生产部门(或者,甚至进入这个生产部门的个别部分)。例如,谷物再进入谷物的生产,煤炭再进入煤炭的生产,铁再进入铁的生产(以机器形式),等等。
当构成Ⅱ的不变资本价值的部分产品不再直接进入自己的特殊生产部门或自己那个生产部门的时候,这些产品只是变换了位置。它们以实物形式进入第Ⅱ类别的另一个生产部门,而Ⅱ的其他生产部门的产品则对它们进行实物补偿。这只不过是Ⅱ的这些产品的换位。它们全部作为补偿Ⅱ的不变资本的因素再进入生产过程,但不是进入Ⅱ的这个部门,而是进入它的另一个部门。
[146]在这里,只要交换是在第Ⅱ类别的各个资本家之间进行的,这种交换就是一种实物形式的不变资本和另一种实物形式的不变资本的交换,就是一种生产资料和另一种生产资料的交换。这是Ⅱ的不同的单个不变资本部分的互相交换。只要产品不是直接在本生产部门作为生产资料使用,这些产品就离开生产它们的场所,进入另外的场所。换句话说(例如和Ⅰ的剩余价值的情况相似),Ⅱ的每个资本家按照他作为这800镑不变资本的共有者所占的比例,从这个商品总量中取出他所需要的相应的生产资料。如果生产是社会公有的,而不是资本主义的,那么很明显,为了进行再生产,第Ⅱ类别的这些产品同样会不断地再作为生产资料在这个类别的各个生产部门之间进行分配,一部分直接留在这些产品的生产部门,另一部分则转入其他部门,因此,在这个类别的不同生产部门之间发生一种不断往返的运动。
(这个问题在后面应该作进一步的阐述。)
象在Ⅰ中一样,Ⅱ的总商品量(1200镑的存在形式)是这个部门一年中使用的劳动的产品。然而只有产品的一部分价值——这才是这个劳动的年价值产品。这个劳动体现在产品的1/3价值中,即200v+200m。产品价值的另一部分等于800镑,因而还有价值为总产品2/3的那部分产品量——这只是再现的价值,而不是Ⅱ在一年中生产的价值,因而,由于Ⅰ使用的年劳动已经处理完毕,这就不是社会年劳动生产的价值。年劳动的产品是产品本身,而不是这个产品的全部价值,只是这个价值的一部分。包含在Ⅱ的生产资料中的价值,是由Ⅱ的新劳动的特殊具体形式转移到Ⅱ的产品上的,因为新的(因此也形成新价值)劳动恰恰必须以具体形式添加上去,它就是以这种形式把旧价值转移到新产品上(见第1册第[166]页FN15)。
[(Ⅲ)全部社会商品产品的分配对社会再生产过程的媒介作用]
如果我们现在把年商品产品的全部运动展现出来,我们就会得出:

垂直的符号│表示产品进入本类别生产者的个人消费;斜的符号\表示第Ⅰ类别和第Ⅱ类别的产品互相交换;最后,垂直的符号│表示产品用于生产它的那个类别的生产消费,即再进入本领域的生产消费。
或者也可以这样表示:

全部社会商品产品的分配在多大程度上对整个社会再生产过程起媒介作用,这个图式就在多大程度上包括这个过程。
在(Ⅰ)的C400同(Ⅱ)的(V200+M200)进行交换之后,C400不仅象原来一样构成由消费资料组成的(Ⅰ)的产品的不变价值部分,而且以其原初的实物形式,以消费资料的生产资料的形式存在,也就是说,在这种实物形式中它可以作为(Ⅰ)的生产资本的不变部分执行职能,简言之,可以重新作为不变资本执行职能。从价值增殖过程的观点看,资本的这个部分是不变的,它的价值再现于产品中,或转移到新形成的产品上。这个部分不是这一价值增殖过程的产物。但是从劳动过程的观点看,它以生产资料形式,以劳动过程的客观因素形式存在,——同劳动过程的主观因素,发挥作用的劳动力即劳动相对立。只要资本的这个部分不以这种形式存在,它就不能作为生产资本的一个组成部分执行职能。
另一方面,当这种交换完成以后,(Ⅱ)的(V200+M200)不仅作为Ⅱ的产品中体现可变资本价值或劳动价格和剩余价值的价值部分存在,即不仅作为产品的部分价值存在,而且这两部分价值现在还以实物形式,以使用形式存在,采取这种形式,可以使工资用于工人的再生产,剩余价值用于单个资本家的再生产(用于他们的个人消费)。
Ⅰ和Ⅱ之间的这种交换,无非是形成社会产品一部分的生产资料同形成社会产品中同样价值部分的消费资料形式的它们的等价物的交换。社会产品总价值分解成的那些价值部分,并不因此而发生任何变化。
如果在Ⅰ和Ⅱ进行交换之后我们来考察这个价值,并且考虑到两个[类别]只是构成产品社会价值的各个部分,我们就会看到:

或者说,社会产品的价值分解成的几个组成部分,就象我们在一个1500镑的单个资本的产品上所看到的那样,这个资本由1200镑不变资本和300镑可变资本组成,积累率等于100%。价值(按照第1卷阐述的原理)等于1800镑,即1200c+300v+300m。
[147]按照交换的图式(2),也就是,(Ⅱ)的V200和(Ⅱ)的M200处在消费资料形式上,而(Ⅰ)的C400处在生产资料形式上。
这样,如果全部社会产品分为两大类别——消费资料和生产资料,那么它现在就表现为:

(现在在Ⅱ中,既有直接用在消费资料生产上的生产资料,也有用在这些生产资料生产上的生产资料。实际上,当Ⅰ的生产资料在消费资料的生产中被消费时,Ⅱ正在生产新的生产资料来补偿它们。)
可见,这个图式可分解成三个图式,这些图式使我们能够从不同的方面来考察问题:

因此FN16,每年生产的消费资料的总价值,等于当年生产的Ⅰ的可变资本价值和新生产的Ⅰ的剩余价值(即等于Ⅰ当年生产的价值),加上当年生产的Ⅱ的可变资本价值和新生产的Ⅱ的剩余价值,也就是加上Ⅱ当年生产的价值。
因此,每年生产的消费资料的总价值,等于年价值产品,即等于社会劳动在一年中生产的全部价值。
整个社会工作日分为两部分:必要劳动(它创造V300的价值,或300镑)和剩余劳动(它创造300镑的追加价值或剩余价值)。这两个价值之和=600镑,等于一年生产的消费资料的价值(600镑)。
因此,一年生产的消费资料的总价值,等于社会总工作日生产的总价值,即等于社会可变资本的价值加上社会剩余价值,也就是等于全部年价值产品。
但是图式(Ⅰ)还告诉我们,虽然这两个价值量是一致的,Ⅰ的商品即消费资料的总价值,绝不因此就是在社会生产的这个部类内生产出来的。这两个价值量一致,是因为在Ⅰ的产品价值中再现的不变资本价值等于Ⅱ新生产的价值(可变资本价值加上剩余价值);因此,Ⅱ的可变资本加剩余价值能够购买对Ⅰ的产品生产者来说代表着不变资本价值的那一部分产品。这就表明,为什么尽管对Ⅰ的资本家来说,他们的产品价值也等于
但是从社会的角度来考察,这些产品的价值却可以分成v+m;其所以如此,只是因为(Ⅰ)c在这里等于(Ⅱ)(v+m),社会产品的这两个组成部分通过交换来互相交换它们的实物形式。在这样交换以后,(Ⅰ)c的价值就再以生产资料的形式存在,而(Ⅱ)
的价值则以消费资料的形式存在。
正是这种情况,使亚·斯密断言,全部年产品的价值分解为v+m。这种看法,第一,只适用于由消费资料构成的那部分年产品;第二,其所以适用,并不是指这全部价值都是Ⅰ生产的,因而它的产品价值等于Ⅰ预付的可变资本价值(或等于Ⅰ使用的劳动力价值),加上Ⅰ生产的剩余价值,而只是指:Ⅰ(
)=Ⅰ(v+m)+Ⅱ(v+m),或者说,因为Ⅰc=Ⅱ(v+m),即Ⅰ的不变资本价值等于Ⅱ的可变资本价值加剩余价值。
由此得出如下结论:
虽然年社会工作日(即整个工人阶级全年耗费的劳动)和每个单个工作日一样,只分成两部分,也就是分成必要劳动和剩余劳动,因而,虽然这种工作日所生产的价值同样也只分成两部分,也就是分成可变资本价值即工人用来购买他自身再生产的资料的那部分价值,和资本家可以用于他自己个人消费的剩余价值,但是从社会的角度来考察,社会工作日的一部分是专门用来生产新的不变资本的,也就是用来生产那种专门供在劳动过程中作为生产资料,从而在伴随而来的价值增殖过程中作为不变资本执行职能的产品的。
按照我们的假定,整个社会工作日表现为一个600镑的货币价值,其中只有1/3=200镑价值是生产消费资料的部类生产的,即生产那些最终实现社会全部可变资本价值和全部剩余价值的商品的那个部类生产的。因此,按照这个假定,社会工作日的2/3是用来生产新的不变资本的。虽然,从Ⅱ的单个资本家和工人的观点来看,社会工作日的这2/3(从Ⅱ的工人的观点看,社会工作日的这2/3由他们的劳动形成,从资本家的观点看,则是由他们的资本把劳动力并入自身所起的作用形成),即他们的总劳动,完全象社会工作日的其余的1/3在Ⅰ中那样,仅仅用来生产可变资本价值和剩余价值;但是,从社会的角度来考察,以及从产品的使用价值来考察,社会工作日的这2/3,只是生产已经耗费掉的不变资本(或正处于生产消费过程中的不变资本)的补偿物。个别地进行考察,工作日的这2/3生产的总价值对它的生产者来说只等于可变资本价值加上剩余价值,但这个工作日不生产[148]可以使它所生产的劳动力价值或剩余价值花费掉的那种使用价值。
首先必须指出,无论在Ⅰ中还是在Ⅱ中,社会工作日没有任何部分是用来生产这两大生产部门所使用的并在其中执行职能的不变资本的价值的。它们生产的只是追加到分别由Ⅱ的800和Ⅰ的400构成的不变资本价值上的价值(Ⅱ的400和Ⅰ的200)。{以生产资料形式生产的新价值,还不是不变资本。它不过要在将来作为这种不变资本执行职能。}
Ⅰ的全部产品,即消费资料总体,是使用价值;具体地就它的使用价值来考察,就它的实物形式来考察,它是Ⅰ中的1/3社会工作日的产品。它是这个部门所使用的具体形式的劳动,如织布劳动、烤面包劳动等等的产品,也就是这种劳动作为劳动过程的主观因素执行职能时所生产的产品。相反,Ⅰ的产品的不变价值部分,只是再现在新的使用价值上,再现在新的实物形式即消费资料的形式上,而以前它是以生产资料的形式存在的。通过劳动过程,这一部分的价值从旧的实物形式转移到新的实物形式上。但是,这2/3价值产品的价值=400镑,并不是在Ⅰ的价值增殖过程中生产的。
从劳动过程的观点来看,Ⅰ的产品是新执行职能的活劳动和现有的、作为这种劳动的前提的生产资料(劳动把它们作为自己的物化条件而在其中实现)的结果。从价值增殖过程的观点来看也完全一样,Ⅰ的价值产品等于由社会工作日新追加的1/3所生产的新价值(可变资本价值=100+剩余价值=100,共=200)加上不变价值400。在这个不变价值中,物化着已经过去的、在我们所考察的Ⅰ的生产过程开始以前就已经完成的2/3社会工作日。Ⅰ的产品的这部分价值,在这个产品的一部分中表现出来。它存在于一定量的消费资料中,等于400镑,即2/3社会工作日。消费资料是这部分产品价值借以再现的新的使用形式。Ⅰ的消费资料的一部分=400c(Ⅰ),同Ⅱ的生产资料=400(200v+200m)相交换,事实上也就是并不包含当年劳动而在本年以前已经完成的2/3总工作日,同本年新追加的2/3工作日相交换。当年社会工作日的2/3,不能既用于不变资本的生产,同时又为它们自己的生产者形成可变资本价值加上剩余价值,除非把它们同每年生产的消费资料中包含着本年以前而不是本年耗费和实现的2/3工作日的那部分价值相交换。这是当年的2/3工作日同在本年以前耗费的2/3工作日的交换,是当年的劳动时间同本年以前的劳动时间的交换。这样,下面这个谜就可以得到解释:尽管整个社会工作日的2/3不是用来生产可变资本或剩余价值,而相反地是用来生产生产资料,以补偿当年所消费的不变资本,但为什么整个社会工作日的价值产品却可以分解为可变资本价值加上剩余价值。简单说来就是:Ⅱ的资本家和工人借以实现他们所生产的可变资本价值加上剩余价值的Ⅰ的产品价值的2/3(或2/9,如果从产品的社会总价值看),从价值方面考察,是本年以前耗费的2/3过去的劳动的产物。
社会产品之和,Ⅰ+Ⅱ即消费资料和生产资料,就它们的使用价值来考察,具体地说,就它们的实物形式来考察,固然是当年劳动的产物,但是,只有当这种劳动本身被看作有效的、具体的劳动,而不是被看作劳动力的耗费,不是被看作形成价值的劳动时,才是这样。前面讲的一点,也只能从这个意义上去理解:生产资料只有通过加到它上面的、同它一起执行职能的活劳动,才能转化为新的产品,转化为当年的产品。但是,反过来,如果当年的劳动没有那种在它之外独立存在的现成的生产资料,没有劳动资料和生产材料,它也不可能转化为产品。
我们举单个资本生产的产品价值为例,如机器的价值是600镑;对这个价值的分析表明,它由例如
组成。我们知道,这个价值全部以生产资料的实物形式存在,我们还知道,产品的实物形式或使用形式绝对不会改变产品的价值结构,也就是说,完全不会使下述情况发生变化:这个机器价值的4/6,即价值400,等于生产它时消费的生产资料的价值,1/6,即100,等于生产它时消费的劳动力的价值(与价格相符合),还有1/6,即100,等于生产这个机器时加在它上面的无酬劳动的价值。所使用的生产资料价值等于400,以及新劳动追加的价值产品200分解为等于劳动力价值的价值和剩余价值,这些情况显然同生产资料的具体性质,同把这些生产资料转化为产品的那种劳动的具体性质,绝对没有任何共同之点。其次,既然必须把这个产品的价值再转化为资本等等,那么我们只要让400镑在流通过程中再转化为生产资料,工人花掉100v,资本家花掉100m就可以了。如果出现困难,就应该满足于这样一种想法:由于一系列把我们从本丢推给彼拉多40的交易,最终一切都会得到解决。一旦我们来研究社会资本,因而研究社会价值产品时,这些错误说法就站不住脚了。对于每一单个资本来说,商品世界具有外部存在。但社会资本及其产品则包括整个商品世界。其次,对简单再生产的考察,消除了关于简单再生产中生产出来的生产资料是新积累的资本形式这种错误说法。在简单再生产的范围内,这只能是对已消费的不变资本的补偿。
(Ⅱ)的400(200v+200m)中包括的2/3社会工作日,只包含花费在生产资料生产上的劳动,这些生产资料必须用来补偿已消费的不变资本。因此,生产出来的价值对社会不会存在两次。它以新生产的生产资料——机器、铁、木材等等,螺丝钉等等,煤等等本身的形式存在。对于这种不变资本的生产者来说,它的价值也不会存在两次。这个价值对他们来说,直接作为他们自己产品的价值存在。但是,这个价值对于它的生产者来说所以要改变自己的形式,——生产资料转化为消费资料——,只是因为一部分消费资料要表现为它们的生产者的再现的不变资本价值,因此必须从消费资料形式再转化为生产资料形式。可见,虽然生产资料的这个价值组成部分对它们的生产者来说归结为消费资料,对社会来说它却归结为对已消费的不变资本的补偿。如果不注意这一点,那就只会象亚·斯密一样得出结论说,例如工人吃掉机器价值的一部分,但是机器本身是不能消费的。
“维持固定资本的全部费用,显然要从社会纯收入中排除掉……这种劳动<生产这个资本的劳动>的价格,的确是社会纯收入的一部分<可见,这里说的社会纯收入指的不仅是进入资本家的而且也指进入工人的个人消费的那部分社会产品〉;因为为此目的从事劳动的工人,可以把他们工资的全部价值用在他们的直接的消费储备上。但是就其他各种[149]劳动来说,价格和产品二者都加入这个消费储备;价格加入工人的消费储备,产品则加入另一些人的消费储备,这些人靠这种工人的劳动来增加自己的生活必需品、舒适品和享乐品。”(亚·斯密,同上,第2篇第2章)
因此,资本主义社会每年也和西尼耳先生的野蛮人一样面临着同样的必要性。它要把自己年工作日的一部分献给“工业”,以便所生产的即使不再是弓,也是用来补偿已消费的不变资本的其他生产资料。(1)由此可见,当年消费的不变资本怎样在下一年再现出来,这个问题并不是秘密。但是据说,这样一来,从作为生产基础的现有生产资料以及不变资本倒退的运动无疑也在全力进行。不仅会退到西尼耳的“野蛮人”,甚至还会退到托伦斯的“野蛮人”,自然界向他提供石头和棍棒,总之,向他提供生产资料41。然而,如果我们谈的是作为不变资本的生产资料,那我们就已经是以资本主义生产和使现有生产资料转化为资本的那些过程为前提了。
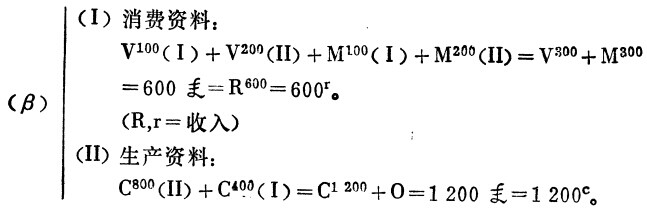
如果我们现在考察在C400(Ⅰ)和(V200+M200)(Ⅱ)进行交换之后公式是什么样的,那我们会在Ⅰ(生活资料)的序列中看到V100(Ⅰ)+V200(Ⅱ)=V300以及M100(Ⅰ)+M200(Ⅱ)=M300;即V300+M300=600镑。在Ⅱ(生产资料)的序列中看到C800(Ⅱ)+C400(Ⅰ)=C1200=1200镑。VⅠ就象VⅡ等等一样,这只不过是全部社会产品中表现为与产品价值部分的名称相同的那些部分。由此我们得出:
|
(γ) |
(Ⅰ)消费资料:V300+M300
|
(Ⅱ)生产资料:C1200。
|
如果这样来列出这个公式:让资本的彼此相联系的各部分——产品价值的各组成部分,它们等于预付社会资本的各个价值组成部分——变得一目了然,那么就会得出:
|
(Ⅰ)消费资料:V300 |
│ |
+M300 |
|
(Ⅱ)生产资料:C1200。 |
|
公式:C1200+V300+M300,或1200c+
这就和我们分解一个1500镑的单个资本的产品价值时得出的公式完全相同,这个单个资本把1200花在生产资料上,300花在劳动力上,价值增殖率为100%。已消费的生产资料的价值,即资本的不变部分,只是作为产品的价值要素出现,只是依照这些生产资料作为活劳动的客观因素实际执行职能的程度,从而转化为新产品的程度转移到产品上。活劳动作为有用的、具体的劳动——作为特殊的劳动种类、劳动方式——把生产资料转化为产品,从而把生产资料的价值转移到产品上,使这个价值有可能以产品价值要素的身份出现,与此同时,活劳动在其整个活动过程中,创造新价值,把等于v+m的新价值产品加到再现的不变价值(或已消费的生产资料价值)上。
因此,每一个新产品的全部价值都等于再现的生产资料价值,或不变价值部分,加上在产品的生产过程本身中加到整个产品上的价值。
实际上在Ⅱ(生产资料)的已消费的生产资料价值800中,包含着4/3或1+(1/3)社会工作日。(如果整个社会工作日表现为600镑,那么800镑就等于1+(1/3)或4/3社会工作日。)
这些已消费的生产资料的价值表现,作为产品中等于800c或C800的那个价值部分再现出来。把这些生产资料转化为新产品(实际是转化为新生产资料)的活劳动,包含的劳动时间等于2/3社会工作日。因此,它把400镑新价值产品加到生产资料价值C800上,这400镑新价值产品又分为V200(或200V)和M200(或200M)。这种划分(新加价值400分为V200和M200)绝对不会使这个价值的量发生任何变化,相反,这个价值的量决定V+M的价值总额的量。因此,Ⅱ(生产资料)的产品的总价值是4/3+2/3工作日=6/3=2工作日=1200的价值表现,在这个总价值中,不变价值800镑是4/3社会工作日的价值表现,这4/3工作日在Ⅱ的这个产品开始生产之前已经过去了,而400镑=V200+M200则是2/3[社会工作日]在生产它们时添加的活劳动上的表现。
另一方面,在Ⅰ(消费资料)中,已消费的生产资料价值,或再现的产品价值的不变部分,等于400c(C400),即等于2/3社会工作日的价值表现。把这些生产资料转化为消费资料的活劳动,就时间来说,等于1/3社会工作日,就是说,它加到不变价值部分上的新价值是200镑,由V100和M100组成。Ⅰ的产品的总价值600镑(消费资料)是一个社会工作日的价值表现;其中2/3=400是生活资料的本生产过程开始之前已耗费的2/3劳动的价值表现,而1/3=200镑是这些生活资料的生产过程中耗费的劳动的价值表现。
现在我们来研究总产品和产品的价值:

[150]就FN17产品价值1800镑和它分成的各个类别来说,对它们的分析决不会比对一个单个资本产品价值的分析遇到的困难更多。不如说困难完全是一样的。
全部社会年产品包含三个以一年为期的社会工作日。每一个这种工作日的价值表现都=600镑;因此,总产品的价值表现=1800镑。
其次,在一年的生产过程(我们分析的就是这个过程)开始以前已经结束的劳动时间由全部已耗费的劳动时间组成:在Ⅱ中,有4/3工作日(800镑),在Ⅰ中,有2/3工作日(400)。总计是6/3工作日=2工作日,即1200镑。因此,C1200是在全部社会产品价值中再现的生产资料的价值或不变价值。
再次,在Ⅱ中新追加的社会年工作日的1/3,是必要劳动,或者说,是这样一种劳动,它补偿可变资本的价值,或支付Ⅱ使用的劳动的价格。它的价值表现=200镑。同样,Ⅰ的1/6工作日,或这里使用的1/3社会工作日的一半,是必要劳动,表现为100。所以,总共300镑(200镑+100镑),是由必要劳动构成的半个工作日的价值表现。(1/3+1/6=2/6+1/6=3/6=1/2。)因此,V300是由必要劳动构成的半个追加工作日的价值表现。
最后,Ⅱ的工作日的1/3=200镑新创造的价值,是剩余劳动;Ⅰ的工作日的1/6(100)是剩余劳动;总计社会工作日的1/3+1/6,或1/2,由剩余劳动构成。因而,社会所生产的剩余价值=300镑。
因此,社会产品价值的不变部分等于所考察的生产过程开始以前耗费的两个工作日;价值表现:
C1200=1200镑
当年耗费的必要劳动等于年生产所耗费的工作日的1/2;价值表现:
V300=300镑
当年耗费的剩余劳动等于年生产所耗费的工作日的1/2;价值表现:
M300=300镑
因而,产品的总价值=C1200+V300+M300=1800镑
所以,困难不在于社会产品总价值或产品的社会价值的分析。困难是在把社会产品的价值组成部分和社会产品的组成部分本身作比较时产生的。不变价值部分等于由生产资料构成的那部分社会产品的价值,并在这部分产品中体现出来。
当年新创造的价值即V+M,等于由生活资料构成的那部分社会产品的价值,并在这部分产品中体现出来。
但是,除了一些在这里没有意义的例外,生产资料和生活资料是完全不同的两类商品,是具有完全不同的实物形式或使用形式的产品,从而也是完全不同种类的具体劳动的产品。使用机器生产生活资料的劳动,是和制造机器的劳动完全不同的。年工作日(其价值表现=600镑)似乎全部耗费在生活资料=600镑的生产上,其中没有任何不变的价值部分再现出来,因为这600镑=V300+M300,只分解为可变资本价值+剩余价值。另一方面,不变资本价值=1200则以一种和生活资料完全不同的产品形式,以生产资料形式再现出来;社会工作日似乎没有任何部分耗费在这些新产品的生产上,因为这整个工作日似乎只是由以消费资料而不是以生产资料作为结果的劳动方式构成。秘密已经揭穿。年劳动的价值产品,等于Ⅰ的产品价值,等于新生产的生活资料的总价值。但是,这个产品价值,比耗费在生活资料生产(Ⅰ)上的那部分年劳动大2/3。年劳动只有1/3耗费在生活资料的生产上。这个年劳动的2/3耗费在生产资料的生产上。Ⅱ在这期间生产的追加价值产品,等于Ⅱ所生产的可变资本价值加上剩余价值,等于Ⅰ生产的以生活资料形式再现的Ⅰ的不变资本价值。因此,再现了Ⅰ的不变资本价值的那个生活资料量,构成一定量生产资料的等价物,这个生产资料量体现Ⅱ的年劳动追加的可变资本价值+剩余价值。所以,它们可以互相交换和互相用实物补偿。因而,Ⅰ生产的生活资料的总价值,等于Ⅰ和Ⅱ新生产的价值总额,即等于Ⅱ中2/3年劳动和Ⅰ中1/3年劳动生产的新价值,所以等于社会年劳动生产的V+M之和。
另一方面,生产资料(Ⅱ)的总价值,等于以生产资料(Ⅱ)形式再现的不变资本价值同以生活资料(Ⅰ)形式再现的不变资本价值之和,所以,等于在社会总产品中再现的不变资本价值之和。换句话说,这个总价值,等于生产过程开始以前Ⅱ花费的4/3过去的工作日和当年的生产过程开始以前Ⅰ花费2/3的过去的工作日的价值表现,或者说,等于2工作日的价值表现。
因此,在分析全部社会年产品时出现的困难在于:加到不变价值部分中去的新价值V+M是以生活资料形式来表现的,而这个不变价值部分却以一种完全不同的产品——生产资料——来表现。因此,就价值方面来考察,就出现了一种假象,好象所消费的产品量的2/3,会以新的形式,作为新的产品重新出现,而不需要有任何社会劳动耗费在它们的生产上。
就单个资本来说,这种情况是不会发生的。每个单个资本家都使用一定种类的具体劳动,这种劳动把它特有的生产资料转化为具有一定实物形式的产品。例如,某个资本家是机器制造业主,他在当年耗费的不变资本=1200c,可变资本=300v,剩余价值=300m,产品=1800;比如说,这个产品是18台机器,每台的价值等于100镑。在这里,全部产品是由相同的形式,由机器构成。(如果机器制造业主生产多种机器,那么每一种机器都要单独计算。)全部商品产品,是当年在机器制造上耗费的劳动的产物,是同一种具体劳动和同一些生产资料相结合的产物。因此,产品价值的不同部分以相同的实物形式表现为同种劳动的产品;12台机器包含1200c,3台机器包含300v,3台机器包含300m。这里很明显,12台机器的价值=1200c,并不是因为这12台机器只体现那种在机器制造开始以前已经耗费掉的劳动,而不体现当年在机器制造中耗费的劳动。为生产18台机器所使用的生产资料的价值,不会自行转化为12台机器的价值;但是,这12台机器的价值(它本身由800c+200v+200m构成),等于18台机器包含的不变资本的总价值等等。因此,机器制造业主必须从18台机器中出售12台,以便补偿已经耗费的不变资本,这些资本是他再生产18台新机器所必需的等等。相反地,虽然所使用的劳动只是用来制造机器,但劳动的结果却说成是:6台机器=300v+300m和总额为1200c的铁、铜、木材、皮带、钉子等等,即机器的实物形式的生产资料,如果这样说,问题就说不清楚了。相反,对后面这些东西,单个资本家要通过流通过程来进行补偿。
[151]单个资本的产品,即独立执行职能、赋有自己生命的任何一个部分或份额,可以有任何一种实物形式。唯一的条件是,这个产品必须实际具有一种使用形式,一种使用价值,使它成为商品世界可以流通的一个部分。它是否作为生产资料——劳动资料或生产材料——再进入把它作为产品生产出来的那个生产过程,也就是说,它的产品中代表不变资本部分的那部分价值,是否具有那种使它可以实际再作为不变资本执行职能的实物形式,这是一件毫无关系的偶然的事情。如果不是这样,产品的这部分价值就会通过产品的流通,从产品形式再转化为它的物质生产要素的形式,不变资本就由此以它的能够执行职能的实物形式再生产出来。
社会总资本的产品却不是这样。再生产的一切物质要素,都必须以它们的实物形式形成这个产品本身的各个部分。已经消耗的不变资本部分,只有当全部在年产品中再现的不变资本部分,在能够实际作为不变资本执行职能的新生产资料的实物形式中再现的时候,才能由总生产来进行补偿和再生产出来。因此,在简单再生产的前提下,由生产资料构成的那部分产品的价值,必须等于社会资本的不变价值部分。
其次,个别地考察,资本家通过新追加的劳动,只是生产他的产品总价值中的可变资本加上剩余价值,而不变价值部分是由于新追加劳动的具体性质转移到产品中去的。
从整个社会的角度来考察,生产生产资料的社会工作日部分,也就是说,既把新价值加到生产资料中去,又把在它们的生产上所消费的生产资料的价值转移到生产资料中去的社会工作日部分,不外是生产新的不变资本,用来补偿以旧生产资料形式损耗的不变资本——一部分第Ⅰ类别的资本家,一部分第Ⅱ类别的资本家所损耗的、生产地消费的不变资本。社会工作日的这一部分只生产用于生产消费的产品。所以,这个产品的全部价值是这样的价值,这种价值只能够重新作为不变资本执行职能,只能够买回实物形式的不变资本,因而,从社会的角度来考察,它既不分解为可变资本,也不分解为剩余价值。
另一方面,生产消费资料的社会工作日部分,不生产补偿社会的不变资本的任何部分。它只生产这样的产品,这些产品按其实物形式来说,要用来实现Ⅰ和Ⅱ的可变资本价值和剩余价值。
当我们讲到社会的考察方法,也就是考察既包括社会资本的再生产也包括个人消费的社会总产品的时候,绝不可陷入蒲鲁东从资产阶级政治经济学那里抄袭来的方法,而把问题看成是,好象一个具有资本主义生产方式的社会,只要作为一个整体来考察,便会失掉它这种独特的历史的经济的性质。应用社会考察方法,就要研究总体资本家,社会总资本表现为所有单个资本家的股份资本的总和。这个股份公司和其他许多股份公司有一个共同点:每个人都知道自己投入什么,但是不知道自己取出什么。
也许在Ⅱ的产品方面,即在等于C800(Ⅱ)+C400(Ⅰ)的生产资料方面,会重复总公式中出现的同一个困难。的确,许多同一实物形式的生产资料充当CⅠ,即既充当生活资料的生产资料,也充当这些生产资料的生产资料。例如,谷物作为谷种充当谷物的生产资料,同样它也可以充当面粉和面包即生活资料的生产资料。因此,如果再生产谷物,那么提供谷物的同一劳动,既提供该资本的不变部分,即生产谷物的谷物,又提供作为生活资料的生产资料的谷物。产品以其实物形式,既补偿生产生活资料时消费的生产资料——谷物,也补偿生产这种生产资料时消费的谷物。产品一部分补偿C800(Ⅱ),一部分补偿C400(Ⅰ)。然而,对于参加谷物——这种生活资料的生产资料——生产的其他生产资料来说,就不会发生这种情况。生产谷物的劳动,并不生产参与生产这种生产资料的建筑物、农具、役畜、矿肥等等。因此,价值中,即生产这些生产资料时消费的生产资料价值中,以谷物形式再现的不变部分(C800(Ⅱ)的一部分),不以它能够再充当该生产资料的生产资料形式出现,但是它可以充当生活资料——面包、酒等等——的生产资料。
现在产品总价值表现如下:

这里假设,V200+M200同C400(Ⅰ)进行交换,也就是说,处在这个部分对Ⅰ的生产资料或不变资本进行补偿的实物形式中。相反,C800表现为Ⅱ的产品中仅仅再现了不变资本价值的那个部分。但是,生产V200+M200时消费的劳动,即生产Ⅰ的消费资料的生产资料的劳动,同生产这些生产资料的生产资料的劳动有一些不同。也就是说,C800并不是全部处在它能够重新作为Ⅱ的不变资本执行职能的形式中。
但是这个困难只是表面现象。例如,我们假设,生产Ⅰ的生产资料的生产资料所用的全部劳动,是社会工作日的1/3,而在这个工作日中使用的生产资料的不变价值等于C600。再假设,生产Ⅰ的生产资料的社会劳动,是社会工作日的1/3,生产这些生产资料所使用的生产资料的价值等于C200。
那么我们就得出:
(a)生产资料的生产资料=800镑=C600+V100+M100。
(b)消费资料的生产资料=400镑=C200+V100+M100。
象原先一样,(b)的产品同C400(Ⅰ)相交换。但是Ⅱb类的资本家必须从(Ⅱ)类来补偿自己的不变资本C200,因而他们要用从Ⅰ得到的生活资料的一半去交换V100+M100(a)。在过程终了时,生产生产资料的Ⅱ类手中就会有C600,即(Ⅱa)的不变资本的实物形式,和C200(同V100a+M100a交换的),即(Ⅱb)的不变资本的实物形式。
象原先一样,C800在Ⅱ的资本家手中,C400在Ⅰ的资本家手中,也就是说,象原先一样,C1200在总资本家的手中。这只是对货币流通形式的影响,我们这里还不考察它。
[152]同一种产品既充当消费资料又充当生产资料,这种情况同样没有意义。例如,煤用于住宅取暖,是充当消费资料,用于发动机器,是充当辅助材料,用于制造染料,是充当生产资料(生产材料)。只要它用于一种职能,它就不用于其他职能;在一种职能中它属于Ⅰ,在其他职能中它就属于Ⅱ。如果煤的生产者用自己的产品来满足自己对煤的个人需要,那么他的情况就和消费自己的一部分产品的任何资本家的情况一样。这一部分不进入社会流通,因此无须通过流通对这一部分进行补偿。
产品,例如面粉和麻布,是作为消费资料直接进入消费基金,还是作为生产资料进入面包或漂白布的生产,这种情况同样没有意义。在前一种情况下,它属于Ⅰ,在后一种情况下,它属于Ⅱ。总计算仍然是一样的。如果产品以后不作为生产资料进入生产过程,而是直接进入消费基金,那就不需要把它当作生产资料进行补偿。如果它作为生产资料进入生产过程,那就必须把它当作生产资料进行补偿。
最后,可能会产生一个问题,例如C1200中棉花所占份额的情况实际上怎么样呢?实际上这个量要在下一年得到补偿,然而它同谷物的情况完全一样,是当年的产品。但是后来这个棉花变成纱,然后变成布,然后变成印花布,然后变成裁缝的生产材料,最后变成服装成品。我们知道,这种服装的价值=棉花的价值+纺纱追加的价值+织布追加的价值+布在染色或印花时追加的价值+缝纫追加的价值。这个价值形成Ⅰ的消费资料价值的一部分,可能只等于V300+M300中社会把它变成服装的那一部分。这已经是不言自明的。的确,社会生产资料中,即社会的不变资本中,有一部分现在同时处在棉花、纱、布、印花布等等形式中,以便不断转化成服装。加入服装生产的所有这些不变资本的实物形式,必须不断地同时并存。然而在下一年开始时,要在全年得到保存的棉花,大部分处在棉花形式中,只有小部分(也就是说,根本不会是总额C400)处在其他实物形式中。但是这个问题最好在本章第2节43考察。
现在让我们回到最后一个公式。

在这里,在简单再生产的前提下,V300+M300=600镑,预定要以消费资料形式实现,并且以这种形式在当年消费。这就是说,600镑价值使同样价值的消费资料离开社会生产转为消费基金。因此,V300由工人阶级花费,M300由资本家阶级作为收入花费。因此,它们实际上构成不同于社会资本的社会收入。它们构成产品的社会价值中进行个人消费的部分,这个部分不同于进行生产消费的,即必须重新进入生产基金和劳动过程的那个部分。考虑到这种情况,我们用字母R表示收入,于是得出:
|
1800镑。产品价值 |
│ |
C1200 |
│ |
+V300+M300 |
|
全部产品 |
生产资料 |
消费资料 |
收入600只能从社会总产品中抽出消费资料;这里的价值是1800镑——产品的全部价值。相反,1200镑必须转化为不变资本的实物形式,即转化为资本,并且大部分以只能作为不变资本执行职能的实物形式存在。
{社会产品的总价值=1800镑。其中社会收入的价值只有1/3=600镑,全体消费者(工人+资本家)能够具有和并入他们的消费基金的,只是社会总产品中具有这三分之一价值额的商品,产品。FN18相反,1200镑=2/3产品价值,却是必须用实物来补偿的不变资本的价值。因此,这个数额的生产资料必须再并入生产基金。施托尔希已经看到了这一点的必要性,但是不能够证明它:
“很明显,年产品的价值分成资本和利润两部分。年产品价值的这两部分中,每一部分都要有规则地用来购买国民所需要的产品,以便维持该国的资本和更新它的消费基金……构成一个国家的资本的产品,是不能消费的。”
FN19}
但是,亚·斯密在提出这种直到现在还有人信以为真的荒谬教条时,不仅采用了前面已经说过的形式,似乎全部社会产品的价值分解为收入,分解为工资加剩余价值,或者按他的说法,分解为工资加利润(利息)加地租,而且还采用了一种更通俗的形式:消费者“最终地”必须把全部产品价值支付给生产者。直到现在,这还是政治经济学这门所谓科学的一种最牢固的公认的常识,甚至是一个永恒真理。这个教条是按照下面这样一个似乎言之有理的方式说明的。随便举一种商品为例,如亚麻衬衫。首先,亚麻纺纱业主必须向亚麻种植业主支付亚麻的全部价值:亚麻籽、肥料、役畜等等的价值,加上由亚麻种植业主的固定资本(如建筑物、农具等等)转移到产品中去的那部分价值,加上在亚麻生产上支付的工资,再加上亚麻所包含的剩余价值(利润、地租),最后还加上亚麻由产地运往纺纱厂的运输费用。然后,织布业主不仅要把亚麻的这个价格偿还亚麻纺纱业主,而且要把由机器、建筑物等等,总之,由固定资本转移到亚麻中去的那部分价值,以及在纺纱过程中消费的一切辅助材料、纺纱工人的工资、剩余价值等等,偿还给亚麻纺纱业主;漂白业主也是这样,他还要加上织成的麻布的运费;最后,衬衫厂主,要把全部价格支付给只向他提供原料的所有以前的生产者。而在衬衫厂主那里,又追加价值:一部分是在衬衫缝制过程中以劳动资料、辅助材料等形式消费的不变资本的价值,一部分是其中耗费的劳动加进的衬衫缝制工的工资的价值和衬衫厂主的剩余价值。现在,假定这全部最终产品,衬衫,值100镑,并且假定这是社会在全部年价值产品中在衬衫上耗费的部分。衬衫的消费者支付这100镑,也就是支付衬衫中包含的一切生产资料的价值和亚麻种植业主、纺纱业主、织布业主、漂白业主、运输业主、衬衫厂主的工资和剩余价值。这是完全正确的。实际上这是每个儿童都懂得的道理。但是往下又说:一切其他商品的价值都是如此。应当说:进入消费基金的一切商品的价值都是如此,由消费资料组成的那部分社会产品的价值,也就是可以作为收入花费的那部分社会产品的价值,都是如此。[153]所有这些商品的价值额,确实等于在商品中消费的全部生产资料(不变资本部分)的价值加上最后追加的劳动所创造的价值(赋予产品最终形式的工人和资本家的工资和剩余价值)。全体消费者能够支付这个价值额的全部,因为尽管每个单个商品的价值是由
构成的,但是,一切进入消费基金的商品的价值总额,最大限度也只能等于分解为v+m的那部分社会产品价值,也就是等于由当年耗费的劳动加到生产资料——不变资本价值——中去的价值。但是,说到不变资本价值,那么,我们看到,它是按照两种方式由社会产品量来补偿的;一部分是通过生产消费资料的Ⅰ的资本家和生产这些生活资料的生产资料的Ⅱ的资本家之间的交换。由此就产生了一种说法,似乎对一个人是资本的东西,对另一个人就是收入44。但是,事情并不是这样。以价值400镑的消费资料形式存在的C400(Ⅰ),对第Ⅰ类的资本家来说,形成不变资本价值。虽然产品的实物形式适于消费,但是,第Ⅰ类的资本家不能消费它。另一方面,R400(V400+M200)=400镑是第Ⅱ类的资本家和工人所生产的工资和剩余价值。它们以生产资料的实物形式,以本身的价值不能在其中得到消费的物品的形式存在。因此,在这里,我们有一个800镑的价值额,其中能消费的只有400,而在交换之后和在交换之前一样,其中的一半只补偿不变资本,另一半只形成收入。至于第Ⅱ类资本家的不变资本,一部分是通过Ⅱ的资本家的不同生产资料(不变资本在其中得到再生产)之间的交换用实物来补偿,一部分是用自己的产品以实物补偿自己的生产资料;例如,农民把自己收获量的一部分用于播种,煤的生产者把每天生产的一部分煤再用于煤的生产等等。资本家用自己的产品或通过他们自己生产的生产资料同其他资本家生产的生产资料之间的交换,以实物进行补偿的这种不变资本,自然不需要由其他任何人对它进行补偿。双重的补偿是不会发生的。
关于全部年产品价值最终必须由消费者支付的说法45,只有把消费者理解为两种完全不同的消费者即个人消费者和生产消费者,把消费理解为两种完全不同的消费即个人消费和生产消费,才是正确的。但是,说产品的一部分必须生产地消费,那无非是说,这一部分必须作为资本来执行职能,不能作为收入来消费。
前面我们已经考察过公式:
(Ⅰ)消费资料:V300+M300=600镑。
(Ⅱ)生产资料:C1200=1200镑。
表面看来,亚·斯密把全部资本分解为可变资本,把全部产品价值分解为收入的做法是对的。
首先,在第一个序列中,V300+M300=600镑实际上是等于一年中使用的社会劳动的价值产品的价值。这两个价值彼此相符,虽然Ⅰ的这个产品价值决不是年工作日的价值产品,它在Ⅰ中只占年工作日的价值产品的1/3,在Ⅱ中占2/3。但是表面现象并不能使人有理由认为,既然Ⅰ的产品价值=600镑,由200镑价值产品(1/3工作日)加400镑不变价值部分(等于2/3在生活资料的生产开始之前就结束了的劳动时间)组成,既然这个价值等于Ⅰ和Ⅱ使用的活劳动的价值产品,因而等于整个社会工作日的价值产品,那么这个产品价值实际上也是以全部年劳动为前提,即以Ⅰ使用的劳动的价值产品为前提。首先很清楚,Ⅰ的产品可以全部分解为收入,因为V300分解为300镑工人工资(收入),M300分解为300镑资本家收入。第二,C1200应该是一个单纯的表面现象,从社会角度看应该变为零,因为全部年产品不管以什么样的实物形式存在,都是年劳动的产品,但这全部年劳动,按照前提(由于概念的混淆),都是Ⅰ耗费的。因此,剩下的只是V300+M300。既然M300等于剩余价值,那么作为资本留下的就只有V300,即可变资本,这一点亚·斯密和约·斯·穆勒是说得非常明确的:全部资本直接地或最终都归结为工资。
相反,如果我们考察最后一个公式
|
1800镑。产品价值 |
│ |
C1200 |
│ |
+R600 |
|
全部产品 |
生产资料 |
生活资料 |
那FN20相反就会觉得似乎可变资本消失了,从社会的角度来考察,似乎资本只是由不变资本构成的了。这是因为,原来表现为V300的东西,现在已经分解为社会收入的一部分,分解为工资即工人阶级的收入。这个部分的资本性质因此也就消失了。实际上,拉姆赛曾经得出这个结论。在他看来,资本,从社会的角度来考察,只由固定资本构成,但是,他所说的固定资本是指不变资本,是指一个由生产资料构成的价值量,而不论这些生产资料是劳动资料,还是生产材料如原料、半成品、辅助材料等等。
他把可变资本叫做流动资本:
“流动资本只由在工人完成他们的劳动产品以前已经预付给工人的生活资料和其他必需品构成……严格地说,只有固定资本,而不是流动资本,才是国民财富的源泉……流动资本不是在生产上直接起作用的,对于生产也毫无重要意义,它只是由于人民群众可悲的贫困而成为必要的一个条件……从国民的观点来看,只有固定资本才是生产费用的要素。”(拉姆赛,同上,散见第23―26页)
拉姆赛还对固定资本(他是指不变资本)进一步说明如下:
“这种劳动〈即“生产任何一种商品所使用的劳动”〉的产品的任何一部分作为固定资本存在的持续时间,也就是以一种虽然有助于未来商品的生产,但不能维持工人生活的形式存在的持续时间……”(同上,第59页)
在这里,我们首先看见了亚·斯密种下的祸根。在他那里,不变资本和可变资本的区别淹没在固定资本和流动资本的区别中了。不变资本由劳动资料构成,可变资本由生活资料构成;二者都是有一定价值的商品;它们都不能生产任何剩余价值。
[154]当谈到资本家一部分以不变资本的形式(即他购买生产资料),一部分以可变资本的形式(即他购买劳动力)预付某一价值额时,从一开始就应该理解为同样意义的对两部分资本的价值预付。预付一词在这里不过表示某一价值额的所有者花费价值的一种特殊方式。他把价值当作资本价值来花费,也就是说,把它当作必须作为他的剩余价值的经常源泉执行职能的价值来花费。他花费价值不是为了把它实现在消费资料中和加到自己的消费基金上。相反,如果注意到资本家在预付资本时与之进行交易的那些人,那就应该说,在这里资本家什么也没有预付。织布业主向纺纱业主购买纱,向机器制造业主购买织机,等等。总之,他购买生产资料,他所拥有的一部分价值额必须以这些生产资料的实物形式作为不变资本执行职能。同样,他向工人购买对工人劳动力的使用。这里发生的是等价物同等价物的交换,因而这里没有发生任何预付。资本家向工人支付货币,并且在这个交易中换得的不是成品而是生产要素,如果说这种情况把对劳动力的这种支付变成为预付,那么织布业主在向纺纱业主支付纱的费用时也对他进行了预付,因为纱对他这个织布业主来说只是未来生产的要素。织布业主在出售自己的产品时也得到预付。总之,买者进行预付,因为他支付货币,卖者得到预付,因为他付出的只是商品。至于买者把他从商品所有者那里买到的商品用于什么需要,——是用于自己个人消费还是用于生产消费,——这同商品所有者完全无关。如果这里能够谈得上预付的话,那么可以说工人预付了自己的劳动,因为劳动是在发挥作用之后才被支付的。就象机器制造业主对纺纱业主进行预付一样,他在一定时期把机器提供给纺纱业主,只是在这个时期过去之后才得到支付。其次,织布业主支付给纺纱业主的价值,属于织布业主而不属于纺纱业主。相反,织布业主支付给工人的价值只不过是工人自己的一部分价值产品的货币形式,而资本——如果考察再生产过程中的资本的话——是这种工资的货币形式,只不过是工人自己的转化为金的价值产品的某一部分。支付给工人的不仅是工人自己的一部分价值产品,而且问题还在于,支付给工人的货币本身就是工人自己的一部分价值产品的货币形式。如果按照惯用的庸俗经济学的方法,把资本家看成是对工人的未完成的产品或未售出的产品进行贴现的银行家,那么我们假设工人——例如织布工——一周劳动的产品等于100v+100m=200镑。资本家用100镑对工人的这个价值进行贴现,也就是说,贴现率为50%,因此,资本家按每周100%使用自己的货币。但是他本人在银行家那里是按每年50%进行贴现的。因而,如果每年按50周计算,他支付2先令。作为工人和银行家的中间人,他由于向银行家支付2先令而从工人那里又得到49镑18先令。可见这个办法帮不了庸俗政治经济学的忙,更不用说单纯的贴现率完全不能说明可以使工资和剩余价值得到实现的那些产品的存在。
这里我们考察再生产过程,一开始就把货币流通撇开了,因而考察可变资本的预付也撇开了货币资本的干扰。总财富作为财产掌握在整个资本家阶级手中(在这里我们应该把这个阶级看作一个股份公司)。一部分以生产资本的形式处在这个阶级的生产基金中;另一部分作为它的商品资本处在市场上(这里应该把市场看作公共集市,所有单个资本家都把自己的商品留在这里)。因此,他们对自己的工人只能以消费资料的形式预付——按照我们的假设,货币流通被抽象掉了——资本的可变部分。他们从该商品资本中拿出价值300镑的消费资料来购买300镑的劳动力。这个劳动力现在构成他们的生产资本的一个部分,加入他们的生产过程,并且作为发挥作用的劳动力构成生产过程中可变资本的实际的、物质的存在。在产品中,在商品资本中,预付的劳动力价值被再生产出来,剩余价值也[包含在其中]。作为资本流通来考察的资本流通就是这样。但是在这里,我们不仅涉及到——因为谈的是总产品的再生产——资本流通,而且还涉及到商品产品中加入资本家或工人的个人消费的要素。
V作为生产资本的一个部分
300v是可变资本,或生产过程中的劳动力,
则是表现资本流通的形式。
当资本家用这300镑v同活劳动力进行交换之后,工人便把他用自己的劳动力换得的价值300镑的生活资料当作收入进行消费。这300镑进入工人的个人消费基金。它们所以是收入,因为它们是工人不断重复出卖自己劳动力的周期果实。在等于劳动力价值的可变资本价值直接以生活资料形式进行预付这样的前提下,已经包含着这样的情况,即可变资本,例如300镑,只是在300镑实际转化为生产资本的可变组成部分之后,也就是说,在资本家用这300镑生活资料购买了活劳动力之后,才是工人的收入;因而,同时也是以下面这种情祝为前提的,即资本家这样预付的300镑价值作为价值部分再现在劳动过程的产品中,也就是说,
由于工人的劳动,他的资本的可变部分从生产过程返回他手中。1200c+
镑不仅包括1200c,而且包括作为可变资本被再生产的或处在再生产过程中的300镑v。
要看到总的再生产的面貌,只有一个再生产出来的商品资本是不够的。还必须考虑到(1)以其原有的实物形式继续存在并且能够执行职能的那部分固定资本。这部分生产资料既不作为产品也不作为价值在当年生产出来。但是它们由于在该年被使用,也就是说,由于作为活劳动的物的要素执行职能,而保存了适于执行职能的状态。在这个意义上,它们也属于劳动的年产品。
(2)应该列入资本的商品产品的还有,第一、资本家本身,第二、一种也构成商品市场的一部分但不属于资本家所有的特殊商品,这种商品不是资本家投入市场的商品产品部分,而由它的所有者工人出卖,这种商品就是劳动力。
由于资本家是通过消费剩余价值来维持自身的存在和再生产自身,所以资本家阶级就不仅仅是在它的个人的要素中再生产出来。剩余价值同总收入的关系同时表明,资本家是作为上层社会被再生产出来的。其次,资本家所以作为资本家阶级被再生产出来,是因为社会的生产资料作为他们的不变资本被再生产出来,而劳动力不断地形成他们的生产资本的可变组成部分。
工人阶级由于一部分产品―必要生活资料―转化为劳动力而被维持和再生产出来。工人所以同时作为雇佣工人被再生产出来,是因为物质财富和实现他们的劳动的资料这整个世界,都作为资本,作为他人的财产同他们相对立,生产资料作为不变资本同他们相对立,生活资料作为商品资本的一部分同他们相对立;这些生活资料一部分由资本家阶级消费,另一部分则由于工人不得不重新出卖自己的劳动力给资本家阶级,由于工人的活劳动力转化为社会的生产一资本的组成部分,而由工人重新购买。
[再论规模不变的再生产]
[155]本节的全部论述,可以从适用于单个资本的商品产品的公式中直接引申出来。
假定在某种商品如棉纱的生产中,消费掉价值1200镑的生产资料和价值300镑的劳动力。再假定剥削率为100%。那么,按照第一卷中所作的价值分析,产品价值分解为c+v+m,或在这里的具体场合分解为1200c+300v+300m,或者也可以说分解为
【C1200+V300+M300】。
现在把这个公式用于社会的全部年产品,并且这里的几百可以看作几百万。其次,我们再假定,不变资本、可变资本和剩余价值之间的比例不变。这样,社会年产品价值等于1200c+300v+300m,或C1200+V300+M300。
这一产品部分地由消费资料组成,部分地由生产资料组成。
假定进行的是简单再生产,从而假定,无论是工人作为工资所得的部分,还是资本家作为剩余价值所得的部分,都进入消费基金。
首先很清楚,根据这一假定,600镑产品价值(=V300+M300)用于个人消费,也就是说,由消费资料组成的产品部分,按其价值来看应当等于600镑=V300+M300。
因此,这些消费资料的价值等于全年的价值产品,也就是说,
(V300+M300),而
(=600镑)是实现着一年中重新加进的全部劳动的价值。
但是,虽然这些消费资料的价值等于600,即全年的价值产品,可是由此决不能反过来说,在这些消费资料中实现了一年中追加的全部劳动,也就是说,它们作为产品的价值,600镑,实际上是一年中重新创造的600镑价值产品。
无论是消费资料的价值,或者是生产资料的价值,——而社会总产品就由这两种商品组成(同一种商品既可以用作消费资料,也可以用作其他商品的生产资料,而不管这些商品是生产资料还是消费资料;但整个说来,两种商品不仅在职能上,而且在实物形式上都有所区别,而且对于我们当前的目的来说,这种划分可能是绝对的分界线),——这种价值部分地是由生产它们时所消费的生产资料(生产材料和劳动资料)的再现的价值组成,后者被生产产品时所使用的劳动转移到产品上去;部分地是由新价值组成,这一新价值等于所使用的劳动力的价值加上这一劳动所生产的剩余价值。
因此,等于600镑的消费资料的价值,是应分解为c+v+m的产品价值。假定生产这种产品时所消费的生产资料的价值等于400镑,所使用的劳动力的价值等于100镑,这一产品价值中所包含的剩余价值等于100镑(因为我们假定剥削率等于100%)。
于是,我们得出:
(Ⅰ)价值:600镑
产品——消费资料
|
│ |
 【400c+100v+100m或C400+V100+M100。】 |
因为在消费资料的价值600镑中,400镑只是再现的不变价值,从而只有来自于一年内所追加的全部劳动的200镑才是新的价值产品,可是年劳动的总价值产品为600镑,所以,在1200c(或者等于1200镑的重新生产出来的生产资料的价值)中应有400镑分解为
【v+m】,分解为一年内重新生产出来的价值,也就是说,应当是体现着生产这些生产资料所花费的劳动的价值。其次,因为劳动剥削率等于100%,所以这400镑应当等于200v+200m,或V200+M200。相反,这1200镑中的800镑应当只是再现在生产资料价值中的不变资本价值。因此,我们得出:
(Ⅱ)价值:1200镑
生产资料
|
│ |
 【800c+200v+200m或C800+V200+M200。】 |
运用这两个公式,看来只是重复过去的论述。如果我们进一步分析(Ⅱ),那么从这个公式就直接得出:在这1200镑中有400镑可以换取消费资料,即换取C400(Ⅰ)。因此,在1200镑中有400镑应当处于可以换取C400(Ⅰ)的实物形式上;也就是说,它们应当处于这样的实物形式上,在这种形式上它们能以实物补偿生产消费资料即Ⅰ的产品时所消费的价值400镑的生产资料;实际上,Ⅱ的总额为400镑的这些商品的实物形式,应当是生产资料的实物形式,后者应以实物[补偿]Ⅰ的[生产资料]。
但是,(Ⅱ)的全部商品量包括:
(α)作为生产材料和劳动资料直接进入生活资料生产的生产资料;
(β)生产(α)的生产资料所必需的生产资料。
在生产(α)的生产资料时,消费了一定量(β)的生产资料,而且这个量应当从社会年产品中得到补偿。诚然,Ⅱ(α)和Ⅱ(β)的一部分生产资料可以具有同样的实物形式,也就是说,可以用作消费资料的生产资料,也可以用作自身的或其他生产资料的生产资料。但是,(α)的生产资料和(β)的生产资料有很大一部分在实物形式上是有区别的,而且为了简便起见,我们在这里可以假定,这种区别带有绝对性质,并把这两个类别严格区分开来。也就是说,它们也是不同种劳动的产品;或者说,一年中加进Ⅱ的那部分社会劳动,以一种实物形式消费在Ⅱ(α)的生产中,而以另一种实物形式消费在Ⅱ(β)的生产中。换句话说,V200+M200不能成为加进Ⅱ的全部劳动的价值产品,而C800只能是再现的不变资本价值。
总之,假定在等于400镑的Ⅱ(α)的产品中,资本的不变部分等于200镑,而新加进的价值为200镑,其中包括100v和100m。
或Ⅱ(α)的产品:
价值=400镑
|
│ |
 【200c+100v+100m或C200+V100+M100。】 |
生活资料的生产资料或(α)的生产资料。
[156]因为一年中加进的全部劳动的价值产品等于600镑,或年工作日表现为600镑价值,但在Ⅰ中只加进200镑,在Ⅱ(α)中也只加进200镑,所以,1/3年劳动花费在Ⅱ(β)中,因而表现为等于100v+100m的200镑价值产品。因此Ⅱ的现存产品价值分解为:
价值=800镑
|
│ |
 【600c+100v+100m或C600+V100+M100。】 |
Ⅱ(β)的产品。(β)的生产资料,或(α)的生产资料的生产资料。
因此,社会总产品表现为这样:
(Ⅰ)价值600镑的消费资料
(Ⅱ)价值1200镑的生产资料 |
│ |

|
(α)的价值400镑的生产资料同(Ⅰ)的消费资料形式上的C400直接相交换,因而以实物形式补偿Ⅰ的不变资本。
在400镑消费资料中,Ⅱ(α)保留下价值200镑的一半,即Ⅱ(α)的(V100+M100),并用另外的200镑消费资料去交换Ⅱ(β)的三分之一产品,后者等于(Ⅱβ)的(V100+M100),由此,Ⅱα的等于C200(Ⅱ)的不变资本得到实物补偿。
我们在第153页FN21上得出的倒数第二个总公式如下:
(A)消费资料:
V300+M300=600镑。
(B)生产资料:
C1200=1200镑,或C800(Ⅱ)+C400(Ⅰ)。
在这里,还应当对C400(Ⅰ)作一些说明。
这C400(Ⅰ)部分是固定资本的组成部分,它们在一年内被消费掉,并在第二年应得到实物补偿,只要生产应在同一规模上重复进行。固定资本的一定组成部分可以由很快就消费掉的和在一年中同样不断重新再生产出来的劳动资料组成,例如,由生产过程本身中不断重新毁坏的容器组成。正象在第一年年初那样,在第二年年初也必须拥有这些劳动资料。但是,为了在全年发挥作用,它们应在自身的各个再生产周期进行的过程中得到补偿,并且这些周期不是直到年初,而是在此以前就反复进行。然而,它们的较迅速的周转——较迅速的消费和较迅速的补偿——并不妨碍它们只作为固定资本不断发挥职能,并且一部分社会产品必定以同一实物形式不断被再生产出来。
C400(Ⅱ)部分由生产材料组成,这些生产材料一年内在Ⅰ中以某种形式被消费掉,应在Ⅱ中被再生产出来,并且要在全年内不断存在。例如,谷物要全部进行再生产,棉花、亚麻等等植物原料也是这样。但是,C400(Ⅱ)本身在一年内要经过各种形式,这些形式在同一年内进入Ⅰ并在这里进行生产消费。例如,用谷物制成面粉(Ⅱ),用面粉制成面包(Ⅰ)或用棉花(Ⅱ)纺纱(Ⅱ),织布(Ⅱ),缝制衣服(Ⅰ)。
除了一年内生产出来的和——以面包、衣服等等形式——消费的面粉、纱、棉布等等外,一年内还没有生产出第二批同一数量的面粉、纱、棉布等等,以用于补偿前一个量,正象棉花、谷物等总是会有这种情形一样。同一种原料在一年内顺序变换谷物、面粉、面包、纱、棉布、衣服等等的形式,并在第二年重新顺序变换这些形式。但是,在消费资料会变换所顺序采取的不同形式的这些不同的生产领域中,生产一方面是顺序进行的,另一方面又是同时进行的。如在单个工厂中,产品顺序经过各种形式,从一个生产阶段转到另一个生产阶段,并且又同时处在这不同阶段的每一阶段上,这同样也适用于“社会”工厂。
{“如果我们考察一定量的原料……就可以看到,这些原料在获得自己的最后形态之前,要在不同的局部工人手中经过时间上顺序进行的各个生产阶段。但如果把工场看作一个总机构,那么原料就同时处在它的所有的生产阶段上……不同的阶段过程由时间上的顺序进行变成了空间上的并存。”(第1卷第327、328页FN22)“每一台局部机器依次把原料供给下一台,由于所有局部机器都同时动作,产品就不断地处于自己形成过程的各个阶段,不断地从一个生产阶段转到另一个生产阶段。”(同上,第366页FN23)}
因此,如果我们假定,C400(Ⅰ)就是消费资料的生产一年内所消费的全部生产资料(即全部不变资本)的价值,那么,这C400一年内不能完全由同一价值的生产资料以实物形式来补偿;得到补偿的只是:(1)一年内消费掉的,但必须在年底得到补偿的固定资本组成部分;(2)其再生产具有年度性质的生产材料,因此它们在一年过程中不断被消费,但必须在年底得到实物补偿;(3)最后,这样一些生产资料量,它们是在短促的劳动期间内生产的(例如,煤、棉纱、面粉等等),是为Ⅰ提供生产资料的一切部门不间断地进行社会生产所必需的。例如,在开采新的煤和生产新的棉纱期间,纺织业者同时必须拥有一定量的煤、棉纱储备等等。为Ⅰ生产的储备量究竟应当有多大,这要取决于相互竞争、相互交错的各类部门中的劳动期间(以及流通期间,因为这里包括运输)的长度。
(Ⅱ的情况也是这样;虽然作为C800(Ⅱ)的组成部分,作为生产资料而生产的每个要素构成不变资本,然而,例如煤本身今天在煤的生产中作为生产资料被使用和消费,通过今天的生产明天又得到补偿,等等。因此,并不是被消费的C800中的全部生产资料在年底都被再生产出来。被再生产出来的是其消费以及生产要延续一年的全部组成部分。其他组成部分只是按照——相应地要根据它们能被生产出来的劳动期间——不断保持储备的必要数量被再生产出来。)
但是,不论Ⅰ或Ⅱ都必须使年产品成为大批产品,这些产品在一年中一再地生产、消费和重新生产。因此,Ⅰ的产品,即价值600镑的消费资料中极大部分在一年中被消费。任何时候都是这样。如果是指简单再生产,那么全部600镑产品或者实际上被消费,或者至少[157]被社会消费基金吸收。
这一点要在下面几节里加以分析。
其次必须指出,600镑(Ⅰ)并不是一年内所消费掉的全部消费资料。
我们在这里说的不是进入个人消费基金的耐用品。
对房主来说,作为住宅出租的房屋是他的资本:房屋不进入他的个人消费基金。例如,工人(在相当大程度上还有非工人)租住这些房屋是不断支付租金的。
但是,只有新建住宅的价值才形成年产品总价值的一部分。可见,处于流通中的消费资料的价值和数量,大于一年内生产出来的消费资料的价值。因此,600镑的一部分并不是由这个部分的相应的占有者消费,而是例如由那些把并非当年创造的等价物偿还给他们的房主消费。一切处于下述状况的很快就会消费掉的消费资料也都属于此列:这些消费资料还没有被消费基金吸收,而是作为商品储备处于市场上,并且以起码的数量保证年复一年的不断供应。
如果我们考察年生产,那么,我们一开始自然要以这种生产所必需的资本的存在——作为这种生产的条件——为起点,这种资本有相当一部分在年初就已处于现成的形式上,如固定资本(只有一部分是上年的产品)或要用一年时间进行再生产并充当生产资料的一切生产资料(棉花、谷物等等)。在这里我们和重农学派一样以秋天为起点,即以要用一年时间来提供的生产资料农产品为起点——部分用于再生产它本身,部分用于加工和制造消费资料。
部分年产品并不是以可捉摸的商品形式存在。例如,上述600镑中就包括全部铁路运转和其他进入个人消费的位置移动。它们的产品就是位置移动。为了生产这种产品就先要有一定量的不变资本和可变资本。产品本身的价值——只有在生产产品时这一价值才能被消费——只有在下述情况下才构成600镑价值的一部分:如果这里所说的是个人消费,并且运输不表现为生产过程,因为商品本身已消失。在后一种情况下,这种位置移动的价格固定在商品的价格中。
如果我们考察一下整个公式,那么,初看起来,关于比例性的假设——如400c(Ⅰ)=(V200+M200)(Ⅱ)——似乎是任意的。然而:
(1)假定是简单再生产——也就是说,全部年产品被消费(部分用于个人消费,部分用于生产消费)。{生产资料和消费资料并不完全由生产基金和消费基金直接吸收,有一部分留作供明年用的商品储备。但是,可以撇开这种情况,因为在简单再生产条件下各年的这些余额会得到平衡,从而本年留作供明年用的商品储备的东西,会由本年所消费的商品价值不断得到补偿。}产品具有一定价值量,——如1800镑。它的价值中由消费资料价值组成的部分也具有一定价值量,如600镑。这600镑中有一部分由不变资本价值组成。不变资本价值也具有一定价值量,如400镑。(这里用来表示这个量的一定数字是随便举出的,不过这个量有多大也是无400关紧要的。)如果600镑中400镑是不变资本C400,那么,其余200应当是可变资本加上剩余价值,即200(V+M)。这200如何分为V和M,取决于劳动能力的价格。如果劳动能力价格等于100,那么其余的100应当是剩余价值,100m。如果劳动能力价格等于150,那么其余的50=50m。这样一来,我们就得到:600镑(消费资料)=
+M100。这C400应当同(V+M)400(Ⅱ)相交换,因为它们总是应当从它们借以存在的产品形式转化为这些消费资料的生产资料形式。但是,在Ⅱ中只有一定量产品(由生产资料组成的产品)价值才能由它的生产者用于消费资料,而且这个数量等于新加进Ⅱ的分解为V和M的价值。因此,(V+M)Ⅱ应当等于400镑。这个量在V和M之间的分配丝毫改变不了这一点:它们的量应当等于C400(Ⅰ)。在这里,这种分配是无关紧要的。假定在这里分配情况是200V加上200M。在生产这(V+M)400(Ⅱ)时,消费掉一定量的生产资料,而生产资料应靠Ⅱ的产品得到实物补偿。比例是无关紧要的。但是,这只能是生产资料的价值额,这些生产资料由重新加进Ⅱ的并创造出新价值(V+M)400的劳动所消费。在这里,我们假定这个量等于800C。
这样就得出(假定是简单再生产):(1)各价值部分200(M+V)(Ⅰ)和C400(Ⅰ),C400(Ⅰ)和(V+M)400(Ⅱ),以及最后800c(Ⅱ)和(V+M)400(Ⅱ)的比例不是随意的,而是必然的。
(2)这种比例以(或表现在这一点上)社会工作日按比例分配于Ⅰ和Ⅱ两个类别之间为前提;例如,如果社会工作日体现在等于600镑的价值中,并且C400(Ⅰ)等于400镑,那么,2/3的社会工作日应花费在Ⅱ中,而1/3则应花费在Ⅰ中。社会工作日的分配的前提是——所包括的是——实现这一劳动的客观条件的分配。
(3)这个图式是:

因而也是如何进行有计划、按比例的社会生产的图式(假定是简单再生产)。
C400部分一年中总是一再转化为消费资料并被消费,从而,不断形成为C400部分的(V200+M200)部分,同以消费资料形式存在的C400(Ⅰ)部分相交换。
显然,在一年中不断重复的各个较短时期中生产(或提供)的Ⅱ的C400部分,先是作为Ⅱ的产品存在,然后在Ⅰ中作为不变资本发挥职能。当这个部分在Ⅰ中作为生产资料被消费的时候,它已经作为产品在Ⅱ中被重新生产出来。如果在年底这C400部分应作为固定资本或生产材料储备加以补偿,(V200+M200)部分在年底就作为补偿C400所必需的产品而存在。由此是否可以得出这样的结论:如果C400是Ⅰ中一年内消费掉的全部不变资本,那么,它是否由于400(V+M)部分已经在C400的形式上得到核算就不会交换200(V+M)?
[158]首先我们考察一下C400(Ⅰ)和(V+M)400(Ⅱ)的关系。
Ⅰ中作为不变资本发挥职能的生产资料,是Ⅱ的产品,同时Ⅱ中生产出来的用于补偿的不变资本按其价值来看,等于(V+M)(Ⅱ);这一产品就是Ⅱ中代表V+M的实物形式。
在图式中,情况似乎这样:在年生产开始时,在一年内作为不变资本在Ⅰ中发挥职能的全部生产资料量,都掌握在Ⅰ的资本家手中,其价值等于400镑。根据这一假定,这全部生产资料量在一年内由Ⅰ消费,所以它在年底应当靠Ⅱ的产品全部得到补偿。{如果以货币流通为前提,那么Ⅱ[类别]在年初就应得到交换C400的400镑货币,并在一年过程中用这些货币向Ⅰ购买消费资料。Ⅰ在年底就要得到400镑货币,并用这些货币向Ⅱ重新购买400镑生产资料,等等。}
但是很清楚,在这种假定下,这些生产资料中只有一部分作为Ⅰ的生产资本实际发挥职能,而另一部分总是作为Ⅰ的生产储备发挥职能。为了使一定规模的生产不断进行,固定资本——构成Ⅰ的固定资本的那部分生产资料——应当不断地全部加入生产过程,不断地处于生产过程之中。但是,生产材料,如进入家具、器具等等生产的木料、金属等等,涂料、煤以及其他用在固定资本上的辅助材料,面粉、棉布(在棉布直接进入消费的地方是纱)等等,这一切都不断进入消费。不变资本的这个流通部分中只有一定部分是逐周消费的,这种消费同固定资本量和Ⅰ中每周所使用的并以V100表示的劳动力的量相适应。实际上,C400(Ⅰ)部分在一年内——在较短或较长的时间里——总是以生产储备形式处于Ⅰ的资本家手中,或以商品储备形式处于Ⅱ的资本家阶级手中。
应作为C400(Ⅰ)组成部分发挥职能的生产资料,有相当一部分在一年中以或短或长的时段在Ⅱ中不断地生产和再生产出来。例如,煤(是Ⅰ所使用的机器等等的辅助材料)就是如此。假定煤每两周一次由Ⅱ提供给Ⅰ。显然,在这种场合下,Ⅰ只须储存供两周用的煤。Ⅰ在年初靠储存的这两周的煤开始生产,而到年底同样要靠Ⅱ的产品得到补偿。但是,Ⅰ在一年50周所消费的煤中可能拥有超过两周的存煤,这要靠Ⅱ每两周的同时进行的生产得到补偿。因此,重复计算是错误的,这种计算如下:Ⅰ消费50周的煤,Ⅱ生产50周的煤,两者合计是供100周用的煤,50周用于当年的消费,50周是为次年而预先生产的(即认为这些煤是预先生产的)。Ⅰ在两周内所必需的,从而构成Ⅰ的不变资本组成部分的煤的消费,同Ⅱ中为重新提供两周用煤而进行的生产,是同时进行的。到年底也和在年初一样,两周存煤的价值是Ⅰ的不变资本的组成部分。
其次,(Ⅱ)的相当大一部分产品一年内以一系列顺序出现的形式多次再现,也就是说,要经历一系列形式,直到这一产品进入Ⅰ为止。例如,一年内所消费的亚麻应在年底得到补偿,也就是说,应生产出供次年用的亚麻储备量。这些亚麻构成Ⅱ的不变资本(即亚麻纺织业者等等的不变资本)部分。这些亚麻在这里一部分作为亚麻生产者的商品储备,一部分作为商品资本(如在商人手中),一部分作为Ⅱ的生产者的生产储备(充当他们的原料)而存在。但是,这些亚麻的一部分每周被用于纺纱,然后以纱的形式落入织布业者等等之手,直到最后才以布的形式进入Ⅰ——例如作为生产衬衣等等的原料。亚麻应不断地在每两周内处于纺纱业者的手中,纱应每两周内处于织布业者的手中,布应在每两周内处于衬衣等等生产者之手。
因此,到年底Ⅰ[类别]应有两周的布储备得到补偿,而织布业者应有两周的纱储备得到补偿,等等。亚麻本身尽管实际上是逐渐地进入年生产过程,但要作为年生产储备全部存在于Ⅱ中,也就是作为Ⅱ的不变资本的潜在形式而存在。
假定C400(Ⅰ)的1/4是固定资本的组成部分,每季度补偿一次,——即其数额为25镑,——那么,固定资本本身每周转移到产品上的价值只有2镑,两周是4镑。其余300镑假定是一年中消费掉的不变流动资本的价值(生产资料)。假定后者要作为产品储备而存在,那么,300镑/50周=30/5=每周6镑,或两周为12镑。
因此,Ⅰ中是16c+4v+4m=24镑(一年为600镑);Ⅱ中是
【32c + 8v+8m】= 48镑(一年为1200镑)。
对于Ⅰ+Ⅱ来说,发挥职能的不变资本、可变资本和剩余价值之比与图式中的相同。
但是,一方面,因为Ⅰ的固定资本中有4镑并不是每两周而是每12+(1/2)周(50/4周)补偿一次,所以为补偿Ⅰ的不变资本,Ⅱ在年底应再生产出25镑+12镑=37镑,而不是16镑。其次,在这里没有算进Ⅱ的这样一些资本要素,这些要素尽管每两周以加工过的形式进入Ⅰ(以便成为生产消费要素),但是要在全年作为Ⅱ的生产储备而存在,如棉花、亚麻以及劳动期间几乎要延续一整年的其他一些生产材料的情况就是这样。
在图式中,应作为产品或商品储备而存在的年产品部分很明显地表示出来,而在图式的后一个公式中却不明显。相反,在这个公式中周转表现得很明显。这里表示出,Ⅱ的部分产品一年中不断重新生产出来,——无论是以其最初形式(如煤),还是后来又经历一系列过程(这部分产品一再经过这些过程,然后作为年生产资料进入Ⅰ),——并在一年内在Ⅰ中同样不断地作为资本不变部分而发挥职能,也就是进行生产消费。这样,图式所造成的下述表象就消失:似乎C400(Ⅰ)在年底应完全由Ⅱ的产品补偿,因而应当全部被再生产出来。
对外贸易按照Ⅰ和Ⅱ的补偿要素不是在本国,而是在国外相互交换的程度,破坏Ⅰ和Ⅱ之间的这种严格比例。
[159](B)关于起媒介作用的货币流通的表述
这里所涉及的各种问题,在前一章(Ⅱ,546)中已做过考察,并应放到这里。
首先,我们解决了对图克提出的问题:整个资本家阶级不断从流通中取出的货币怎么能够比它投入流通的货币多?47看来,这无非是这样一个问题:商品总量的流通所必需的货币是从哪里来的。
无论商品价值或流通的商品价值量都不会由于下述原因而发生变化:这些商品包含剩余价值,也就是说,这些商品的部分价值是它们的所有者和出售者不花费分文就得到的。
困难之所以产生是因为,既然假定进行的是资本主义生产,处于流通中的全部货币最初就应当由资本家阶级投入。
作为资本家,既然他们只是作为资本的人格化而发挥职能,他们就只是把货币投入资本(可变资本或不变资本)流通,而不是用于剩余价值的实现。(我们以后会看到,虽然在一定范围内也会发生这种情形。)流行的一种看法是,认为资本家X从资本家Y那里购买商品,把后者的商品价值,从而这种商品所包含的剩余价值支付给后者,而资本家Z也为资本家X提供同样的服务,等等,——这种看法把我们从本丢推给彼拉多,FN24表现为一种恶的无限循环。虽然每一单个商品和每一定量商品孤立地看都等于c+,因而它们的实现也包含它们所含有的剩余价值的实现,但是年总产品以及每一单个资本家的产品则分为一个等于c+v的价值组成部分,即资本价值,和另一个等于m的价值组成部分,即剩余价值。因此,用来实现c+v,或C的流通货币量,并不是用来实现m的流通货币量。无论对单个资本家来说,还是对整个资本家阶级来说,资本家作为资本来预付的货币(或用来购买劳动力和生产资料的货币),和他们作为收入来花费的货币,即用于个人消费的货币是不同的。如果更详细地考察一下作为再生产媒介的流通机制,那么与此有关的某些形态变化就会显露出来。谜就会很容易解开,因为资本家阶级手中的货币量的一部分,简言之,也就是社会所拥有的货币量的一部分,是作为货币资本而发挥职能,而另一部分则被用于资本家阶级收入的流通。
例如,在第Ⅱ章第5节中已指出,开办企业的资本家本身,可以不是作为资本家,而作为个体消费者把货币投入流通,然后用这些货币实现他的剩余价值。通过他的资本的流通,即通过他所生产的商品资本的实现,他重新获得作为他的收入的流通手段的这些货币。FN25
但是一般说来,困难有下面两个来源:
第一,如果我们只考察资本的流通和周转,从而把资本家也只是看作资本的人格化,不是看作挥霍者,资本主义的消费者,那么,我们固然看见他不断把剩余价值投入流通,因为这是他的商品资本的组成部分,但从来看不见有货币作为收入的形式存在于他的手中,从来看不见他为了剩余价值的消费而把货币投入流通。
第二,如果整个资本家阶级把一定货币额投入流通,——虽然这个货币额由于同一货币的流通可能在任何时候都少于体现着剩余价值的年产品总额,——那就好象他们为年产品的这一部分支付了一个等价物,因此,这一部分就好象不再代表剩余价值了。但是,代表剩余价值的剩余产品,不需要资本家阶级花费分文。作为资本家阶级,他们无偿地占有,享受了这些剩余产品,而货币流通也不能使问题有所改变。由货币流通引起的变化,简单地说就是,每个资本家都不是直接以他自己生产出来的商品的形式消费剩余价值,而是从每年的社会剩余产品总额中取出相当于他生产出来的剩余价值额的各种商品,并把它们据为己有。但是,流通的机制已经表明:当资本家阶级把作为收入来花费的货币投入流通的时候,他们也会从流通中再把这个货币取出,从而能够不断重新开始同一过程;或者说,作为资本家阶级来看,他们始终占有为剩余价值的货币化所必需的货币额。因此,如果资本家不仅从商品市场取出商品形式的剩余价值作为他的消费基金,而且他用来购买这些商品的货币也同时流回到他手里,那就很明显,他从流通中无偿地取出这些商品。虽然他为这些商品支付了货币,但这些商品并不需要他花费分文。如果我用一镑购买商品,商品的卖者又把这一镑还给我,那就很明显,我就是无偿地取得了这个商品,这种交易的不断反复,也改变不了下列事实:我不断取出商品,并且不断占有这一镑,虽然为了取得商品,我需要这一镑,并且总是暂时地把我的这一镑让渡出去。资本家不断把这些货币作为不需要他花费分文的剩余价值转化成的货币来收回。
我们已经讲过,斯密的公式是:
|
(Ⅰ)消费资料:600镑=R600=V300+M300
(Ⅱ)生产资料:1200镑=C1200
|
总产品价值分解为600镑,而1200镑生产资料的价值假定等于零。由此必然得出结论,600镑年收入流通所需要的货币可支付全部产品,——或者消费者作为消费者所花费的货币,足以支付全部年产品。托·图克重复这种看法。对于收入的货币化所需要的货币量和全部社会年产品流通所需要的货币量之间的关系抱这种错误的看法,是对全部年产品的不同物质要素和价值要素进行再生产的方法和每年进行补偿的方法不理解或者不加思考的必然结果。所以,它已经被驳倒了。
让我们听一听斯密和图克是怎样说的。
[160]“每一个国家的流通都可以分成两个不同部分:商人之间的流通,商人和消费者之间的流通。即使同一货币,纸币或者金属货币,可以时而用于这个流通,时而用于那个流通,但这两个流通是不断同时进行的,因此,要使流通进行下去,各自需要有一定量的这种或那种货币。各种商人之间流通的商品的价值,绝不能超过商人和消费者之间流通的商品的价值,因为无论商人购买什么,最终必然会卖给消费者。由于商人之间的流通都是成批进行的,一般地说,每笔交易都需要数额相当大的货币。而商人和消费者之间的流通,多半是零星进行的,往往只需要很小的货币额,常常一先令甚至半便士就够了。但小额流通比大额流通快得多。一先令比一基尼会更加快得多地交换其所有者,而半便士比一先令又要快些。因此,虽然全体消费者每年的购买至少〈这个“至少”真妙!〉和全体商人每年的购买在价值上是相等的,但是,照例可以用一个小得多的货币量来解决;因为同量货币由于流通加快而完成的购买量,在前一种购买中比在后一种购买中要多得多。”(亚·斯密《国富论》第2篇第2章)
对亚当的这一段话,托·图克评论说(散见《对货币流通规律的研究》1844年伦敦版第34―36页):
“毫无疑问,这里描述的这种区别实质上是正确的……商人和消费者之间的交换也包括工资的支付,而工资是消费者的主要收入……商人和商人之间的一切交易,也就是从生产者或进口商起,通过直接生产过程的各个阶段,或换句话说,直到零售商或出口商为止的一切出售,都可以归结为资本转移的运动。资本的转移不一定要求货币,即银行券或铸币的运动,并且实际上在极大多数情况下不会引起这种运动,——我指的是物质的而不是虚拟的方面……商人和商人之间的交易总额,归根结底必须由商人和消费者之间的交易额决定,并受它的限制。”
如果孤立地来看最后一句话,可能会认为,图克只是断言,在商人和商人的交易与商人和消费者的交易之间存在着比例关系,换句话说,在每年总收入的价值和用来生产这个收入的资本的价值之间存在着比例关系。但是,情况并不是这样。他明确宣称接受亚·斯密的观点。
我们已看到(第1册第1章FN26),一个国家现有的货币量大于商品流通不断吸收的货币量(货币贮藏等等)。一年中生产出来的商品量的流通所吸收的货币量,更是如此,因为作为商品流通的各种物并非当年生产出来的,如地块、房屋、公债券等等。劳动期间要延续几年或一年以上的产品,如役畜、产品牲畜、木材、葡萄酒等等就是如此。
(但是,由此不能得出结论说,并非当年生产和消费的一切产品,都要求特别的货币流通。例如,工人用自己的一部分工资支付房租,而房屋过去已建成,并且还要使用若干年。房主用这些货币来满足自己的需求。因此,这一货币量用于并不是当年产品或当年部分产品的房屋价值的逐次流通。)指出下面这一点是十分重要的:在一定情况下,除了商品(特别是年产品价值)流通所必需的货币量以外,一定量货币经常处于潜在状态,不发挥职能,但是,这些货币在一定动机的作用下就会发挥职能。
另一方面,再生产总过程并不要求它的一切运动都经历货币流通。首先,应排除一切发挥职能的生产资本,同样也排除潜在的生产资本——生产者掌握的生产储备,还未发挥职能的机器、厂房等等,以及其他等等;下述产品也是这样:它不是作为商品资本发挥职能,而是由它的生产者直接消费——无论是个人消费(作为他的收入部分),还是生产消费(也就是说,这时它重新作为生产资料进入它作为产品走出来的过程);或者还可能有这种情况:资本家不是以货币形式,而是以自己的产品的实物形式投入自己的一部分可变资本,例如,租地农场主用农产品支付工人工资等等。
{(因此,如果指的是年价值产品(而不是产品价值),那么,对于要经历若干年劳动期间的一切产品来说,应包括在内的只是一年中加进产品的价值,例如,并非当年收获期前进入葡萄酒价值的一切东西,而只是这一年内加进葡萄酒的价值。牲畜等等的情况也是如此。虽然当年劳动在所有这一切场合生产的不是产品的全部价值,而只是这一价值的较大或较小部分,但通过当年的劳动,这种产品也保存了去年等等所创造的业已存在的价值。如果不以适当方式保存葡萄酒,那么,它就会随着使用价值的丧失而失去自己的价值。牲畜等等也是这样。如果已经开始的建筑不继续进行下去,那么,建筑物等等中已经包含的过去劳动就会白费。)}
因此,年产品借以流通的和我们在这里应专门进行考察的货币量,是由社会支配的,是不断被社会积累的。这一货币量不属于当年的价值产品。只是由于必须补偿已磨损的货币,部分年产品才应当同补偿已磨损货币等等的那些货币相交换,或者说,在某国内,一定量的社会资本和社会劳动力才应当耗费在这一部门中,即贵金属的生产中。这个问题现在可以完全撇开不谈,因为我们在B节b48中作较详细的论述。流通所必需的货币量假设是已定的,而实际上也是一定的。
[161]因此,除了1800镑产品以外,还存在掌握在资本家手中的一定货币量,这是这一产品流通所必需的。如果我们要考察再生产过程以及作为其媒介的货币流通,那么,我们就应当研究价值1800镑的商品加上商品流通所必需的货币量。

(1)我们先考察Ⅰ。一年中购买的和消费的劳动力的价值等于100镑。劳动力是用货币购买或支付的。这表明,可变资本的预付形式是货币资本。只有在每年周转一次的情况下,为此目的才需要最大数量的货币资本。在这种场合,可变资本流通所必需的货币资本必定等于已购买的或行支付的劳动力本身的价值,在这里就是100镑。这是可变资本流通所必需的货币资本的最大数量。为简便起见,暂且假定实际上也是这样。Ⅰ的资本家(Ⅰ的总体资本家)把100镑货币支付给Ⅱ的工人(Ⅱ的总体工人),从而把自己的一部分资本转化为可变资本,即转化为加进他的生产资本的活的劳动力。现在,他应当在生产上消费劳动力,而工人应当把这100镑用于个人消费,也就是作为收入花费。
工人用这100镑购买消费资料。他们从Ⅰ的商品市场得到100镑的商品,并列入自己的消费基金。但他们从谁那里购买这些消费资料呢?从Ⅰ的资本家那里购买,因为他们的商品资本正好具有消费资料的实物形式。因此,工人为了得到这一数额的消费资料,又把100镑货币还给Ⅰ的资本家。这样一来,资本家重新占有他的100镑货币形式的可变资本。他的可变资本以货币资本形式重新回到他那里,第二年又会以同一方式被预付来购买劳动力。工人通过消费生产资料保持和再生产出自己的劳动力,然而在这个过程以后,他就作为雇佣工人,作为又象以前那样为了得到货币而不得不出卖劳动力的人,也就是使资本家的货币重新转化为可变资本的人而被再生产出来。
因此,这里有两次交易,使可变资本以货币形式流回到它的起点,流回到Ⅰ的资本家那里。
第一,Ⅰ的资本家是买者,也就是劳动力的买者。因此,他购买劳动力所预付的货币,同这种劳动力的价值相一致。在这一交易中,货币同他脱离,而劳动力却作为他的资本组成部分被他占有。另一方面,Ⅰ的工人是卖者。所以,他得到货币,并且不再支配自己的劳动力。
第二,Ⅱ的工人是买者,也就是消费资料的买者。因此,他得到100镑的消费资料,并把100镑还给Ⅰ的资本家。资本家作为买者把100镑货币付给工人,作为消费资料的卖者又收回这100镑货币。资本家卖给工人的是工人自己的部分产品。
因此,交易的结果是,拥有100镑货币的Ⅰ的资本重新同Ⅰ的工人相对立,而工人则作为100镑劳动力的卖者革新同这个资本相对立。如果象这里所假定的,生产消费资料的Ⅰ的资本每年只周转一次,那么,这一年,如1870年的产品应足够第二年即1871年全年使用,1871年生产的产品则是满足1872年的需要所必需的,而1870年消费的是1869年的产品。在这个前提下,对一切产品来说所假定的实际上只是部分农产品才有的情况。在这种状况下,Ⅰ的资本家例如在1870年期间付给工人100镑,而工人则用这100镑购买他们自己在1869年,即一年前所生产的消费资料。通过这种购买,工人在1870年把100镑归还给Ⅰ的资本家,而资本家在1871年用这100镑又重新支付工人的劳动力,或者说,工人靠这100镑在1871年又重新得到他们自己在1870年生产的一部分消费资料。
当年消费的消费资料的一部分,实际上总是作为过去几年的商品储备而存在。
现在谈谈M100(Ⅰ)。Ⅰ的资本家阶级所消费的这一商品量的流通所必需的货币,象M100本身一样,应处于Ⅰ的资本家阶级手中。资本家以100镑货币形式预付自己的可变资本,他们是把这100镑货币作为资本,即作为自己的资本的一部分来预付的,除此而外,他们还应握有另一货币额,这一货币额用于他们的剩余产品的流通,也就是说,充当这一剩余产品在资本家阶级内部的分配(交换)的媒介,——充当剩余价值作为收入而花费的媒介。
M100的流通所必需的货币量不管是多少,例如,假定它等于X镑,显然,这种流通不仅仅包含M100存在于其实物形式上的商品,即消费资料的分配,或通过交换的分配。不仅形成M100的商品,而且这些商品借以流通的X镑货币也进行运动和换位。X镑货币虽然转入他人手里,但是它们并不消失。它们使握有M100商品量各个部分的人发生位置变换和转手,而在此以后就应停留在各不同点上。Ⅰ的每个资本家作为买者以怎样的程度从处于商品市场上的社会食品储备中取出M100的商品储备中他应得的部分,他就以怎样的程度把X镑的一定部分投入流通。但是,X镑中使他的剩余价值转化为硬币的那一部分,回到M100商品量中归他所有的那一部分的卖者即他本人的手中。换句话说,在过程结束时也和过程开始时一样,X镑又在Ⅰ的资本家阶级内部进行分配,而全部X镑货币量也和M100实现流通过程以前的情况一样,重新处在Ⅰ的整个资本家阶级手中。
例如,假定资本家A提供的M100中的价值部分等于5镑。他把5镑投入流通,购买M100/20=M5,因为他不是以自己的产品的实物形式,而是以M100的其他资本家生产者提供的商品形式消费自己的剩余价值。但是,他也出卖M5,或M100/20,从而从流通中取出5镑;换句话说,和在流通过程完成以前的情况一样,他手里仍握有他所应得的X镑中的5镑。
[162]资本家作为5镑剩余产品的买者,把5镑投入流通,他作为5镑剩余产品的卖者,又从流通中取出这5镑。他一只手拿出5镑,另一只手又取回这5镑。
使V100得以流通的货币,情况就不同了(对工人来说)。
从工人的角度来看,这一交易是WA―G―WP。这就是说,WA是工人出售的商品。他出售时投入流通的东西是商品,是他自己的劳动力,而不是货币。他通过这种出售把自己的劳动力转化为货币。他用这些货币购买WP,即形成他的消费资料的商品。这种商品的消费维持他的劳动力,因而使他能够重新出售劳动力。如果货币回到他那里,这不是通过WA―G―WP的流通,而是由于这种流通的重复。只有当资本家作为买者重新发挥主动性,重新购买劳动力的时候,对工人来说这种重复才会发生。(也就是W―G―W。)
对资本家来说,这种流通就是G―W―G;这就是说,他用货币购买劳动力,劳动力在生产过程中(因为我们把资本家对工人的关系只看作劳动力的买者和商品卖者的关系)转化为商品,而商品又转化为货币。货币的回流是由G―W―G流通进程本身造成的,而不是由流通的重复造成的。资本家反复进行的行为就是购买劳动力等等。工人总是只把自身出售给资本家,并不断向资本家购买商品,而资本家则以M100购买商品,并按同一价格出售商品。
由于5镑流回到资本家A(即他在M100的流通所必需的货币中占有的部分),5镑不转化为资本。资本家曾把5镑商品(M100的一部分)和镑货币,即10镑价值投入流通。但他从流通中只取出5镑价值。因此,如果这5镑货币没有回到他那里,那他就会失掉5镑;换句话说,如果他收不回任何东西,他就会失去M100商品价值中属于他的部分。
对资本家A来说,5镑具有回流的作用,因为他作为买者付出这5镑,而作为卖者又收回这5镑。实际上,他得到这5镑,是因为他出售5镑商品,而商品转化为货币决不会使货币确立为货币资本。例如,如果他先出售自己的商品而得到5镑,然后用这5镑购买商品,那么,这一交易不会引起任何变化。诚然,他用去了5镑,这5镑被花掉,不再回到他那里。这5镑货币应回到Ⅰ的其他资本家那里。
因此,M100的流通所必需的X镑回到Ⅰ的资本家阶级那里,这并不是作为资本预付的价值到它的起点的回流。这不过是M100的流通过程的所谓技术造成的结果,即下述情况的结果:Ⅰ的各资本家各自取得M100中归自己的部分,然后把他们重新相互还回的货币投入流通。
显然,M100的流通所必需的X镑的最大数量不能象V100那样等于100镑,因为在V100的场合有两种相对立的价值量:形成Ⅰ的以货币形式存在的可变资本部分的100镑货币,以及同这一货币量相交换的价值100镑的劳动力。因此,流通中存在的全部价值量等于200镑,即以货币形式存在的100镑(可变资本)加上以劳动力形式存在的100镑。实际上,借助于这100镑货币,价值200镑的商品实现了流通;这100镑先由Ⅰ的资本家用来购买100镑劳动力,然后由Ⅰ的工人用来购买100镑消费资料。
M100的情况则不同。第一,这里流通的总价值等于100镑消费资料,而不象上述情况那样是200镑(100镑劳动力+100镑消费资料)。同这100镑消费资料相对立的,不是购买这些消费资料的外部买者,这同100镑劳动力的情况不同,因为作为劳动力的买者同劳动力相对立的是资本家。Ⅰ的资本家们既是M100的买者,同时又是M100的卖者。如果我们甚至假定,他们都同时购买和出售这M100中归自己的部分,——在这种情况下,M100的流通就需要最大数量的货,因为每个货币单位只流通一次,——那么,同一些资本家部分无疑就总是同时作为买者和卖者而相互对立,并且他们的买卖以怎样的程度得到平衡,在这种周转中货币也就在怎样的程度上不再流通。
如果我们假定,X镑也是流通商品的价值,如100镑(对于V来说),那么,对于M100商品量的流通来说,50镑就够了。
例如,如果资本家A购买价值2+(1/2)镑的商品,那么,他就把同量货币投入流通。如果他出售5镑商品,那他就从流通中得到5镑。于是,2+(1/2)镑就回到他那里,并且再加上出售商品所得的2+(1/2)镑。如果他重新用2+(1/2)镑购买商品,那么,他在这个程序结束时就处于下述状态:他(1)从M100中取出自己的5镑剩余价值;(2)从流通中重新取出他为了得到5镑(商品)价值而投入流通的2+(1/2)镑货币。如果他花掉流回到他那里的2+(1/2)镑货币,——在他从M100中取出5镑以后,——那么,这就说明,他消费掉的东西多于他所生产出来的剩余价值,而如果他的消费多出2+(1/2)镑,那么,他拥有的货币相应地也就少2+(1/2)镑。另一方面,如果守财奴B只消费2+(1/2)镑,而把自己的全部产品卖给比如说我们的资本家A,并得5镑,那么,结局就会是这样的:他从M100中只取出自己的剩余价值的一半,使之并入自己的消费基金。在购买M100的这一部分时,他把2+(1/2)镑货币投入流通。在出售进入M100的5镑商品时,他从流通中得到5镑,其中2+(1/2)镑对他来说也就是流回到他那里的货币(但这是经过上述转化以后才流回的货币),2+(1/2)镑是他的产品在货币形式上的实现。他取出用作自己的消费基金的,比他可能取出的(比他提供给M100的)少2+(1/2)镑。可是,现在他拥有5镑,而不是2+(1/2)镑。如果考察一下Ⅰ的资本家阶级,那么,它同过去一样拥有50镑,这些货币在此以前只对M100的流通起作用,尽管这个量在这个阶级的单个组成部分,即在单个资本家之间以不同方式进行分配。资本家A得到的少2+(1/2)镑,而B多2+(1/2)镑。
资本家阶级每个代表所出售的商品的价值(指出售每人在M100中所占的部分)可以分解为
,也就是说,这些商品量等于X(
),因此每个资本家向另一个资本家购买消费资料,为此支付c+,然而Ⅰ的资本家阶级购买的消费资料的总价值,只等于它所生产的全部剩余价值=M100,并且按照我们的假定,各单个资本家作为M100的组成部分取出的那部分价值,只等于他自己所产生的剩余价值;也就是说,如果他生产出M100的1/20,那么这部分价值只是M100/20,即5镑。
实际上,等于V100的100镑商品已被工人吸收,工人为此已把100镑货币归还给资本家。同样,M100以及M100借以完成流通的镑货币在资本家之间进行分配。但是,C400用于买卖,并不在Ⅰ的内部进行分配和流通(因为Ⅰ应当用这C400重新购买自己的不变资本),而是[162]在Ⅰ和Ⅱ之间进行分配和流通。
首先我们应当谈谈Ⅱ。
V200(Ⅱ),即投入Ⅱ的可变资本,以货币形式预付给工人。因此,Ⅱ的资本家付给工人200镑(同Ⅰ的条件相同)。但是,Ⅱ的商品资本是由生产资料组成,而不是由消费资料组成,即不是由Ⅱ的工人借以实现自己的工资或收入的那些商品组成。相反,Ⅱ的工人用200镑向Ⅰ的资本家购买商品。于是,200镑商品,即C200(Ⅰ),就进入Ⅱ的工人的消费基金,而200镑货币就从Ⅱ的工人转到Ⅰ的资本家那里。Ⅰ的资本家用这200镑来补偿C400/2=C200,即自己一年中消费的不变资本的一半;也就是说,他们用这些货币向Ⅱ的资本家购买生产资料。于是(以可变资本的货币形式作为前提),Ⅱ的资本家一年中所耗费的可变资本又回到他们那里,而第Ⅰ部类的资本家以实物形式补偿了他们一年中所消费的不变资本的一半。
现在,Ⅰ的资本家只须以实物形式补偿他们一年中消费的生产资料的一半,其价值为200镑,C200(Ⅰ)。对他们来说,这些生产资料是以价值200镑的消费资料形式存在的,处于这种形式上的消费资料对他们来说是没有用的。另一方面,体现着Ⅱ的资本家的200镑剩余价值的剩余产品,即M200(Ⅱ),存在于生产资料的形式上,也就是说,存在于这样一种形式上,在这种形式上,Ⅱ的资本家不能消费自己的剩余产品,这一产品对他来说是没有用的。因此,C200(Ⅰ)和M200(Ⅱ)应当发生换位(交换)。这种换位是通过Ⅰ和Ⅱ之间的货币流通实现的。
现在,如果我们采用Ⅰ中的各种同样的前提,那么,Ⅱ的资本家自己应当把实现他们的剩余价值所必需的货币投入流通,而不是象Ⅰ中那样把等于剩余价值一半的货币量,而是把等于全部剩余价值的货币量投入流通。因为这里所说的不是Ⅱ的资本家,即M200的占有者本身之间的分配(从而流通)(而Ⅰ中的M100的情况却是如此),而是M200(Ⅱ)同C200(Ⅰ)之间的交换,也就是400镑商品量的流通。因此,如果Ⅱ的资本家把M200货币价值投入流通,那么这就是说,他们投入流通的货币只是400镑(C200+M200)流通商品价值的一半。他们用这一价值购买200镑消费资料;这样,Ⅰ中以消费资料形式存在的C200(Ⅰ)就转到Ⅱ的资本家那里,而200镑货币转到的资本家手里。Ⅰ的资本家从来不曾支配自己的全部产品C400。他们的C200(全部产品的一半)以生产资料的实物形式得到补偿。现在他们以货币形式掌握有全部产品中等于C200的另一半。可见,他们现在以货币形式,以货币资本形式拥有自己的不变资本的一半。但是,不变资本在这种形式上不可能发挥不变资本的作用。因此,它应当从货币形式转化为生产资料的实物形式。因此,资本家用这200镑货币购买生产资料,而这一生产资料从实物形式来看体现着M200(Ⅱ)。这样,Ⅰ的不变资本的另一半也以实物形式得到补偿。所以,Ⅰ的全部不变资本(C400)对Ⅰ来说现在重新以它能够重新作为不变资本发挥职能的实物形式而存在,以这样的形式再生产出来。另一方面,Ⅱ的资本家借以完成自己的剩余价值流通的200镑的货币形式,由于这种活动而从Ⅰ回到他们那里,因而在Ⅰ和Ⅱ完成交换以后,就象开始交换以前一样,重新由他们分配,用于下一年重新进行同一活动。
这种回流不过来源于这一技术因素:这400镑(C200+M200)的流通所必需的货币是由Ⅱ的资本家预付的,投入流通的,因此重新回到他们那里。这不是来源于资本周转的实际运动的因素,如作为V100(Ⅰ)或V200(Ⅱ)的预付形式的货币的回流。如果Ⅰ和Ⅱ的资本家把货币用作支付手段,并且支付期限相互抵销,那么,C200(Ⅰ)和M200(Ⅱ)之间的流通不需要分文。在这种情况下,货币始终是作为观念的计算货币进行流通(不管它们的虚拟符号是怎样的)。
另一方面,如果假定,Ⅱ用100镑购买消费资料,也就是说,预付Ⅰ和Ⅱ之间流通的一半,相反,Ⅰ却用200镑购买生产资料,那么,在这种情况下,Ⅰ就预付流通所必需的另一半货币。过程的经过就会是这样的:Ⅱ用100镑货币向Ⅰ购买消费资料,从而把C100转化为货币。Ⅰ用从Ⅱ那里得到的这100镑以及他所拥有的另外100镑(对他的不变资本的流通来说是闲置的货币资本)购买价值200镑的生产资料,也就是说,对于Ⅱ来说把它的M200转化为货币。现在Ⅱ拥有,(1)它自己最初用来向Ⅰ购买消费资料并由于向Ⅰ的资本家出售而已经流回的100镑货币;(2)Ⅰ的资本家所花费的和代表M100(Ⅱ)的货币实现即货币形式的100镑货币。但是,Ⅱ的资本家在这种货币形式上不能消费M100,正象他最初不能以生产资料的实物形式消费M100一样。因此,他必须用这些货币向Ⅰ购买消费资料。于是,C100(它以消费资料形式存在)转到Ⅱ那里,而通过这种活动,Ⅰ所预付的100镑货币,即他的不变资本的流通所必需的货币又流回到他那里。
最后,我们还应当考察C800(Ⅱ)的流通。
C800以生产资料的实物形式存在,这部分生产资料不进入流通,因而也不需要任何货币用于自己的流通。例如,煤的生产者不断以煤的形式消费自己的产品的一部分,租地农场主不断以种子、肥料、耕畜的形式消费自己的产品的一部分,机器制造业者不断消费自己的产品的一部分来补偿自己的机器,等等。
但是,C800的相当大一部分产品必须变换自己的居留地和占有者,从它作为产品被生产出来的地方转到它作为生产资料发挥职能的另一些地方。对于这种多方面的往返运动来说,必须要有货币流通,而Ⅱ的资本家阶级应当拥有这种流通所必需的货币,这是它的不变资本的货币形式,并且它应当自行预付这些货币。
[163]其次,必须指出,C800价值量不是同另一个800镑的数额相交换,——不论是以货币形式还是商品形式(如M200同C200交换那样),——而是在C800占有者自身之间进行交换(如M100那样)。因此,如果我们假定,这种货币流通所必需的量为400镑,那么这个数额完全够了。这400镑变换自己的位置,在完成自己的流通手段职能以后便作为不变资本的货币形式流回到自己的占有者那里,流回到原来的起点。例如,资本家A用20镑购买价值800/40镑=20镑的生产资料。因此,对他来说,全部活动如下:他出售自己的价值20镑的产品,买进他人的价值20镑的产品,从而借助于他人的产品以实物形式补偿了自己的不变资本,而他人的价值20镑的不变资本则由他的产品来补偿。为了完成这种活动,他把从流通过程中流回到他那里的20镑货币投入流通。象以前一样,他又掌握处于生产资料形式上的(他的不变资本的实物形式上的)20镑和处于货币形式上的20镑。如果就Ⅱ的整个资本家阶级来说,那么,它象以前一样,占有处于生产资料形式上的800镑和处于货币形式上的400镑,后者是这些生产资料在这个阶级内部(within the sphere of their own class)实现流通所必需的。
如果我们现在考察一下全部情况,那么,在把Ⅰ拥有100镑货币以供自己的不变资本C400实现流通的第二个假定考虑在内的条件下,就会得到如下结果:
|
(Ⅰ)消费资料。600镑产品价值。 |
250镑货币,这就是:
100镑——可变资本的货币形式,
50镑——收入的流通手段,以及
100镑——用于不变资本流通的货币形式,总共250镑。 |
然后:C400,Ⅰ的生产资料的实物形式。
R100(V100)——工人的消费基金。
R100(M100)——资本家的消费基金。
V100——价值100镑的劳动力(V100)。
以及:
|
(Ⅱ)生产资料。1200镑产品价值。 |
700镑货币:
200镑——可变资本的货币形式,
100镑——收入的流通手段,以及
400镑——不变资本的货币形式 |
然后:C800,生产资料的实物形式,
R200(V200)——工人的消费基金,
M200——资本家的消费基金,
V200——价值200镑的劳动力(V200)。
充当C800的流通媒介的400镑货币,同借助于这400镑实现流通的产品C800一样,决不进入消费者和生产者之间的流通。充当Ⅰ和Ⅱ之间的流通媒介的550镑,同流通货币总量950镑不相等,后者中的400镑只充当Ⅱ的不变资本各组成部分的交换媒介。
斯密认为,消费者和生产者之间的货币流通也包括生产者本身之间的流通,他的这种看法首先是建立在他的下述荒谬假定上的:不变资本等于零,因而600镑社会收入等于1800镑社会年产品价值。
但是,其次,这种看法是建立在对实际现象的不充分的和表面的分析上的,建立在这样一种一般假定上的:对一个人来说是资本的东西,对另一个人来说是收入,因而从社会的角度来看,产品的全部年价值归根到底分解为收入。
Ⅰ和Ⅱ中所使用的资本(不变资本和可变资本)只要一转化为产品,C400(Ⅰ)就以消费资料形式存在,也就是以这样的形式存在,在这种形式上它们已不能作为Ⅰ的不变资本发挥职能,因而不能作为部分社会不变资本发挥职能,而只是作为部分社会消费基金,因而作为部分社会收入实现时要消费的产品发挥职能。在这种形式上,成为Ⅰ的不变资本价值的只是这一产品的价值,而不是它的使用形式。
另一方面,(V200+M200)(Ⅱ)以生产资料形式,也就是以Ⅰ的生产资料形式而存在。就这些生产资料的价值来看,它们是剩余价值+工资,Ⅱ的资本家阶级和Ⅱ的工人阶级的收入,但是就其使用形式来看,它们只能作为部分社会不变资本发挥职能。
因此,C400(Ⅰ)(处于Ⅰ的产品,即消费资料形式上)同(V200+M200)(Ⅱ)(处于Ⅱ的产品,即生产资料形式上)的交换,对Ⅰ来说也就是不变资本价值,从而也就是一般资本价值从这一价值只作为收入消费的实物形式转化为能作为不变资本发挥职能的形式。对Ⅰ来说,这种转化就是它的部分产品转化为产品的物质生产要素。对Ⅱ来说,这种交换就是它的产品从生产要素形式转化为消费资料形式。因此,同一活动,对Ⅱ来说是它的收入的转化,对Ⅰ来说是资本的转化;但这种情况所以发生,只是由于Ⅰ的资本C以消费资料形式存在,而Ⅱ的收入以生产资料形式存在。
充当这种转化的媒介的货币流通,不是各资本相互交换的货币流通,而是生产资料同消费资料相互交换的货币流通。为此,在进行这种转化时,Ⅰ的不变资本价值取得这一不变资本价值转化为(Ⅱ)自身的生产要素所必需的货币形式,即货币。由此,Ⅱ的收入价值取得它们从生产资料形式转化为消费资料形式所必需的货币形式。(Ⅰ)的600镑产品的货币流通的一部分是在Ⅰ和Ⅱ之间进行的,而不是在Ⅰ的内部进行的。
相反,充当C800(Ⅱ)的媒介的货币流通,只是不变资本从一种形式到另一种形式的转化,也就是说,只是[164]生产消费者之间的交换,这种货币流通完全是在Ⅰ的流通或Ⅰ和Ⅱ之间的流通范围之外进行的,也就是说,是在为600镑产品即社会收入的消费充当媒介的那种流通的范围之外进行的。FN27
关于政治经济学家那种思想混乱而又狂妄到不加思索的特点,我们可以用大逻辑学家德斯杜特·德·特拉西为例来说明(参看第1卷第126页注30FN28)。这个人,甚至李嘉图也要认真对待,称他是“一位非常著名的作家”(李嘉图,同上,第333页)。
这位卓越的作家关于社会总再生产过程和总流通过程作了如下说明:
“有人问我,这些产业主怎么能赚取这样大的利润,他们能够从谁手里取得这样大的利润。我回答说:那是因为他们按高于生产成本的价格出卖他们生产的一切产品。
1.他们彼此出售用来满足他们需要的全部消费品;他们用自己的一部分利润来支付这些消费品。”(德斯杜特·德·特拉西《思想的要素》第4、5部分《论意志及其作用》1826年巴黎版第239页)
这就是说,资本家所以发财致富,第一,是因为他们在交换供他们私人消费的或者作为收入来消费的那部分剩余价值(“他们的一部分利润” )时,互相欺诈。所以,如果他们的这部分剩余价值或者利润=400镑,那么,只要每一个分享这400镑的人把自己那一部分,例如价值20镑的那部分卖给别人时贵25%,这400镑或许就会变成500镑了。但是,由于他们人人都这样做,每个人在把自己的那部分卖给别人时便都贵25%。结果就和互相按实际价值出售一样。他们不过是用500镑的货币量来使400镑的商品价值流通。这种方法与其说是致富的方法,不如说是变穷的方法,因为他们必须使总财产的一大部分非生产地保持无效的流通手段的形式。全部问题归结为:资本家阶级虽然把商品的价格在名义上全都提高了,但是仍然只有价值400镑的商品在他们之间分配,供他们私人消费;不过他们彼此都情愿借助于价值500镑的商品流通所需要的货币量使价值400镑的商品流通。
我们把下面这一点完全撇开不说:对于“他们的一部分利润”,从而一般来说,假定已经有代表利润的商品储备。问题正在于,这个利润是从哪里来的。至于这个利润流通所必需的货币量有多少,是一个非常次要的问题。产生一种假象,似乎这个代表利润的商品量之所以产生,是因为资本家不仅彼此出售这个商品量(这已经够美妙、够深刻的了),而且还因为彼此以过高的价格出售给对方。这样,我们现在就知道了资本家发财致富的一个源泉。它不外就是“罗伊特的检察官”49的秘密,此人向自己的农民解释说,贫穷的原因就是大贫乏。
2.这些资本家还把商品卖给
“他们支付薪金的和有闲资本家支付薪金的雇佣工人。通过这种途径〈也就是出售商品〉,他们从雇佣工人那里收回工人的全部工资,或许只有工人的少量积蓄除外”。
按照德斯杜特先生的说法,货币资本——资本家以这种形式把工资,或劳动力价值预付给工人——的回流,成了资本家发财致富的第二个源泉。因此,如果资本家阶级用比如说V100(或100镑)预付工人的工资,工人的劳动报酬,然后这些工人向同一个资本家阶级购买价值100镑的商品,从而,当资本家把价值100镑的商品卖给自己的工人时,他们作为劳动力的买者所预付的100镑,流回到他们手里,那么,他们就是这样发财致富的。但是从普通常识的观点来看,资本家是通过这个程序,再占有他在此以前已经拥有的100镑。他们用100镑货币购买劳动力。因此,在这个程序开始时,他们有100镑货币。他们所购买的劳动,为这100镑货币生产了价值100镑的商品。资本家通过把这100镑商品卖给工人,从工人那里收回了100镑货币。因此,在过程终结时似乎产生下述结果:在这种交易后也和交易前一样,资本家占有100镑货币,而工人则占有他们自己生产的100镑商品,这里看不出资本家怎么会因此发财致富。如果这100镑货币不流回到他们手中,那么,结局他们就是无代价地给予工人100镑商品,因为他们首先就要为工人的劳动把100镑货币支付给工人,其次就要把这个劳动的产物,即价值100镑的消费资料,无代价地给予工人。因此,这些货币流回,只能说明为什么资本家不会由于这种交易变得更穷,但是绝不能说明为什么他们会由此变得更富。
{当然,资本家是怎样占有这100镑货币的,工人为什么被迫用他们的劳动力来换取这100镑,这是另外一个问题。但是这个问题,对于象德斯杜特那样的有才华的思想家来说,是不言而喻的。}
[165]德斯杜特自己也不完全满意这样的解答。无论如何,他没有告诉我们,一个人怎么会由于先支出X镑货币额,然后再收进100镑货币额而致富,也就是说,怎么会由于X镑货币的回流而致富(这个回流,只是说明为什么X镑货币没有丢失,不过是右手拿出左手又拿进)。他告诉我们,资本家发财致富,
“因为他们按高于生产成本的价格出卖他们生产的一切产品”。
因此,资本家在他们和工人的交易中也一定会由于他们按更高的价格把产品卖给工人而致富。妙极了!
“他们支付工资……而这一切会通过所有这些人的支出而流回到他们手中。这些人支付给他们的……比他们〈资本家〉在工资上所花费的要多。”(第240页)
这样一来,例如是资本家把100镑(V100)支付给工人,然后他们按120镑的价格把工人自己的产品卖给工人,以致流回他们手中的不仅是100镑,而且还得到新加的20镑。这是不可能的,因为工人只能用他们以工资形式得到的货币来支付。如果他们从资本家那里得到100镑,那么,他们就只能用100镑向资本家购买,而不能用120镑购买。这就是说,这样做是占不到任何便宜的。但是资本家很狡猾。他们寻找另外的途径。工人用100镑向资本家购买商品,而实际只得到价值80镑的商品;因此,他们无疑被骗去了20镑,资本家也无疑增加了20镑财富,因为实际上他支付的劳动力报酬比它的价值低20%,或者说,是迂回地从名义工资中扣除了20%。
如果更仔细地考察问题,就会看到,如果资本家阶级最初只付给工人80镑工资,然后,为交换这80镑货币,实际向他们提供了价值80镑的商品,而不是去享受不必要的快乐——最初支付100镑工资,然后为交换这100镑只提供价值80镑的商品,那么资本家阶级也会达到同样的目的。就整个资本家阶级来说,这似乎是正常的途径,因为德斯杜特先生自己也说,工人阶级必须得到
“足够的工资”(第219页),
因为这个工资至少要足够维持他们的生存和劳动力,要足够
“维持……最节俭的生活”(第180页)。
如果工人不能得到“足够的工资”,用同一个德斯杜特的话来说,这就是
“产业的死亡”(第208页),
所以,看来这不象是资本家发财致富的手段。但是,不管资本家阶级支付给工人阶级的实际工资是多是少,它总有一定的价值,比如说,80镑。如果资本家阶级付给工人80镑,他们为交换这80镑,就要向工人提供价值80镑的商品。所以这80镑的回流并不能使资本家发财致富。如果资本家阶级付给工人100镑货币,那么,他们支付给工人的货币比工人的实际工资要多25%,但为交换这些货币而向工人提供的商品却少25%。
换句话说,资本家阶级从中取得自己的利润的基金,好象就是由于扣除正常工资,由于所支付的劳动力的报酬低于它的价值而形成的,也就是说,由于所支付的劳动力的报酬低于它作为雇佣工人劳动力的正常再生产所必需的生活资料的价值而形成的。因此,只要支付正常工资(照德斯杜特看来,应该这样),那么,产业资本家和“有闲资本家”本来能够生产的利润基金就根本不存在了。
这样,德斯杜特先生就必然把资本家阶级怎样发财致富的全部秘密归结为:由于扣除工资。他在第一项和第三项说到的剩余价值的其他基金,也就不存在了。因此,任何一个国家,如果把工人的货币工资降低到他们作为一个阶级生存所必需的消费资料的价值,那里也就不存在资本家的消费基金和积累基金,从而也就不存在资本家阶级的生活基金,也就不存在资本家阶级了。而在德斯杜特看来,一切文化悠久而富裕发达的国家,情形正是这样;在这里,
“在我们的古老的社会内,雇佣工人的生活基金几乎是一个常数”(第202页)。
即使在工资削减的情况下[beim Abbruch am lohn],资本家的发财致富,也不是由于他们先付给工人100镑货币,然后为交换这100镑货币而向工人提供80镑的商品,——这实际上是多用25%的货币额即用100镑使80镑的商品流通,——而是由于资本家除了从工人的产品中攫取剩余价值即代表剩余价值的那部分产品外,还攫取了工人应当以工资形式得到的那部分产品的25%。按照德斯杜特设想的这种荒谬的方法,资本家阶级是绝对得不到任何利益的。他们支付100镑作为工资(购买劳动力),然后为交换这100镑(从工人自己的产品中)还给工人80镑的商品价值。但是,在下一个交易中资本家阶级必须为同一程序再预付100镑。因此,他们只是做无益的游戏,即预付100镑货币,为交换这100镑却提供80镑的商品,而不是预付80镑货币,并为交换这80镑提供80镑的商品。这就是说,他们为了使自己的可变资本流通,不断地、无益地多预付25%的货币资本。这是一种非常独特的发财致富的方法。
3.最后,资本家阶级把产品卖给
“有闲资本家。这种资本家把还没有用来雇用自己直接剥削的雇佣工人的那一部分收入支付给他们。这种资本家每年得到的全部租金,就是通过这种或那种途径,再流回到资本家阶级手里的”(同上)。
前面我们已经看到,产业资本家
“用自己的一部分利润来支付……用来满足他们需要的全部消费基金”。
这样,假定他们的利润=200镑,或M200。他们把比如说100镑(或M100)用于他们的个人消费。但是其余的一半=100镑或M100,不属于他们,而属于有闲资本家,即地租所得者和放债取息的资本家。因此,他们必须把100镑货币支付给后面这两种人。我们现在假定,这两种人从这一笔钱中要用80镑供他们个人消费,用20镑来购买仆役等等。
[166]他们用80镑供个人消费。所以,他们用这80镑向产业资本家购买消费资料,因此,当产业资本家有价值80镑的产品脱手时,这80镑货币,或他们以地租、利息等形式支付给有闲资本家的100镑的4/5,流回到他们手中。
其次,有闲资本家直接雇用的雇佣工人,从他们的主人那里得到20镑工资。他们也用这些货币向产业资本家购买20镑的消费资料。因此,当产业资本家有价值20镑的产品脱手时,就有20镑货币,或他们作为地租、利息等等支付给有闲资本家的100镑货币的1/5,流回到他们手中。
交易结束时,产业资本家作为剩余价值付给有闲资本家的100镑货币,流回到他们手中;而他们的剩余产品的一半=M100(100镑),却从他们手中转移到有闲资本家的消费基金中去。
因此,设法把如何在有闲资本家和他们直接使用的仆役之间分配这100镑的问题引进来(考虑进去),对于我们这里讨论的问题,显然是完全多余的。事情很简单:他们的地租和利息,总之,剩余价值,M200中归他们所有的部分,是由产业资本家以100镑货币的形式支付给他们的。他们用这100镑直接地或间接地向产业资本家购买消费资料。因此,他们就把100镑货币还给产业资本家,并从产业资本家那里得到100镑的消费资料。
这样,产业资本家支付给有闲资本家的100镑货币,就又流回来,这种货币回流,真的象德斯杜特夸夸其谈的那样,是产业资本家发财致富的手段吗?在交易之前,他们有价值额200镑,其中100镑是货币形式,100镑是消费资料形式。在交易之后,他们只有原价值额的一半。他们又有了100镑货币,但却失去了100镑消费资料,这些消费资料已经转移到有闲资本家手中。所以,他们是失掉了100镑财富,而不是增加了100镑财富。如果他们不是迂回地先付出100镑货币,然后再把这100镑货币作为100镑消费资料的代价收回来,而是直接以他们产品的实物形式来支付地租、利息等等,那么,就不会有100镑货币从流通中流回到他们手中,因为他们没有把100镑货币投入流通。如果是用实物支付,事情就简单地表现为:在价值200镑的剩余产品中,他们自己保留一半,其余一半则毫无代价地支付给有闲资本家。甚至德斯杜特恐怕也不想把这说成是发财致富的手段。
产业资本家向有闲资本家借用土地和资本,为此要把一部分剩余价值以地租、利息等形式支付给他们。这样借的土地和资本,对产业资本家自然是有利可图的,因为这是一般产品的生产条件之一,也是构成剩余产品或代表剩余价值的那部分产品的生产条件之一。这种利润所以产生,是由于对所借土地和资本的使用,而不是由于为使用而支付的价格。相反地,这种价格会使利润总额减少。否则,就必须断言,如果产业资本家能够把剩余价值的另一半为自己保留下来,不给别人,他们将不是变富了,而是变穷了!(如果把流通现象,如货币的回流,同仅仅以这种流通为媒介的产品分配混为一谈,那就会在这个蠢驴那里到处出现极大的混乱。)
但是,同一个德斯杜特曾狡黠地指出:
“这些有闲者的收入是从哪里来的呢?不是来自租金吗?而租金是由那些使有闲者的资本发挥作用的人,也就是由那些用有闲者的基金雇用劳动,从而生产出比劳动本身的费用更多的产品的人,一句话,由产业家从自己的利润中支付给有闲者的。所以,要寻找一切财富的源泉,总是要追溯到这种人。实际上正是他们养活有闲者所雇用的雇佣工人。”(同上,第246页)
所以,租金等等的支付,现在是对产业家利润的削减。而在前面,这却是产业家发财致富的手段。但是,为什么呢?要注意,这是因为产业家不是两次支付这个100镑的租金(先是100镑货币,然后是100镑商品),而是只支付一次,也就是100镑货币,并为交换这些货币提供100镑商品,只要这一商品将用这100镑货币来支付;也就是说,他们原先支付给[有闲]资本家的100镑货币,由有闲资本家为交换100镑商品而又付给他们。
但是,德斯杜特总算还得到一种安慰。这些勇敢的产业家,换句话说产业骑士,对待那些有闲产业家,也和他们彼此相待或对待工人一样。他们卖给有闲资本家的一切商品,都要贵比如说25%。在这里,有两种可能。有闲者除了每年从产业家那里得到的100镑,或者还有别的货币资金,或者没有。在前一个场合,产业家就会按比如说120镑把价值100镑的商品出售给他们。所以,当出售商品时,流回到产业家那里的,不仅有他们支付给有闲者的100镑,而且还有对他们来说实际上是新价值的20镑。这时,又怎样计算呢?他们白白付出100镑的商品,因为作为商品的一部分代价而支付给他们的100镑,本来就是他们自己的货币。所以,他们自己的商品,是用他们自己的货币来支付的。这样,100镑是损失。但是,由于价格高于价值,他们此外多得了20镑。因此,20镑收益+100镑损失,仍有80镑损失,所以绝不是盈余,而总是亏损。对有闲者的欺骗减少了产业家的损失,但是并不能因此而使这种财富的损失变为发财致富的手段。而这个方法也不能长期有效,因为当有闲者每年只收入100镑货币时,他们不可能每年都付出120镑货币。
于是就有另外一种方法。产业家出售价值80镑的商品,来换取他们支付给有闲者的100镑货币。在这个场合,他们象以前一样,仍然要白白付出80镑。他们采取这种欺骗的方法,减轻了对有闲者的贡赋,但是贡赋依然存在。并且,按照价格取决于卖者的善良愿望这一理论,有闲者将来能为他们的土地和资本要求120镑的地租、利息等等,而不是象到目前为止那样只要求100镑。
[167]这个光辉的阐述和这位深刻的思想家是十分相称的。他一方面抄袭亚·斯密,说:
“劳动是一切财富的源泉”(第242页),
说产业家
“用他们的基金来支付劳动的报酬,而劳动把这种基金再生产出来,同时带来利润”(第246页),
而另一方面,又得出结论说,这些产业资本家
“养活其他一切(人),只有他们能够增加公共财富,创造我们的全部享受资料”(第242页),
不是工人养活资本家,而是资本家养活工人,而这是由于下面这个冠冕堂皇的理由,即支付给工人的货币,没有留在工人手中,而是当工人对自己所生产的商品进行支付时,不断回到资本家手中。
“工人只不过是这只手拿进来,那只手还回去。因此,必须把他们的消费看作是雇用他们的那些人的消费。”(第235页)
德斯杜特对货币流通怎样成为社会再生产和消费的媒介这个问题作了这样出色的叙述以后,接着又说:
“这就是财富这个永动机所完成的事情。虽然人们对这种运动很不理解〈确实如此!〉,但是把它称为流通是恰当的;因为它实际上是一种循环,并且总是回到它的起点。这个起点就是进行生产的地方。”(第239、240页)
德斯杜特,这位“非常著名的作家”,法国研究院院士,费拉得尔菲亚哲学协会会员,50并且在某种程度上其实是庸俗经济学家的一颗明星,最后要求读者赞赏他在说明社会过程的进程时那种惊人的清晰,赞赏他在这个问题上倾注的光辉。他甚至还这样谦虚地告诉读者,这全部光辉是从哪里来的。
“我希望,人们注意到,对我们财富的消费的这种考察和我们关于财富生产和分配所说的是多么一致;同时,这种考察把社会整个运动解释得多么清晰。这种一致和这种清晰是从哪里来的呢?来自我们遇到了真理。这使人想起了镜子的作用。如果我们站在适当的角度,事物就会清楚地并按照它们的正确比例反映出来。如果离得太近或太远,一切事物就会显得是混乱的和歪曲的。”(第242、243页)
资产阶级的呆痴,在这里暴露得淋漓尽致了!(自杀!)
(2)
(Ⅰ)消费资料:

(Ⅱ)生产资料:

(生活上必需的消费资料的〔生产资料〕)

(资本家的消费资料的〔生产资料〕)。
在(Ⅰ)项中,我们已考察运动的最简单的形式。现在,我们对其较复杂的形式进行考察,这可以使人们看到,构成Ⅰ和Ⅱ的工业部门不管如何形形色色、五花八门,这也不会改变问题的实质,虽然这种往返运动,以及作为这一运动的媒介的货币流通由此而复杂化了。
首先,我们在Ⅰ中把产品分为两种,从而分为两大生产领域,这就是:(1)工人必要消费资料的生产和(2)资本家的消费资料的生产。从我们在这里提出的目的来看,问题并不会由于下述情况而发生变化:在一定的限度内奢侈品可以进入工人阶级的消费,而另一方面,足够数量的生活必需品要进入资本家的消费,——这就是说,同种产品和同一生产部门的产品会出现在两个部类中。
我们先考察消费和再生产的货币流通媒介。
首先,我们看到在Ⅰ(a)中有300镑的产品充当工人的消费资料。在这个生产领域中,资本家预付50镑货币购买劳动力;工人用这50镑货币从这些资本家那里购买50镑的商品(=V50a)。这50镑只在Ⅰ(a)的资本家和工人之间进行流通。
其次,在Ⅰ(b)中,我们看到有300镑的产品充当资本家的消费资料。资本家预付50镑货币购买劳动力;工人用这50镑货币在Ⅰ(b)中向Ⅰ(a)购买50镑的商品(=M50Ⅰa)。Ⅰ(a)的资本家用这50镑货币购买Ⅰ(b)的产品(=V50b),即供他们消费的Ⅰ(b)类的消费资料。于是,他们用来支付工资的那笔货币资本同时流回到Ⅰ(b)的资本家手中。最后,M50Ⅰ(b)这笔基金是在这一类的资本家之间借助于25镑的货币流通而进行分配的。实际上,V50(Ⅰa)同M50(Ⅰa)相交换。
在Ⅰ中,经过这次周转以后,情况是这样的:Ⅰ(a)的资本家还拥有200镑的必要消费资料(C200a)和再度购买劳动力的50镑货币资本。Ⅰ(b)的资本家还拥有200镑的资本家的消费资料(C200b)、再度购买劳动力的50镑货币资本以及用于这些资本家的收入流通的25镑。C200(a)(Ⅰ)和C200(b)(Ⅰ)应当从产品形式重新转化为这种产品的生产资料。这是通过Ⅰ和Ⅱ之间的流通而实现的。
我们先考察Ⅱα+Ⅱαα,即Ⅱ中由工人消费资料的生产资料构成的那部分产品。
[168]在Ⅱ(αα)中,50镑货币被预付在劳动力上,Ⅱ(αα)的工人用这50镑货币向Ⅰ(a)购买相应数量的消费资料。
这样一来,现在,经过这一交易以后,Ⅰ(a)的不变资本就由C150a商品和50镑货币组成。Ⅰ的资本家用这50镑货币向Ⅱαα购买50镑的商品(=V50Ⅱ)。因此,用于可变资本流通的货币资本流回到资本家Ⅱ(αα)的手里,他们总是用它支付工资。
其次,Ⅱ(α)的资本家把50镑货币花费在劳动力上。工人用这50镑货币向Ⅰ(a)购买商品;Ⅰ(a)的资本家用这50镑货币向Ⅱ(αα)购买商品(=M50αα)。
所以,现在情况是这样。
Ⅱαα的资本家拥有100镑商品(=V50αα+M50αα)。他们还拥有200镑商品(C200),作为他们的可变资本货币形式的100镑货币以及他们的剩余价值借以实现的50镑货币。(他们的剩余价值的货币形式。)Ⅱα的资本家还拥有自己的全部产品,此外,他们还花费了50镑货币,这些货币现在处在Ⅱαα的资本家手中。Ⅱαα的资本家用这50镑货币向Ⅱα的资本家购买50镑商品,这样,Ⅱα的资本家的可变资本流通所必需的货币资本又流回到Ⅱα的资本家手里。
现在我们来看看Ⅱβ和Ⅱββ。
Ⅱββ把50镑货币预付在劳动力上。Ⅱββ的工人用这50镑货币向Ⅰ(a)购买50镑商品。Ⅰ(a)用这50镑向Ⅱ(αα)购买50镑商品。Ⅱαα用这50镑购买Ⅰ(b)的剩余价值50镑。Ⅰ(b)用这50镑向资本家Ⅱββ购买50镑商品,这样,Ⅱββ的资本家的可变资本流通所必需的货币资本又流回到资本家Ⅱββ的手里。
为更明白起见,我们把到此为止完成的一切交易按照我们所考察的顺序列表如下。
在Ⅰ内部的周转完成以后,所呈现出的情况是这样的:
(Ⅰ)工人的消费资料:
C200a(商品形式)+V50a(货币形式和劳动力形式)
+资本家的消费资料:
C200b(商品形式)+V50b(货币和劳动力)+用于收入流通的25镑。
因为这里所计算的125镑货币在Ⅰ的内部不断流通,所以我们在考察Ⅰ和Ⅱ之间的交换时,可以把其中的第一类归结为:
Ⅰ(a)工人的消费资料:C200a(商品形式)
+(b)资本家的消费资料:C200b(商品形式);
因为这是Ⅰ中同Ⅱ发生流通的唯一的商品。
现在先是Ⅰ(a)和Ⅱαα之间发生局部流通。
Ⅱαα先预付50镑购买劳动力。工人用这50镑货币向Ⅰ(a)购买50镑商品;Ⅰ(a)的资本家用这些货币向Ⅱαα购买50镑商品。这样一来,可变资本流通所必需的货币资本重新流回到资本家Ⅱαα的手里。
于是,我们得出:
(1)Ⅰ(a)和Ⅱαα之间以及Ⅱαα内部的第一次局部流通

这第一次流通的结果是:
Ⅰ(a)工人的消费资料:
C150a(商品形式)
+
C50(αα的生产资料形式=V50αα)
Ⅱ(αα)(a)的消费资料的直接生产资料:
C200αα(商品)+V50αα(货币)(劳动力)+M50αα(商品)。
[169]最好总是从作为流通起点的循环来开始描述序列。
这样,第一次局部流通的结果可以表示如下:
Ⅱ(αα)αα的生产资料。
C200αα(αα的商品)+V50αα(50货币+A)+M50αα(αα的商品)。
Ⅰ(a)工人的消费资料。
C50a(α)(αα的生产资料形式=V50Ⅱαα)
+
C150a(消费资料形式)。
(2)Ⅱα内部以及Ⅱα、Ⅰ(a)和Ⅱαα之间的第二次局部流通
Ⅱα的资本家投入50镑货币作为可变资本;工人用这50镑货币向Ⅰ(a)购买50镑商品。Ⅰ(a)的资本家用这些货币向Ⅱαα购买50镑生产资料,资本家Ⅱαα用这些货币来补偿生产资料,从Ⅱα购买生产资料。因此,Ⅱα的可变资本流通所必需的50镑货币资本又流回到Ⅱα的资本家手里。
因此,Ⅱαα内部产生以下变化:
第一,Ⅰ(a)用50镑货币向Ⅱαα购买生产资料。生产资料转到Ⅰ(a)那里。
在这次交易以后,Ⅱαα呈现以下状况:
Ⅱαα.C50αα(货币形式)+C150αα(αα的商品形式)+
V50αα(50镑货币+A)+M50αα(αα的商品)。
Ⅱαα用这50镑货币(C50αα)向Ⅱα购买生产资料。
所以,这次交易以后就得出:
Ⅱαα.C50αα(Ⅱα的生产资料形式)+其他等等。
由此,总运动的结果是:
Ⅱα.生产资料(α)。
C200α((α)的商品)+V50α(50镑货币+A)+M50α(α的商品)。
Ⅰ(a).(a)的消费资料。
C100a(Ⅱαα的生产资料形式)
+
C100a(消费资料形式)。
Ⅱαα.生产资料。
C50αα(Ⅱαα的生产资料)
+
C150αα(αα的商品形式)
+
V50αα(50镑货币+A)
+
M50αα(αα的商品)。
(3)Ⅱββ内部以及Ⅱββ和Ⅰ(a)、Ⅱαα、Ⅰ(b)之间的第三次局部流通
资本家Ⅱββ把50镑预付在劳动力上;工人用这50镑向Ⅰ(a)购买商品,Ⅰ(a)用这50镑向Ⅱαα购买生产资料,Ⅱαα用这50镑购买Ⅰ(b)的剩余产品,Ⅰ(b)用这50镑向Ⅱββ购买生产资料。这样一来,Ⅱββ的可变资本流通所必需的50镑货币资本又流回到Ⅱββ那里。
全部运动的结果:
Ⅱββ.ββ的生产资料。
C200ββ(ββ的生产资料)
+
V50ββ(50镑货币形式+A)
+
M50ββ(ββ的生产资料形式)。
Ⅰ(a).(a)的消费资料。
C150a(αα的生产资料形式)。
+
C50a(a的消费资料形式)。
Ⅱαα.αα的生产资料。
C50αα(Ⅱα的生产资料形式)
+
C150αα(αα的商品形式)
+
V50αα(50镑货币+A)
+
0。(因为M50αα花在Ⅰb的消费资料上。)
Ⅰ(b).(b)的消费资料。
C50b(Ⅱββ的生产资料形式)
+
C150b(b的消费资料)。
(4)Ⅱβ内部以及Ⅱβ和Ⅰ(a)、Ⅱαα、Ⅱα、Ⅰb、Ⅱββ之间的第四次局部流通
资本家Ⅱβ把50镑货币预付在劳动力上;工人用这些货币向Ⅰ(a)购买50镑的消费资料。Ⅰ(a)的资本家用这50镑货币向Ⅱαα购买50镑的生产资料。Ⅱαα的资本家用这些货币向Ⅱα购买50镑的生产资料。Ⅱα的资本家用这50镑货币向Ⅰ(b)购买消费资料。Ⅰ(b)的资本家用这50镑向Ⅱββ购买50镑生产资料。Ⅱββ的资本家用这50镑货币来补偿Ⅱβ的50镑生产资料。因此,Ⅱβ的可变资本流通所必需的50镑货币资本流回到Ⅱβ那里。
全部运动的结果是:
Ⅱβ.β的生产资料。
C200β+V50β(50镑货币+A)
+
M50β(β的生产资料形式)。
Ⅰ(a).a的消费资料。C200a(αα的生产资料形式)。
Ⅱαα.αα的生产资料。
C100αα(Ⅱα的生产资料形式)
+
C100αα(αα的生产资料形式)
+
V50αα(50镑货币+A)
+
0(50镑用作消费基金)。
Ⅱα.α的生产资料。
C200(α的生产资料)
+
V50α(50镑货币+A)
+
0。(即50镑用作消费基金。)
Ⅰ(b).b的消费资料。
C100b(ββ的生产资料形式)
+
C100b(b的消费资料形式)。
Ⅱββ.ββ的生产资料。
C50ββ(Ⅱβ的生产资料形式)
+
C150ββ(ββ的生产资料)
+
V50ββ(50镑货币+A)
+
M50ββ(ββ的生产资料)。
如果现在看一看到此为止得到的结果,那么:
Ⅰ(a).a的消费资料。
C200(αα的生产资料形式)
因此,Ⅰ(a)的全部不变资本完成了从(a)的消费资料形式到这些消费资料的生产资料,即到αα的生产资料的再转化。
投入不同生产领域Ⅰ和Ⅱ的全部可变资本(货币资本)花费在Ⅰ(a)的消费资料上。
这里不可能发生任何进一步的交换。
现在代替Ⅰ(a)的产品的是:
Ⅰ(a).在消费资料的生产中发挥职能的资本:
C200a(αα的生产资料形式)和劳动力+
|
 |
V50a(货币资本)
价值50镑的劳动力
|
因此,这个资本被再生产出来,重新开始自己的过程。
[170]如果我们进一步考察
Ⅱα和Ⅱαα,
那么首先存在:
Ⅱ(α).C200α(生产资料)+V50a(货币形式)
+价值50镑的劳动力
和

首先,由此可以得出结论:如果从资本分为各组成部分的假定出发,那么,C100αα由它本身的产品得到补偿,也就是说,不变资本C200αα的一半,象全部不变资本C200α一样,由这一资本本身的产品得到补偿。
如果我们从另一划分出发,那么,结果就不同于上述结果。下面还会看到,在作社会划分的情况下,这不会改变任何东西。
可能,C100αα部分作为生产资料进入C200α,也就是说,C200α的相应部分进入C200αα的生产资料。
例如,在这样的场合:C200α=C180α(α的生产资料)+C20α(αα的生产资料)
和C200αα=C120αα(α的生产资料形式)和C80αα(αα的生产资料形式)。
在这种场合,还会有C200α(Ⅱ)和C200αα(Ⅱ)之间的货币流通。
如果为了简便起见不考虑这一点,那么还会发生的就只是C200α(Ⅱ)内部的货币流通和C200αα(Ⅱ)内部的不以前一流通为转移的货币流通。如果我们假定,这两种流通各需100镑,那么,Ⅱα和Ⅱαα内部的全部再生产就表现为:
Ⅱ(α).C200α(α的生产资料形式)
和这一不变资本在Ⅱ(α)
的资本家之间进行流
通所必需的100镑 +V50α(50镑的货币形式)
+价值50镑的劳动力
和
|
Ⅱαα. |
 |
C200αα(作为α的生产资料的C100
和作为as的生产资料的C100+V50αα(50镑货币形式)
+不变资本200(αα)流通所必需的100镑 +价值50镑的劳动力。
|
因此,原有规模的再生产过程的全部条件得到更新。
如果把整个第Ⅱ类看作社会整体,那就可以看到:
Ⅱα+(αα).用于α的消费资料的生产资料生产的资本:
C400α+αα(生产资料)+V100α+αα(100镑货币形式)
+
不变资本流通所必需的200镑+价值100镑的劳动力。
因此:
Ⅱα.Ⅰ(a)的消费资料的生产资料的生产:
C400(生产资料) +V100(100镑货币形式)
+
生产资料流通所必需的200镑货币+价值100镑的劳动力。
现在只剩下一点我们还要加以考察:Ⅰ(b)和Ⅱβ+ββ之间的进一步的流通进程。
我们到此为止所得的结果是:
Ⅰ(b).b的消费资料。
C100b(ββ的生产资料形式)
+
C100b(b的消费资料形式)。
Ⅱββ.ββ的生产资料。
C50ββ(Ⅱβ的生产资料形式)
+
C150ββ(ββ的生产资料)
+
V50(50镑货币)
+M50ββ(ββ的生产资料)。
Ⅱβ.β的生产资料。
C200β(β的生产资料形式)
+
V50β(50镑货币形式)
+
M50β(β的生产资料形式)。
(5)Ⅱββ、Ⅰ(b)和Ⅱβ之间的第五次局部流通
Ⅱββ花50镑货币购买Ⅰ(b)的商品,Ⅰ(b)用这50镑货币向Ⅱββ购买50镑的生产资料,Ⅱββ用这50镑向Ⅱβ购买50镑的生产资料,Ⅱβ用这50镑购买Ⅰ(b)的50镑商品,Ⅰ(b)用50镑向Ⅱββ购买商品,因而Ⅱββ的货币又流回到自己手里。
由此得出如下结果(如果就各步骤进行考察):
Ⅱββ.ββ的生产资料。
C50ββ(Ⅱβ的生产资料形式)
+
C150ββ(ββ的生产资料)
+
V50(50镑货币)
+
M50ββ(ββ的生产资料)。

[171]于是得出下述结果:
Ⅰ(b).b的消费资料:
C150b(Ⅱββ的生产资料形式)
+
C50(b的消费资料形式)。
Ⅱββ.ββ的生产资料。
C50ββ(Ⅱβ的生产资料形式)
+
C150ββ(ββ的生产资料形式)
+
V50ββ(50镑货币形式)
+
M50ββ(50镑货币形式)。
下一个过程是在Ⅱββ和Ⅱββ之间进行的;Ⅱββ用50镑货币向Ⅱβ购买50镑商品,结果如下:
Ⅱββ.ββ的生产资料。
C100ββ(Ⅱβ的生产资料形式)
+
C150ββ(ββ的生产资料形式)
+
V50ββ(50镑货币形式)。
Ⅱβ.β的生产资料。
C200β(β的生产资料形式)
+
V50β(50镑货币形式)
+
M50β(50镑货币形式)。
然后,Ⅱβ处于主动地位,向Ⅰb购买50镑货币的商品,结果如下:
Ⅱβ.β的生产资料。
C200β(β的生产资料形式)
+
V50β(50镑货币形式)
+
0(因为50镑货币花在β的消费基金上)。
Ⅰ(b).b的消费资料。
C150b(Ⅱββ的生产资料形式)+C50(货币形式)。
最后,Ⅰ(b)用这50镑货币向Ⅱββ购买生产资料,结果如下:
Ⅰb.b的消费资料。
C200b(Ⅱββ的生产资料形式)。
Ⅱββ.ββ的生产资料。
C100ββ(Ⅱββ的生产资料形式)+C100ββ
+
剩余价值流通所必需的50镑货币形式。
如果不是假定,Ⅱββ预付Ⅱβ和ββ内部的剩余价值流通所必需的全部货币(例如,Ⅱββ预付25镑,Ⅱβ预付25镑),那么,这50镑不会流回到Ⅱββ那里,而是25镑流回到Ⅱββ那里,25镑流回到Ⅱβ那里。(5)的全部流通的总结果是:
Ⅰb.b的消费资料。
C200b(Ⅱββ的生产资料形式)。
Ⅱββ.ββ的生产资料。
C100ββ(Ⅱββ的生产资料形式)
+
C100ββ(ββ的生产资料)
+
V100ββ(货币形式)
+
剩余价值流通所必需的50镑。
Ⅱβ.β的生产资料。
C200β(β的生产资料形式)
+
V100ββ(货币形式)。
Ⅱ的资本完全得到更新,并且C200ββ(C100作为β的生产资料和C100作为ββ的生产资料)和C200β(β的生产资料形式)得到计算,这实际上就是为Ⅱα和Ⅱαα所假定的情况。
在这里也应当假定,这种不变资本的流通需要200镑,100镑用于Ⅱββ,100镑用于Ⅱβ。
因此,Ⅱβ和ββ进行再生产所必需的条件完全更新,情况归结如下:
Ⅱβ.Ⅰ(b)的消费资料的生产资料的生产:
C400(生产资料形式)
+
V100(100镑货币形式)
+
剩余价值流通所必需的50镑
+
它们流通所需要的200镑
+
价值100镑的劳动力
最后,如果我们看一下过程的总结果,那么它将是这样的。
生产基金:
C400(用于Ⅰ(a)的消费资料的生产资料的生产)
+
不变资本流通所必需的200镑
+
C400(用于Ⅰ(b)的消费资料的生产资料的生产)
+
这一不变资本流通所必需的200镑
+
C200镑(Ⅰa的消费资料生产中所使用的生产资料)
+
C200(Ⅰa的消费资料生产中所使用的生产资料)
+ + |
 |
V100(100镑货币资料)+V100(100镑货币资料)
价值100镑的劳动力+价值100镑的劳动力
|
或者:生产基金。
C1200(生产资料形式)
+
这些生产资料的流通所必需的400镑货币
+
V300(300镑货币资本)
+
价值300镑的劳动力
和:消费基金。
R600FN29
+
剩余价值和劳动力的生活资料的流通所必需的75镑货币
因此:
C1200
+
C1200的流通所必需的400镑货币
+
V300(劳动力)
+
劳动力的流通所必需的300镑(生产基金)
+
R600
+
剩余价值的流通所必需的75镑。
因此,正象以前那样,C1200+R600,要计算的只是劳动力和流通所必需的货币总额。
1800镑产品通过775镑货币总额进行流通,也就是:400镑——只用于不变资本的交换,其余375镑中,25镑只用于剩余价值的交换,而350镑则用于使不变资本、可变资本和剩余价值各得其所的流通。
[172]因此,1800镑商品是通过775镑货币来进行流通的。但是,只说到1800镑商品就不对了。在这里,我们还应当把300镑劳动力算进去。
我们再次专门考察一下货币运动。于是,总共1800+300=2100镑处于W(商品)和A(劳动力)形式上的价值。
首先,我们得出:
(A)Ⅰa、Ⅰb内部和Ⅰa和Ⅰb之间的第一次局部流通
(A)Ⅰa和Ⅰb:
(第167、168页FN30)
50镑
2次周转。价值100镑的商品得到实现。作为可变资本的货币形式的Ⅰ流通形式。可变资本、工人收入的货币形式。
可变资本的回流的货币形式。
50镑
3次周转。价值150镑的商品+A得到实现。
(Ⅰb)的可变资本、(Ⅰb)的工人收入、(Ⅰa)的资本家收入的货币形式,Ⅰb的可变资本的货币形式。
25镑是Ⅰb的资本家收入的货币形式,由他们预付。在他们之间进行分配。
这125镑只在Ⅰa和Ⅰb内部,即在Ⅰ的内部进行流通。
Ⅰ(a)=用货币预付的可变资本50镑购买A(劳动力),(Ⅰa)的工人用这50镑向Ⅰa的资本家购买消费资料,于是这些货币又流回到Ⅰa的资本家那里,等等。这50镑使100镑商品,即50镑劳动力和50镑商品实现流通。这些货币由于这种花费性质,同时就作为货币资本发挥职能,也就是作为可变资本的货币形式发挥职能,因此,它们不断重新流回到自己的起点。
资本家用50镑向工人购买劳动力,并把工人自己的价值50镑的产品部分卖给工人。由此就产生了这种货币资本的回流、产生了G100―A100―W′―G100这个运动。货币起初作为货币资本发挥职能,然后作为工人的流通手段发挥职能,这样就流回到起点。
起初,资本(可变资本)以货币形式被预付,然后收入以可变资本的回流的货币形这些货币形式被花费。
Ⅰ(b):以货币形式预付的(Ⅰb)的可变资本50镑。在这里,运动比在Ⅰa的场合更加复杂。50镑必须经过更多的交易,然后才能作为货币资本的形式返回到自己的起点。
50镑被预付在劳动力的报酬上。Ⅰb的工人阶级用50镑向Ⅰa购买消费资料,Ⅰa的资本家阶级用50镑向Ⅰb购买消费资料,这样,50镑货币资本就流回到Ⅰb那里。
这样,Ⅰb中起初把50镑预付在价值50镑的劳动力上:第一次交易。50镑购买50镑的商品(A)。可变资本的货币形式。
Ⅰb的工人用50镑购买Ⅰa的消费资料,商品:第二次交易。50镑起初是工资或劳动力价值的货币形式。
因而是工人收入的货币形式。被当作工人收入的流通手段用来购买Ⅰa的50镑商品。
因而,到此为止借助于50镑完成了100(Ⅰa的100镑劳动力+Ⅰb的100镑商品)的流通。
对Ⅰa的资本家来说,这50镑是他们的收入的货币形式M50(Ⅰa)),或他们的收入的流通手段。他们用这些货币购买(Ⅰb)的50镑商品。
因此,现在借助于50镑,价值150镑的商品完成了流通,这就是A50(Ⅰa),W50(Ⅰa),W50(Ⅰb)=150。
通过最后一次交易,这50镑作为可变资本的货币形式流回。
至于形式,那么50镑的镑起初是(Ⅰb)的可变资本的货币形式,(Ⅰb)的工人收入的流通手段。
对于(Ⅰa)的50镑商品来说,本身是购买手段,
因而是Ⅰa的资本家收入的货币形式,
对于Ⅰb的50镑商品来说,本身是购买手段,
由此,又成为(Ⅰb)的可变资本的货币形式。
25镑
用于Ⅰb的资本家收入的流通。
50镑的三次周旋促成它们本身的1次流通,由此它们作为可变资本的货币形式流回到Ⅰb那里。
[173](B)第二次局部流通。在Ⅱαα内部和Ⅱαα和Ⅰa之间进行
50镑
(1)Ⅱαα的可变资本的货币形式。
(2)Ⅱαα的工人收入的货币形式。
(3)Ⅰa的不变资本(1/4)的货币形式。
作为这种具有Ⅰa的生产资料形式的不变资本的货币形式而实现(或对Ⅱαα作为购买手段,对Ⅰa作为它的可变资本的货币形式发挥职能)。
(4)Ⅱαα的可变资本的回流的货币形式。
借助于这50镑实现了50镑的A(Ⅱαα),50镑的W(Ⅰa),50镑的W(Ⅱαα)
=150镑
在Ⅱαα中,作为可变资本(货币)预付的50镑被用来购买A(Ⅰa的消费资料的直接生产资料)。
(Ⅱαα)的工人用这些货币购买50镑商品。50镑是工人收入的货币形式。
这50镑现在是C50(Ⅰa)的货币形式,也就是Ⅰa的不变资本的1/4部分
的货币形式。
Ⅰa的资本家用这50镑货币购买(Ⅱαα)的50镑商品(生产资料)。这样,(Ⅱαα)的可变资本流通所必需的货币资本又流回到Ⅱαα的资本家那里。
(C)Ⅱα内部和Ⅱα、Ⅰa和Ⅱαα之间的第三次局部流通
50镑
(1)Ⅱα的可变资本的货币形式,
(2)Ⅱα的工人收入的货币形式,
(3)Ⅰa的不变资本(1/4)的货币形式,
(4)Ⅱαα的不变资本(1/4)的货币形式,
(5)Ⅱα的可变资本的回流的货币形式。
借助于50镑实现:
50镑的A(Ⅱα),
50镑的W(Ⅰa),
50镑的W(Ⅱαα),
50镑的W(Ⅱα)
=200镑
50镑作为Ⅱα的可变资本预付。工人用这50镑购买Ⅰa的50镑商品。Ⅰa用这些货币向Ⅱαα购买生产资料(50镑)。Ⅱαα的资本家用这些货币向Ⅱα购买50镑生产资料,用来进行补偿。于是,Ⅱα的资本家的可变资本流通所必需的50镑货币资本流回到Ⅱα的资本家那里。
(D)Ⅱββ内部和Ⅱββ、Ⅰa、Ⅱαα、Ⅰb和Ⅱββ之间的第四次局部流通
50镑
(1)Ⅱββ的可变资本的货币形式,
(2)Ⅱββ的工人收入的货币形式,
(3)Ⅰa的不变资本(1/4)的货币形式,
(4)Ⅱαα的资本家收入的货币形式,
(5)Ⅰb的不变资本(1/4)的货币形式,
(6)Ⅱββ可变资本的回流的货币形式。
借助于这50镑实现:
50镑的A(Ⅱββ),
50镑的W(Ⅰa),
50镑的W(Ⅱαα),
50镑的W(Ⅰb),
50镑的W(Ⅱββ)
=250镑
Ⅱββ的资本家预付50镑用作可变资本。工人用这50镑购买Ⅰa的50镑商品,Ⅰa用这些货币向Ⅱαα购买50镑生产资料,Ⅱαα用这些货币购买的Ⅰb的剩余产品,Ⅰb用这50镑向Ⅱββ购买生产资料。于是,Ⅱββ的资本家的可变资本流通所必需的50镑货币资本流回到Ⅱββ的资本家那里。
(E)Ⅱβ内部以及Ⅱβ和Ⅰa、Ⅱαα、Ⅱα、Ⅰb、Ⅱββ之间的第五次局部流通
50镑
(1)Ⅱβ的可变资本的货币形式,
(2)Ⅱβ的工人收入的货币形式,
(3)Ⅰa的不变资本(1/4)的货币形式,
(4)Ⅱαα的不变资本(1/4)的货币形式,
(5)Ⅱα的资本家收入的货币形式,
(6)Ⅰb的不变资本(1/4)的货币形式,
(7)Ⅱββ的不变资本(1/4)的货币形式。
(8)Ⅱβ的可变资本的回流的货币形式。
借助于这50镑实现:
50镑的A(Ⅱβ),
50镑的W(Ⅰa),
50镑的W(Ⅱαα),
50镑的W(Ⅱα),
50镑的W(Ⅰb),
50镑的W(Ⅱββ),
50镑的W(Ⅱβ)
=350镑
Ⅱβ的资本家预付50镑货币用作可变资本;工人用这50镑货币购买Ⅰa的50镑商品,Ⅰa的资本家用这些货币向Ⅱαα购买50镑生产资料,Ⅱαα用这些货币向Ⅱα购买50镑生产资料,Ⅱα用这些货币向Ⅰb购买50镑消费资料,Ⅰb用这些货币向Ⅱββ购买50镑生产资料,Ⅱββ向Ⅱβ购买50镑生产资料。于是,Ⅱβ的可变资本流通所必需的50镑货币资本流回到Ⅱβ那里。
概述
[174](F)第Ⅱ类(α和αα)内部的第六次局部流通
200镑
Ⅱα和Ⅱαα的不变资本的流通所必需的货币
200镑(Ⅱ(α和αα)的不变资本)的流通。
参看:第170页FN31
(G)Ⅱββ、Ⅰb和Ⅱβ之间的第七次局部流通
50镑
(1)Ⅱββ的剩余价值流通所必需的货币。
(2)(Ⅰb)的不变资本的货币形式。
(3)(Ⅱββ)的不变资本的货币形式。
(4)Ⅱβ的剩余价值的流通手段。
(5)(Ⅰb)的不变资本的货币形式。
(6)Ⅱββ的剩余价值的回流的货币形式。
借助于这50镑货币实现:
50镑的W(Ⅰb),
50镑的W(Ⅱββ),
50镑的W(Ⅱβ),
50镑的W(Ⅰb),
50镑的W(Ⅱββ)
=250镑。
假定Ⅱββ把全部货币投入自己的剩余价值的流通,即以货币形式投入50镑,用这些货币向Ⅰb购买消费资料;Ⅰb用这50镑向Ⅱββ购买生产资料,Ⅱββ用50镑向Ⅱβ购买生产资料。
Ⅱβ用这50镑向Ⅰb购买消费资料(实现自己的剩余价值);
Ⅰb用50镑向Ⅱββ购买生产资料,由此,这50镑又流回到Ⅱββ那里。
(H)Ⅱββ和Ⅱβ内部的第八次局部流通
200镑
Ⅱβ和Ⅱββ内部的不变资 本的流通所必需的货币。
Ⅱββ和Ⅱβ内部的不变资本的流通所必需的货币。
[(C)]对以上所述的几点说明
(a)作为可变资本投入的那些货币的回流
首先,货币作为可变资本的货币形式,同时作为工人收入的流通手段,具有极重要的作用。
资本家把货币支付给工人,后者用这些货币向资本家购买商品。这样,资本家又得到他重新用来购买劳动力等等的货币。但是,这个过程只直接发生在真正生产工人消费资料的工业部门。(在这里,即使有商人介入,也不会发生任何变化。零售商从生产者那里得到商品,这时,生产者不是自己,而是通过零售商把商品卖给工人;零售商要把从工人那里这样得到的货币还给生产者。)
一个工业部门离工人消费资料(一般说来,也就是必要的生活资料)的生产越远,花在工资上的货币回到它们的起点的直接回流就越慢(参看:(E)第五次局部流通,第173页FN32;从(A)开始,第172页FN33)。
这里总是假定,同量货币,例如花在工资上的同量货币,会作为可变资本的货币形式流回到自己的起点。实际上,这种情况当然不会发生,或者说,只是偶然的现象。我们所说的回流,只是指一定量价值作为货币流回到自己的起点,而价值回流所采取的货币单位的个性如何,是完全无关紧要的。至于我们所说的货币流通,则直接是指各种流通行为,或同一货币单位的换位。
同时,这里涉及的不是个别资本家,而是可变资本总量——因为可变资本起初以货币形式预付,并且总是一再要这样预付。
回流也象开支一样,要不断地进行。可见,由于这种回流是以一系列流通行为作媒介,而流通行为表现了再生产过程和消费过程的现实运动,也就是说,既表现了从产品中扣除的那部分资本的补偿,又表现了进入个人消费基金的另一部分产品的补偿,——所以,总的说来,作为可变资本投入的货币中的相当大一部分,应当经历与图表中所描述的周转相一致的道路。
由此可见,起初作为可变资本的货币形式而预付或支付的货币的回流运动,包含或可能包含[175]这些货币本身的一系列周转。
至于社会资本各独立部分的周转期的区别,以及由此产生的各部门为推动同量劳动力而应当预付的货币资本量的区别,在这里就不进行考察了。虽然在一个部门中例如一年才周转一次,而在另一个部门中一次周转只需几个星期,等等,然而,不论在前一种场合或后一种场合,作为可变资本而预付的货币资本会被工人当作他们的收入的流通手段立即投入流通,例如每星期投入一次。对于可变资本总量的流通来说,所需要的是完全一定的货币量。因此,如果在某个部门——由于它的周转期较长——投入流通的是这个总量的较大的、倍加的部分,那么在其他部门就是较小的部分。因此,那里完成回流运动的货币部分比这里要大。
(b)作为可变资本投入形式的货币的回流和执行剩余价值、资本家收入的流通手段职能的货币的回流之间的区别
再生产过程,从它的总运动来看,不仅为生产基金提供部分产品(作为生产资本物质要素),不仅再生产劳动力,重新使它并入资本,而且使发挥职能的货币重新分开,一部分充当资本的货币形式,一部分充当剩余价值的流通手段(货币形式)。(资本家的收入。)
但整个说来,起初作为收入的流通手段投入流通或花掉的货币的回流,不同于作为可变资本(资本一般)的货币形式而预付的货币的回流。
以这后一种形式预付的货币,由于它们本身被花费而回流。它们被资本家转化为劳动力,而工人把它们投入商品流通,对工人来说,它们是工人工资或工人收入的货币形式。但是,劳动力价值构成工人所生产的商品价值的一部分。因此,通过这种商品的出售,资本家起初支付给工人的并被工人投入流通的货币(或其数额等于劳动力价值的那部分流通货币),重新流回来,完成流通并回到自己的起点:在工人表现为自己的商品的买者的场合是直接流回,在一切其他场合是间接流回。
至于为使剩余价值转化为货币[Versilberung],或使剩余价值进行流通而投入流通的那部分货币,情况就不同了。资本家——而用于资本家阶级的收入流通的货币,只能由资本家自己投入流通——花费货币购买自己的消费资料,他的这一行为本身不能保证这些货币流回到他自己的口袋里。相反,这种行为的唯一内容就是,资本家以货币形式付出价值,而以消费资料形式取回他要消费的价值(这种价值进入他的个人消费)。于是,这种价值被资本家用尽。它所以流回到资本家那里——正象这里所假定的,每个资本家只消费自己的剩余价值——是因为资本家通过出售自己的商品实现这种商品中所包含的剩余价值。他的商品包含有剩余价值,也就是说,剩余价值通过出售商品而得到实现,这同资本家花费货币购买消费资料绝对没有任何关系,并不是这一行为的结果。实际上,他只是预料到要出售这种剩余价值,因而花费了相当于剩余价值的货币量。这些货币在他出售商品以后又流回到他那里。
在实际当中看起来情况并不是这样,因为剩余价值中只有一部分属于从工人身上榨取剩余价值的资本家本人,而有一部分应由资本家让出去,例如向土地所有者支付地租,向贷出货币的资本家支付利息,向国家缴税(贡赋)。工业资本家是以货币进行这些支付的。资本家不是用一部分实物形式的剩余产品来偿付这些款额,而是用货币支出这一产品价值的一部分,即归他所有的一部分。因此,这些货币总是由这个工业资本家阶级投入流通,但不是作为商品的购买手段或支付手段,而是为了同其他共同占有剩余价值的人清帐。后者又把货币投入流通购买商品。这样一来,货币又流回到工业资本家那里,因为工业资本家不是支付两次:先是以货币支付,然后以商品支付。因此,剩余价值流通所必需的货币的一部分总是处在上述资本家的同伙手里,并且,由于他们购买资本家的商品而流回到资本家那里。在这里,工业资本家从他们的同伙那里得到的货币,是他们用来向他们的同伙支付租金等等的货币。
(c)货币作为购买手段(或支付手段)和作为资本或收入的货币形式所完成的活动
例如,拿第173页FN34上的流通(E)来说。
在这里,同量货币50镑依次表现为Ⅱβ的可变资本的货币形式(即货币资本),然后是工人收入的货币形式,或工人收入的流通手段(收入的货币形式),Ⅰa的不变资本的货币形式(即货币资本),Ⅱαα的不变资本的货币形式(即货币资本),Ⅱα的资本家收入的货币形式(收入的货币形式),Ⅰb的不变资本的货币形式(即货币资本),Ⅱββ的不变资本的货币形式(即货币资本),最后,表现为Ⅱβ的可变资本的回流的货币形式(即货币资本)。
在这里,货币起初作为Ⅱβ的可变资本的货币形式而存在,这不过表明,Ⅱβ的总资本中应转化为劳动力的那部分价值,作为货币掌握在Ⅱβ的资本家阶级的手里。Ⅱβ的资本家阶级花费这部分价值时,也就把它转化为劳动力。Ⅱβ的总资本中的这部分价值就不再作为货币资本即可变资本的货币形式而存在,相反,现在它具有这样的形式,在这种形式上它构成生产资本的组成部分。因此,它只有在Ⅱβ的资本家手里才是可变资本的货币形式,表现为应执行一定职能的,即应转化为劳动力的贮藏货币储备。它所以重新表现为同一可变资本的回流的货币形式,只是因为它从商品资本形式转化为货币资本形式,并应从这后一种形式重新转化为劳动力。同一些货币(50镑)转到别的位置上,即转入工人手里后,便成了工人收入的货币形式,即劳动力的价值或工人劳动的已实现的价格的货币形式,——但是,只有当工人还没有花掉这些货币时,它们才是货币形式。工人一旦花掉这些货币,它们便转化为工人的生活资料,成为资本家Ⅰa手中的不变资本的货币形式,即货币资本;这就是说,他们的资本的不变价值部分从商品形式过渡到(转化为)货币形式。这部分价值应当从这种货币形式重新转化为自己的不变资本的实物形式,即转化为生产资料。它只要还处在资本家的手里,就是不变资本的货币形式,等等。
同量货币只要还在流通,就决不会取得它在自己的道路上所执行的这些不同职能。它只有在不进行流通的时候,才具有这些职能。货币只有作为发挥职能的流通手段,才进入流通本身。(货币作为支付手段流通时,也是流通中的货币量的一部分,不过这种支付手段的职能我们在这里不来考察。)
因此,货币——作为可变资本、不变资本、收入等等的货币形式——代表不同状态的次数要多于它们的周转即流通过程的次数,在这些过程中,它们改换占有者,而它们的占有者则购买商品或为商品而支付。因为它们在起点和终点应当停留在这样的位置上:它们表现为资本或收入的货币形式,不是在实际上执行流通手段或支付手段的职能。例如,在流通(E)中,(1)它们是应投入的可变资本的货币形式。货币只要停留在这种状况,它们就不流通。而且(2)它们会回到同一位置和取得同一规定性,也就是说,不去执行其他职能,而是再次完成同一职能。因此,我们发现它们有八种形式(其中有两种形式相同),而它们只完成六次周转。
另一方面,货币只要实际上进入流通,就始终只发挥流通手段(以及支付手段)的作用。(货币只用作汇票,而不充当商品的流通手段或支付手段的那些职能,我们在这里还没有涉及。)
[176](d)预付在劳动力报酬上的货币部分地也执行不变资本和剩余价值等等的流通手段的职能,但一部分不变资本会借助于完全不以前一个货币量为转移的货币量进行流通
我们再考察一下这个过程是怎样进行的:
(Ⅰ)第一类。消费资料:

(Ⅱ)第二类:

整个说来,在Ⅰ和Ⅱ——在所有部门中——300镑货币花在劳动力上;工人用这300镑购买自己那份社会消费资料。于是,Ⅰa的价值等于300镑的全部产品就转化为货币。显然,Ⅰa的资本家本身花在工资上的那50镑货币,由于他们把自己的50镑商品出售给自己的工人,便作为他们的可变资本的货币形式重新流回到他们那里。因此,只要300镑被用来购买或支付劳动力,而工人用这300镑货币购买生活资料,情况就会是这样的(W——商品:有关工业部门的产品):
(Ⅰ)第一类。消费资料:

(Ⅱ)第二类。生产资料:

至于Ⅰ(a)的资本家,那么他们的全部产品现在都以300镑的货币形式存在。其中50镑是可变资本回流的货币形式;因此,它们处在这部分资本可以重新开始再生产过程的形式上。但是,其他部分产品必须完成从这种货币形式的再转化。
M50a现在等于50镑货币,处在Ⅰ(a)的资本家可以使之转化为剩余产品,转化为自身消费资料的形式上;他们向Ⅰ(b)购买50镑(W);于是,他们的可变资本的货币形式转到Ⅰ(b)那里。(他们的这部分资本以其重新开始过程所应具备的形式再生产出来。)Ⅰ(b)的这50镑商品进入Ⅰ(a)的资本家的消费基金,因而作为他们的商品资本的组成部分消失。
但是,第二,Ⅰ(a)的资本家应当把以货币形式(200镑)存在的C200a重新转化为自己的生产资料形式(来自Ⅱαα)。因此,他们向Ⅱαα购买200镑商品。Ⅱαα[部类]应当用这些货币首先补偿的,是它的可变资本(即V50αα),后者从商品转化为50镑货币。其次,如果我们假定,M50αα已转化为货币和C100αα=C200αα/2,那么现在情况显然就会是这样的(A——劳动力):
(Ⅰ)第一类。消费资料:

(Ⅱ)第二类。生产资料:

如果考察一下Ⅰa类,那么,第一,资本完全被再生产出来。C200a以新的生产资料形式存在,V50α又具有货币形式,以便重新把A50并入自身。
最后,M50a。这一剩余价值从货币形式转化为消费基金。这样一来,一方面,资本C200a以生产资料形式,V50a以货币形式全部再生产出来;同时,A50用生活资料再生产出自身,而资本家用消费基金再生产出自身。因此,Ⅰ(a)类在流通过程中不再起作用,因而不再列入图表。
Ⅱαα类把M50αα从货币形式转化为Ⅰ(b)的消费资料。因此,在这里,C200b(W)转化为C150b(W)+C50b(货币);其次,至于M50b(W),那么它一开始就被用作Ⅰ(b)的资本家本身的消费基金。
其次,Ⅱαα类把C100αα从货币形式转化为(Ⅱa)的生产资料;由此,V50α以及M50α又转化为货币。
因此,在这些交易结束时,我们看到:
Ⅰ类。消费资料

Ⅱ类。生产资料

至于Ⅱαα类,那么,C200有一半是处在自己的重新再生产出来的形式C100a(W)上。应考察的只是另一半。至于其他部分,V+M,那么,它们之中的前一半重新转化为自己的货币形式,而靠Ⅰ(a)的生活资料维持自身的A重新作为购买客体同[V]相对立。最后,M50转化为Ⅰ(b)的消费基金。因此,这后两部分不再列入下一图表。
至于Ⅱ(α),那么,V从商品形式重新转化为货币形式;它借助于M50(货币形式)购买Ⅰ(b)的商品,这种商品变成它的消费基金。因此,现在Ⅰ(b)中是:C100b(W)+C50b(货币)+C50b(货币)+其他等等。
因此,在这些交易结束时,我们看到:
Ⅰ类。消费资料

Ⅱ类。生产资料

[177]Ⅰ(b)类把C100(货币)转化为Ⅱββ的生产资料,于是就得到:
Ⅱββ类用这50镑货币购买Ⅱβ的50镑生产资料。于是,V50β完成从商品形式到货币形式的再转化,也就是到再生产形式上的可变资本价值的再转化。
Ⅰ类。消费资料

Ⅱ类。生产资料

这样,Ⅱββ和Ⅱβ的情况是:

现在在所有类中,不论在Ⅰ(a)和Ⅰ(b)中,或在Ⅱαα和Ⅱα以及Ⅱββ和Ⅱβ中,可变资本的货币形式已经恢复。它到处都完成了到自身的起点的回流。
因此就得出:
Ⅰ类。消费资料

Ⅱ类。生产资料

在Ⅰ类(Ⅰa和Ⅰb)、(Ⅱαα和Ⅱα)以及((Ⅱββ和Ⅱβ)中,起初作为可变资本的货币形式预付300镑货币,后来被工人当作购买手段,工人收入的流通手段花费在必要生活资料上,于是这些货币到处都作为可变资本的货币形式流回到自己的起点,然后再重新开始自己的运动。
Ⅰa的300镑资本总产品,从社会的观点来看,等于工人的消费基金(收入)。因此,它全部被工人购买,即转化为货币(而且,工人例如从这些货币中拿出X镑付房租等等,以及这些货币用于工人的年消费资料中不是由他自己消费的部分上,或用于服务等等,这是无关紧要的)。
Ⅰ(a)的资本家阶级本身预付50镑用作可变资本。这些货币由于资本家把他们的产品的1/6(=50镑)出售给自己的工人而又直接流回到资本家那里。这50镑应从下一步的计算中除去。因此,现在只剩下250镑货币。
从物质方面来看,Ⅰ(a)的产品等于工人的消费基金,而按价值来说,等于一个社会支付的工资额(产品同它直接相交换),所以很清楚,花在工资上的货币(或代表社会可变资本的货币)同时就是Ca+Ma,即Ⅰ(a)的产品中代表Ⅰ(a)资本家阶级的不变资本和剩余价值的那一部分的货币形式,因而进一步又是这个部分的流通手段。Ⅰ(a)必须花费200镑以实物形式来补偿Ca,花费50镑以消费资料形式来实现Ma。因此,作为工人的流通手段从(b),Ⅱ(α,αα,β,ββ)类转到Ⅰ(a)那里的货币,首先必须回到Ⅰ(b)和Ⅱαα那里;后一[类]为Ⅰ(a)直接提供生产资料。
Ⅰb用50镑补偿自己的可变资本,因此应从进一步的计算中除去。同样,Ⅱαα也用50镑补偿自己的可变资本,因而同样也应从进一步的计算中除去。
现在,150镑货币处在Ⅱαα类手中(扣除用作可变资本的50镑)。其中50镑用于把剩余价值转化为货币,花在Ⅰ(b)的消费资料上。于是,Ⅰ(b)的等于50镑的产品部分转化为货币。Ⅰa用其余的100镑向Ⅱα购买生产资料。因此,可变资本的货币形式又流回到Ⅱα那里,它的剩余价值也转化为货币=M50α。Ⅱα把这50镑花在Ⅰ(b)的消费资料上;于是,Ⅰb的等于C50的第二部分产品转化为货币。如果我们撇开Ⅰ(a)和Ⅱαα的不变资本,那么它们的流通也就结束。
现在,除了剩余价值M50b以外,Ⅰ(b)有一半产品已经转化为货币。它应当全部转化为货币,因为除了M50(Ⅰb)以外,它全部进入Ⅰ(a)和Ⅱα、Ⅱαα、Ⅱββ和Ⅱβ的各资本家阶级的消费,实际上构成资本家阶级的消费基金。但是,扣除作为Ⅰb的可变资本的再生产形式的V50(Ⅰb)以后,剩下的Cb应当重新转化为生产资料。因此,Ⅰ(b)用100镑货币向Ⅱββ购买生产资料。于是,Vββ以货币形式被再生产出来,而C50(Ⅱββ)=C200(Ⅱββ)/4转化为货币。Ⅱββ用这50镑货币向Ⅱββ购买50镑的生产资料,这样,Ⅱβ的可变资本的货币形式又流回到Ⅱβ那里。
花在工资上的300镑的运动到此结束。
于是实现了下述过程:
(1)各个类首先购买价值300镑的劳动力(=A的300镑价值);
(2)Ⅰ(a)的全部产品转化为货币(其中的1/6即50镑,仅仅是Ⅰ(a)本身所支付的工资的回流)(=Ⅰa的300镑商品);
(3)Ⅰ(a)的50镑剩余价值在Ⅰ(b)的商品=50镑上得到实现(Ⅰb的可变资本的回流)和Ⅱαα的200镑商品(=250镑商品:Ⅰb的50镑+Ⅱαα的200镑);
(4)50镑V流回到Ⅱαα那里,M50(货币)花在W(Ⅰb)=50镑上,100镑花在Ⅱα的等于100镑的产品(=150镑:Ⅰb的50镑+Ⅱa的100镑)上;
(5)50镑V流回到Ⅱα那里,M50(货币)花费在W(Ⅰb)=50镑(=Ⅰb的50镑)上;
(6)Ⅰ(b)把100镑重新转化为生产资料,向Ⅱββ购买它们(=ββ的100镑商品)。
于是,50镑V又流回到Ⅱββ那里,而Ⅱββ把它转化为Ⅱβ的生产资料(=β的50镑商品)。
于是,Ⅱβ的可变资本又流回到Ⅱβ那里。
| (
|
=Wββ的100镑
=Wβ的50镑 |
) |
=150镑 |
300镑至此完成自己的运动,又可以重新开始这一运动。
它们实现了Ⅰ(a)的300镑,即V50(Wαα),M50(Wαα),C100(Wαα),V50(Wα),M50(Wα),V50(Wb),C100(Wb),C50(Wββ),V50(Wββ)和V50(Wβ)。
Ⅰ(a)的300镑。其中扣除:
Ⅰa的50镑,
Ⅰb的50镑(V50Ⅰb);
剩下200镑。这首先是200镑W(αα)=V50αα+M50αα+C100αα。其中扣除:
Ⅱαα的50镑货币(V50),
Ⅰb的50镑;
剩下100镑。这首先是100镑W(α)=V50α+M50α。其中扣除:
Ⅱα的50镑货币,
Ⅰb的50镑货币;
剩下的是0。
[178]工资共支出300镑。
其中:|
+ |
Ⅰ(a)、Ⅱαα和Ⅱα的150镑;
Ⅰ(b)、Ⅱββ和Ⅱβ的150镑。 |
=300镑 |
这300镑把(Ⅰa)的等于C200a+V50a+M50a的总产品转化为货币形式。
所有六个类花在工资上的货币直接流回到Ⅰ(a)。其中有1/6等于V50a,直接花费在Ⅰ(a)中,并从这里重新流回。
因此很清楚,起初构成所有六个类的可变资本的货币形式的货币,在经过第一次流通以后,不仅首先应成为Ⅰ(a)的可变资本的,而且还应成为其不变资本和剩余价值的货币形式,然后成为其流通手段。(因为Ⅰa的产品=300镑=C200a+V50a+M50a。)
Ⅰ(a)本身花在工资上的50镑货币作为V50a的货币形式从这里重新直接流回,因此对整个流通来说可不再加以计算。因此在进一步考察流通时只须考虑250镑。
但应当指出,Ⅰ(a)、Ⅱα和Ⅱαα只有150镑花在工资上。因此,作为可变资本的货币形式应当由这些类重新吸收的(换句话说,应流回到它们那里的)也只有150镑。但是,50镑=150/3,或1/3,已经完成转到它们那里的回流。因此,只有(2/3)×150=100还能被Ⅱαα和Ⅱα类吸收,而其余150镑应流回到Ⅰ(b)、Ⅱββ和Ⅱβ那里。
任何货币都不能从现在代表社会总工资的Ⅰ(a)类那里直接流回到Ⅱββ和Ⅱββ那里,因为Ⅰ(a)没有什么东西要向Ⅱββ和Ⅱβ购买。
货币所以能从Ⅰ(a)那里直接流回到Ⅰ(b)那里,只是因为Ⅰ(b)的产品是资本家的消费基金;Ⅰ和Ⅱ的所有各个类的资本家通过这些产品实现着自己的剩余价值,正象所有各个类的工人都在Ⅰ(a)的消费基金中实现自己的价值一样。
因此,50镑货币完成到Ⅰ(b)的回流——作为M50a的流通手段——并在这里把V50b转化为货币形式。在这里,它们就是可变资本的完成回流的货币形式;因此,在这种职能中,它们被Ⅰ(b)类吸收,不再继续流通。只有200镑(=C200a)仍处于流通中。Ⅱββ和Ⅱβ类为预付的工资还应补偿的100镑货币,只能作为这些领域的剩余价值的货币形式从Ⅱαα和Ⅱα那里流回到这些类那里。
(这里假定V50b=M50;因此,到M50a的货币形式的转化同货币V50b相抵销。现在只可能有其他两种情形:V50b∨M50a。这一点以后再研究。)
总之,现在200镑是C200a的货币形式。它们只有通过购买Ⅱαα类的商品才能转化为实物形式。这就是说,这200镑=C100αα+V50αα+M50αα。这里假定,300(αα)的产品的1/3即C100,能重新进入原有形式的再生产过程。等于C100αα的其他1/3必须靠Ⅱα的产品来补偿。因此,2/3的产品应出售给Ⅰα类。1/3以自己的实物形式留在Ⅱ内(在这里重新充当生产资料)。
在这200镑货币中,100镑一开始就把可变资本V50αα和剩余价值M50αα转化为货币形式。把V50αα转化为货币形式的那50镑货币,是花在工资上的货币的回流。因此,它们不再加以计算。50镑=M50αα把Ⅰ(b)的等于50镑的商品转化为货币形式。因此,只有100镑尚须计算。
Ⅱαα类用这100镑从Ⅱα的产品中补偿自己的不变资本的一半,等于C100αα。它的生产资料的另一半由它自己的产品补偿。
因此,Ⅱα类得到100镑,其中50镑=V50α,构成它自己的可变货币资本的回流,而50镑=M50α,在Ⅰ(b)中得到实现,从而流回到Ⅰ(b)那里。
因此,实际上,Ⅱαα和Ⅱα吸收了100镑货币(V50αα+V50α)。相反,另外的100镑则作为剩余价值M50αα+M50ββ的流通手段流回到Ⅰ(b)那里。
如果考察借助200镑货币在Ⅱαα+Ⅱα中实现的总额,那么就得到:(C100αα+V50αα+M50αα)。但这个公式可分解为
,其中M50αα和M50α在转化为货币以后用来购买W100(Ⅰb),而100镑仍留在Ⅱα和Ⅱαα中作为可变资本V50α和V50αα的回流。
在我们提到的第一个形式中可以看到,C200(Ⅰa)总是等于(V+M)Ⅱa(=Ⅱαα+Ⅱα)。
不变资本C200(Ⅰa)的价值等于(假定是简单再生产)直接地和间接地为Ⅰ(a)生产生产资料的Ⅱαα、Ⅱα类的工资和剩余价值总额。这仅仅是Ⅱαα和Ⅱα的生产者能花在生活资料上的价值量。
这个价值等于200镑(C200a)。
Ⅰ(a)的这部分产品转化成的货币即C200(Ⅰa),只构成Ⅰ和Ⅱ以及其分类中所支付的那部分工资。因此,资本价值不变部分Cxa所转化成的那部分货币,应等于(V+M)(Ⅱαα,Ⅱα)。因此,它应当能进行流通,一方面,实现Ⅱ(αα和α)的可变货币资本的回流,另一方面,把M(Ⅱαα,Ⅱα)转化为货币形式,以便在Ⅰ(b)中实现这个剩余价值,从而保证到Ⅰb、Ⅱββ和Ⅱβ各个类的回流。
Ⅰ(a)的产品由于工人消费而转化为货币;因此,它现在以起初预付工资的货币形式而存在,——Ca+Va+Ma。在这个量中,Va作为可变资本的货币回流形式仍留在Ⅰ(a)中。Ma花费在Ⅰ(b)类中。Ca应等于(V+M)(Ⅱαα,Ⅱα)。
如果现在Ⅱ类内有200镑=C50(Ⅰa)处于流通中,那么,这些货币在Ⅱ类内的任何分类中实现的都不仅仅是V+M,而且还有C部分,并且这个部分总是在另外的分类中最终分解为V+M。例如,200镑首先实现的是C100αα+V50αα+M50αα,也就是说,不仅仅是(V+M)αα,而且还有Cαα部分。当然,实现们Cαα的那100镑在Ⅱαα类那里被用于以实物形式补偿该类的不变资本;因此对它来说,这100镑就是不变资本的货币形式。这些货币被用于支付100镑Wa。但是,在这些货币完全转到Ⅱα类手里以后,它们便不再充当不变资本的流通手段。它们只补偿V(Ⅱα)(只促进它的回流),并把M(Ⅱα)转化为货币形式。它们在Ⅱαα和Ⅱα两类中只把(V50(Ⅱαα)+V50(Ⅱα)+(M50(Ⅱαα)+M50(Ⅱα))完全转化为货币,也就是把V100(Ⅱαα,α)+M100(Ⅱαα,α)完全转化为货币;也就是说,在Ⅱαα和Ⅱα这两类中,无非是把V100+M100(Ⅱ)=C200(Ⅰa)完全转化为货币。
显然,生产生产资料的这个类是由许多分类组成,这些分类本身一方为他方提供生产资料——全部地或只是部分地提供。因此,在其中一个类中表现为C的东西,在另一个类中则分解为V+M。换句话说,它们能在“间接的”分类中实现V+M,那只是因为C在“直接的”分类中分解为V+M。
[179]现在来谈谈Ⅰ(b)、Ⅱββ、Ⅱβ各类。
首先流回到Ⅰ(b)的是150镑=Ⅰ(b)、Ⅱββ、Ⅱβ中起初支付的工资额。
Ⅰ(a)的产品直接转化为300镑=各个类花在工资上的总额,而流回到Ⅰ(b)的只是这个数额的一半,即等于Ⅰ(a)(Ⅱαα,Ⅱα)+Ⅰ(b)(Ⅱββ,Ⅱβ)的剩余价值的一半。
在Ⅰ(a)和Ⅱαα、Ⅱα之间的流通中,转化为货币C200(Ⅰa)的货币资本,为使Ⅱαα、Ⅱα的剩余价值和可变资本转化为货币形式而进行流通。
相反,无论是流往Ⅰ(b)(Ⅱββ和Ⅱβ)还是流往Ⅰ(a)、Ⅱαα和Ⅱα的货币,只能等于这样一笔剩余价值量,它从Ⅰ(a)那里直接以货币形式流回到Ⅰ(b)那里,以实现Ⅰ(a)的剩余价值,并且是由各笔从Ⅱαα和Ⅱα那里靠C(Ⅰa)而得到的货币构成的。这就是说,作为可变货币资本能从Ⅰa、Ⅱαα和Ⅱα直接流回到Ⅰ(b),从而间接流回到Ⅱββ、Ⅱβ那里的,只能是等于(M50a+M50αα+M50α)这一剩余价值量的价值额,或者一般说来也就是Ma(Ⅰa)、Ma(Ⅱαα)、Ma(Ⅱα)这一剩余价值量。在这里,这些M的量是拉平了的,因为各个部门中对劳动力的剥削假定是相等的。不等的剥削不会改变运动的进程,而只会使M的分配细节发生变形。
因此,结论是这样:只有等于M(Ⅰa)的货币量才能从Ⅰ(a)直接流回到Ⅰ(b)那里。
等于C(Ⅰa)的货币量必须从Ⅰ(a)流回到Ⅱαα、Ⅱα那里。
这个货币量的价值等于(V+M)(Ⅱαα,Ⅱα)。因此,这个货币量减去V(Ⅱαα,Ⅱα)就等于M(Ⅱαα,Ⅱα),——这是Ⅱαα、Ⅱα类能还给Ⅰ(b)类等等的唯一的东西。
总之,归根到底,C(Ⅰa)中等于M(Ⅱαα、Ⅱα)的数额通过迂回道路(经过Ⅱαα、Ⅱα)流回到Ⅰ(b)那里,等等。
最后,应当指出,Ⅰ(a)的产品总价值是通过全部社会可变货币资本同这一产品相交换而转化为货币的。Ⅰ(a)=300镑,并靠V50a、V50αα、V50α、V50b、V50ββ、V50β而转化为货币。其中V50a留在Ⅰ(a)本身那里,并充当同Ⅱαα、Ⅱα和Ⅰ(b)、Ⅱββ、Ⅱβ各个类进行250镑流通的媒介。Ⅰ(a)的产品的任何部分都不以实物形式进入Ⅰ(a)生产者的消费。[它的等于]V50(Ⅰa)的并在Ⅰ(a)内部用于支付工资的部分,以货币形式流回到它那里。相反,Ⅰ(a)的全部产品以实物形式出售给Ⅰ(a)等等的工人。
Ⅰ(b)资本家的消费基金的情况就不同了。它等于C200(Ⅰb)+V50(Ⅰb)+M50(Ⅰb)。这一产品的任何部分都不以实物形式出售给工人。因此,V50(Ⅰb)不会以货币形式直接流回。相反,M50(Ⅰb)由这个类本身直接以实物形式消费。如果说为此需要有货币以完成M50(Ⅰb)的流通,那么这是M50(Ⅰb)所有者之间的流通。这一流通所必需的货币应由他们自己预付,并流回到他们自己那里,其数量视他们为这一流通所预付的货币在总额中所占的份额而定。因此,如果我们假定这一流通需要25镑,那么,在这一流通完成以后,这25镑仍象以前那样处在Ⅰ(b)资本家手中,充当他们的剩余价值的流通手段。总流通的等于25镑的部分没有任何应由它来完成的其他职能。
Ⅰ(a)的去掉社会工资而剩下的货币基金=30镑,这是由Ⅰ(a)的这一产品价值转化来的,只用于剩余价值的流通,这一剩余价值等于Ⅰ(a)的剩余价值和包含在(Ⅱαα、Ⅱα)类的生产资料中的剩余价值,但不是用于Ⅰ(b)、Ⅱββ和Ⅱβ类的剩余价值的流通。
这300镑先把C200a+V50a+M50a转化为货币。V50a——也就是它的货币形式——留下来被用于重复进行Ⅰ(a)的资本家和工人在本领域内的流通,并不加入进一步的流通。M50(Ⅰa)在Ⅰ(a)类本身内直接转化为货币,并形成工资V50(Ⅰb)的回流形式,因而它在这里不会把任何剩余价值转化为货币。C200(Ⅰa)分解为V50(Ⅱαα)+M50(Ⅱα)+V50(Ⅱα)+M50(Ⅱα),而且这M50(Ⅱαα)和M50(Ⅱα)在Ⅰ(b)、Ⅱββ、Ⅱβ等类内只是把工资,而不是把剩余价值转化为货币。
因此,劳动基金只充当剩余价值M50a、M50αα和M50ββ的流通手段。就所有这三个类别来说,货币是剩余价值的货币形式,并且作为这些类别是Ⅰ(b)、Ⅱββ和Ⅱβ的可变资本到Ⅰ(b)的回流。
因此,Ⅰ(b)类的货币基金首先等于150镑,是Ⅰa、Ⅱαα和Ⅱα实现剩余价值后从它们那里转来的,再加上这个类本身为M50(Ⅰb)的流通而支付的并流回的25镑。这样,总共为175镑。
这175镑中有:25镑——用于在本类内部进行M50(Ⅰb)的流通。
50镑——由本类掌握,留在本类内使V50(Ⅰb)转化为货币。
因此,Ⅰ(b)的产品价值形态(以及剩余价值流通所必需的货币)现在是这样:
Ⅰ(b):C100b(W)+C100b(货币形式)+V50b(货币形式)+(消费基金=M50b)+25镑货币,后一部分货币是为M的流通而预付的,并在这一流通完成后又流回到Ⅰ(b)类。
因此,Ⅰ(b)只能为Ⅱββ和Ⅱβ这两类提供等于100镑的货币=V50(Ⅱββ)+V50(Ⅱβ);也就是说,只是它们所消耗的可变资本的回流所必需的货币。
[180]所以,在考察同Ⅱββ和Ⅱβ的进一步的流通时还要考虑到的Ⅰ(b)部分已缩小到:
Ⅰ(b):C100b(W)+C100b(货币)。
Ⅰ(b)用这100镑向Ⅱββ购买100镑的商品,由此转化为:
Ⅰ(b):C100b(W)+C100b(ββ的生产资料形式)。
相反:现在Ⅱββ是:
Ⅱ(ββ):C150ββ+C50ββ(货币形式)
+
V50ββ(商品形式)+V50ββ(货币形式)
+
M50ββ(商品形式)。
50镑货币留在Ⅱββ类中,是可变资本V50ββ的货币表现,而且Ⅱββ用50镑购买Ⅱββ的生产资料(虽然这些货币假定用于M50ββ)。
这样就得出:
Ⅱ(ββ):C200ββ(W)+C50β(W)+V50ββ(货币形式),而对于Ⅱ(β)来说就是:C200β+V50ββ(货币形式)+M50β(商品形式)。
于是,来自Ⅰ(a)、Ⅱαα和Ⅱα等类的货币被分配;而且,为了完成Ⅰb、Ⅱββ和Ⅱβ之间的进一步的流通,货币必须由这些类本身预付。
例如,如果我们假定,Ⅱβ类为自己的剩余价值的流通预付50镑货币,那么,它就用这50镑向Ⅰ(b)购买商品,而Ⅰ(b)现在呈现为:
Ⅰ(b):C50b(W)+C50(货币形式)
+
C100b(ββ的生产资料形式)。
Ⅰ(b)用这50镑购买ββ的生产资料,因而现在呈现为:
Ⅰ(b):C150(ββ的生产资料形式)+C50b(W)。
Ⅱ(ββ)则相反呈现为:
Ⅱ(ββ):C150ββ(W)+C50ββ(W)+50镑货币(=M50ββ)。
假定Ⅱββ用这50镑向Ⅰ(b)购买商品,而Ⅰ(b)又购买Ⅱββ的商品,那么:
Ⅰ(b):C200(ββ的生产资料形式)。
Ⅱ(ββ):C100ββ+C50β(W)+50镑货币形式。
Ⅱββ用这50镑购买Ⅱβ的生产资料,因而:
Ⅱ(ββ):C100ββ+C100(Ⅱβ的生产资料)。
Ⅱ(β):C200β+V50β(货币形式)和用于剩余价值流通的50镑。
于是,这种分配就已经完成。
[181]Ⅰ(b)的产品=300镑,完全进入各类资本家的消费基金,他们在这些产品上实现自己的剩余价值。
M50(Ⅰa)+M50(Ⅱαα)+M50(Ⅱα)+M50(Ⅰb)+M50(Ⅱββ)+M50(Ⅱβ)=Ⅰ(b)的300镑。
但是,为了实现剩余价值,只有150镑=V50(Ⅰa)+V50(Ⅱαα)+V50(Ⅱα)流回到Ⅰb那里,也就是说,按我们的假定,这等于可变资本(Ⅰb等等的)再转化为货币资本所必需的量。但是,这些货币不是作为Ⅰ(b)的商品和Ⅰ(b)的工资等等之间的流通手段而进行流通,而首先是直接作为Ⅰ(b)、Ⅱββ和Ⅱβ之间的流通手段进行流通,这样就能使这种循环不断重新进行。因此,这些货币被V150(Ⅰb,Ⅱββ,Ⅱβ)完全吸收,不能用于这三个分类内部的剩余价值的流通。
所以,在这些领域内,货币应被资本家用作剩余价值的流通手段。我们首先假定用于M50(Ⅰb)的是25镑。这25镑留在这个领域内,也就是说,大致相当的货币量留在这里,虽然其中的单个成分可以同总流通的其他货币成分换位。在这种场合下,这些货币应由其他领域的这种货币成分所替代。在Ⅰ(a)中,只是在Ⅰ(a)的工人和资本家之间才发生货币流通(=50镑等等),同样,在这里只是在Ⅰ(b)的资本家之间才发生货币流通,而且流通的货币量等于25镑(用于实现M50b)。
我们假定,为了使Ⅱββ、Ⅱβ类中留下的150镑剩余价值进行流通,同样需要50镑。它们在这两个分类之间如何分配,这是无关紧要的。它们流回到它们被花费的地方。
如果现在撇开使M50(Ⅰb)实现流通的25镑货币,那么,流回到Ⅰ(a)、Ⅱαα、Ⅱα类的150镑就是剩余价值的货币形式(资本家收入的形式)。
我们先来考察Ⅰ(b)(撇开等于Mb的剩余价值不谈,它作为产品进入Ⅰ(b)资本家的消费基金,而为了使它流通,资本家预付了25镑):

原来代表剩余价值(50镑)的一部分货币,现在是可变资本V50(Ⅰb)的回流的货币形式。
其次,C100(货币形式)是Ⅰ(b)的一半不变资本的货币形式。
C200(Ⅰb)的货币形式首先靠Ⅱαα、Ⅱα类所耗费的剩余价值提供。(因为只有花费在Ⅰ(a)中的Ⅰb的可变货币资本才流回。)如果Ⅱαα、Ⅱα的剩余价值提供了这些货币的一半,那么,另一半应当由Ⅱββ、Ⅱβ的剩余价值提供。
于是,Ⅱββ类中花费了100镑。在这里它们实现等于V50ββ(W)+M50ββ的量。
Ⅰ(b):C100b(W)+C100b(货币),——转化为:
Ⅰ(b):C100b(W)+C100(ββ的生产资料)。
至于Ⅱββ,那它首先必须补偿等于V50ββ的工资。因此,这个量被截留下一部分。等于50镑的量作为Ⅰ(b)的不变资本部分,形成Ⅱββ的回流的可变货币资本。这个量往下不予考虑。
[182]现在Ⅱββ=C200ββ+V50ββ(货币形式)+M50ββ(货币形式)。{50镑货币V50——可变资本的回流货币形式。它们仍被吸收在这个领域中。}
如果现在Ⅱββ花50镑(M50ββ)用来实现自己的剩余价值,而不是用来补偿一部分不变资本,那么:
Ⅰ(b)(扣除货币形式上的V50b和不再进一步进入一般流通的M50b以后):
C100b(Ⅱββ提供的生产资料)+C50b(W)+C50b(货币);
而Ⅱββ(扣除货币形式上的V50ββ和消费基金M50ββ以后):
C200ββ;最后,Ⅱβ:C200β+V50β+M50β。
Ⅰ(b)把50镑货币转化为Ⅱββ的生产资料,Ⅱββ使之转化为Ⅱβ的生产资料,在后者那里,这50镑(V50β)转化为货币形式。Ⅰ(b)类所吸收的货币不再进一步用于Ⅰ(b)、Ⅱββ和Ⅱβ之间的流通。于是就得出:
Ⅰ(b):C150b(ββ的生产资料)+C50b(商品)。
Ⅱββ:C150β+C50(β的生产资料形式)。
Ⅱβ:C200β+V50β(货币形式)+M50β,或者进入进一步的流通:
Ⅱβ:C200β+M50β。
为了剩余价值(M50β)的进一步流通,仍然要预付货币。在当前的场合,我们假定Ⅱββ预付25镑来购买Ⅱβ的生产资料。于是对Ⅱββ来说,这25镑现在就是不变资本的货币形式,但对Ⅱβ来说,则是剩余价值的货币形式和流通形式。Ⅱβ用这25镑购买Ⅰ(b)的消费资料;在这种场合,我们得出:
Ⅰ(b):C150b(ββ的生产资料)+C25b(W)+C25b(货币)。
Ⅱββ:C150ββ+C75(β的生产资料)。
Ⅱβ:C200β+M25β。
Ⅰ(b)用25镑向Ⅱββ购买生产资料,Ⅱββ用25镑购买Ⅱβ的生产资料。这样,我们就得出:
Ⅰ(b):C175b(ββ的生产资料)+C25b(W),
Ⅱββ:C125ββ+C100(β的生产资料),
Ⅱβ:C200β+25镑货币。
Ⅱβ用25镑向Ⅰ(b)购买消费资料,Ⅰ(b)用这25镑向Ⅱββ购买生产资料,25镑又流回到Ⅱββ那里。因此:
Ⅰ(b):C200b(Ⅱββ的生产资料形式),
Ⅱββ:C100ββ(Ⅱββ的生产资料形式)
+C100ββ(Ⅱββ的生产资料形式)+25镑货币。
Ⅱβ:C200β。
如果Ⅱββ立即预付50镑,那么:
起点就是:
Ⅰ(b):C150b(Ⅱββ的生产资料)+C50b(Ⅰb的商品),
Ⅱββ:C150ββ+C50(Ⅱβ的生产资料形式)+50镑货币,
Ⅱβ:C200β+M50β。
[183]这样一来:
Ⅱββ用50镑向Ⅱβ购买生产资料,因而取得这样的形式:
Ⅱββ:C150ββ+C100(Ⅱβ的生产资料)。
Ⅱβ把50镑花费在消费资料上,因而取得的形式:C200β。
最后,Ⅰ(b)用这50镑向Ⅱββ购买生产资料,因而取得这样的形式:C200b(Ⅱββ的生产资料)。50镑又流回到Ⅱββ那里,于是我们就得出:
Ⅰ(b):C200b(Ⅱββ的生产资料),
Ⅱββ:C100ββ(W)+C100ββ(Ⅱβ的生产资料)+50镑货币,
Ⅱβ:C200β。
在这种场合下,50镑通过Ⅱβ和Ⅰ(b)后,经一次周转而流回到Ⅱββ那里(进行了三次周转:实现Ⅱβ的50镑商品、Ⅰ(b)的50镑商品、Ⅱββ的50镑商品)。由于这最后一项交换,它们流回到Ⅱββ那里。
相反,如果只花费25镑,那么50镑就会分两次流回到Ⅱββ那里,并总共完成六次周转。
用于Ⅰ(b)M50b的流通的货币,只是在这一范围内作为剩余价值的货币形式,作为剩余价值的流通手段直接进行流通。
在我们提出的前提下,最初从Ⅰ(a)、Ⅱββ和Ⅱα直接流回到Ⅰ(b)的货币,无非是Ⅰ(b)、Ⅱββ和Ⅱβ中所预付的可变货币资本的回流的货币形式。
然而,就Ⅰ(b)、Ⅱββ和Ⅱβ中后来预付的那些货币来说,尽管它们依次作为不变资本和剩余价值的货币形式(从而作为它们的流通手段)发挥职能,但归根到底不过是这样一些货币,这些货币是为了这些类内部的剩余价值的流通而预付的。它们表现为货币形式C100b,而C100b分解为C100ββ(因为C100b已分解为V50ββ+V50β)
(V50ββ+M50ββ,以及M50ββ+M50β)。
到现在为止所考察的全部货币流通,归根到底只是Ⅰ(a,b)和Ⅱ(αα,α,ββ,β)类中可变货币资本的流通,并且是充当这两类中剩余价值的流通手段。但是,同这种流通完全无关的还有:
(A)生产资料(a) (B)生产资料(b)
Ⅱαα:C100αα(W)+C100α(W)
+Ⅱββ:C100ββ(W)+C100β(W)
Ⅱα:C200α(W)。
+Ⅱβ:C200β。
首先应当指出,Ⅱββ、Ⅱβ一方同Ⅱαα、Ⅱα这另一方之间不发生任何流通。(实际上,对两个类来说,许多生产资料是共同的。)
只有当C100αα(W)等等、C200α(W)等等是由各工业部门的产品组成时,在这些领域内才发生流通;C100ββ(W)、C100β的情况也是这样。C100αα(W)和C200α(W)之间只有发生进一步的交换,货币才在这两个类之间流通(但这同已处于应有位置的C100α(W)部分无关)。
Ⅱββ等等的情况也完全一样。
因此,总流通的价值额分解为两个独立部分,其中一部分被预付在可变资本和剩余价值的流通上,另一部分在以各种实物形式再生产出来的不变资本的各部分之间进行流通。如果认为全部产品都是用消费者所花费的货币额(即工资+资本家收入)来购买的,或者认为这一货币额可供全部产品流通,那就大错特错了。
预付在工资和剩余价值上的货币用于不变资本的流通,这只是从下述这一点来看的:代表本生产领域的资本不变部分的那部分消费资料的价值,应当同不变资本生产领域中代表V+M本身的生产资料相交换;另一方面,这只是从这样一点来看的:这种交换又决定直接的和间接的生产资料之间的交换。
[(e)在工资和剩余价值不相等的各种情况下,规模不变的再生产]
假定工资大于剩余价值
到现在为止,假定工资和剩余价值是相等的。如果我们假定工资大于剩余价值,那么,由于一切生产条件假定不变,同一个年工作日(等于每日劳动一定小时的一定数量的工人)就表现在600镑价值上,即消费基金的价值上,这一基金一部分由工人的消费资料组成,一部分由资本家的消费资料组成。
到现在为止是假定600/2=工人消费基金和600/2=资本家消费基金。而我们现在假定,600的2/3即400是工人的消费基金和600的1/3即200是资本家的消费基金。
在原有的不变的生产条件下,工人每天为自己劳动的部分增大(不是1/2,而是2/3),为资本家劳动的部分减少(不是1/2,而是1/3)。
工作日划分的这种变化,要求为工人生产消费资料的工人人数和为资本家生产消费资料的工人人数之间的比例有所变化。
[184]由于活劳动和生产资料量(以及劳动力价值和生产资料价值)之比不变,所以,这也要求生产Ⅰ(a)的消费资料和生产Ⅰ(b)的消费资料的这两大类中的生产资料的划分发生变化。
总产品的构成如下:C1200+V400+M200。
消费基金=600镑,其中400镑归工人,200镑归资本家。
Ⅰ(a)的生产使用的工人增多了1/3(不是300镑而是400镑:300+300/3=400);Ⅰ(b)的生产使用的工人减少了1/3(200镑:300-300/3=200)。
工业部门Ⅰa+Ⅰ(b)的产品价值应等于600镑(=V400+M200)。
工业部门Ⅰ(a)的产品价值=400镑,Ⅰ(b)=200镑。
现在的问题是,这400镑(产品价值)如何分解为C+V+M。
为生产这400镑而使用的工人人数应当比生产300镑所需要的工人人数多1/3(因为生产条件相同)。为生产300镑所使用的劳动力的价值等于50镑。现在它应当等于50镑+50镑/3=66+(2/3)镑。
但是,这66+(2/3)镑是根据劳动力价值按原有价格支付的。然而,它的价格已增大1/3(对整个社会来说从300提高到300+300/3=400镑)。因此,Ⅰ(a)的劳动力的价值现在等于66+(2/3)镑+1/3×(66+(2/3))=88+(8/9)镑。因此,Va=V88+(8/9)。
因为剩余价值是工资量的1/2,所以:
Ⅰ(a)M=M44+(4/9)以及(V+M)(Ⅰa)=133+(3/9)=133+(1/3)。
生产资料价值没有改变。因为工人人数增加1/3,所以他们所需要的生产资料价值也增大1/3。
因此,不是200,而是〔200+(1/3)〕×200=266+(2/3)。
因此,Ca=C266+(2/3)。
而Ⅰ(a)的产品总价值=C266+(2/3)+V88+(8/9)+M44+(4/9)=400。
我们现在来考察消费资料的第二部分,即等于200镑的Ⅰ(b)。
过去的劳动力50镑是同产品300相比,而劳动力X是同产品200相比。或者说,50∶300=X∶200。X=33+(1/3)镑。
但是,这一劳动力比以前贵1/3,因此,它的价值等于33+(1/3)镑+1/3×(33+(1/3)镑)=44+(4/9)镑。
因此,Vb=V44+(4/9)。
Ⅰ(b)的剩余价值等于22+(2/9)镑的一半。(以及(V+M)(Ⅰb)=66+(2/3)镑。)
Ⅰ(b)的生产资料价值过去等于C200。后来它减少1/3,200的1/3等于66+(2/3)。因此,200-〔66+(2/3)〕=133+(1/3)。
因此,Ⅰ(b)Cb=C133+(1/3)。
因此,Ⅰ(b)的总产品=C133+(1/3)+V44+(4/9)+M22+(2/9)(=200镑)。
[185]所以整个Ⅰ类(生活资料)等于600镑,表现为:
(Ⅰa)(C266+(2/3)a+V88+(8/9)a+M44+(4/9)a)+(Ⅰb)(C133+(1/3)b+V44+(4/9)b+M22+(2/9)b)。
C266+(2/3)a应当同Ⅱαα类的266+(2/3)相交换。这就是说,如果Ⅱαα的不变资本部分不是由直接进入Ⅰ(a)的商品组成,而是由应当从Ⅱα得到补偿的商品组成,那么C266+(2/3)a就会等于(V+M)Ⅱαα。这就是说,根据最初提出的假定,C266+(2/3)a同Ⅱαα的商品(266+(2/3))相交换,后者只有一半等于(V+M)Ⅱαα,而Ⅱαα必须靠Ⅱα来补偿的另一半则等于(V+M)Ⅱα。
于是我们得到:

最后,至于Ⅱββ和Ⅱβ,那么,(C133+(1/3)b=(V+M)(Ⅱββ+Ⅱβ),并在Ⅱββ、Ⅱβ和Ⅰ(b)的资本构成相同的情况下均衡地分配开来。
Ⅱ(ββ)C133+(1/3)ββ+V44+(4/9)ββ+M22+(2/9)ββ
Ⅱ(β)C133+(1/3)β+V44+(4/9)β+M22+(2/9)β。
在这种场合下,唯一重要的是Cxa应当等于(VY+MZ)(Ⅱαα+Ⅱα)
和
Cxb应当等于(VY+MZ)(Ⅱββ+Ⅱβ)。
Cx(Ⅱαα,Ⅱα)同(VY+MZ)(Ⅱαα,Ⅱα)以及相互之比如何——Ⅱββ和Ⅱβ也是一样——这在这里是完全无关紧要的;这一比例在Ⅱαα、Ⅱα和Ⅱββ、Ⅱβ中是否相同,同样是无关紧要的。
其次,很明显,在当前的场合流通比例不变,因为Ⅰ(b)中支出的工资(直接为Ⅰa支出)是3×〔44+(4/9)〕=133+(3/9)镑,并重新流回到Ⅰ(b)那里,用来支付Ⅰ(a)、Ⅱαα和Ⅱα的同样等于3×〔44+(4/9)〕的剩余价值,这3×〔44+(4/9)〕就构成这些部门的剩余价值。
正象过去一样,我们得到:V44+(4/9)b等等=M44+(4/9)a等等(过去是:V50b=M50a等等。)
现在假定,Ⅰ(a)=350镑,而Ⅰ(b)=250镑。
因为总工资价值等于Ⅰ(a)的价值,而总剩余价值的价值等于Ⅰ(b)的价值,所以M/V=250/350=5/7。
Ⅰ(a)的产品350镑,比Ⅰ(a)过去的等于300的产品增加1/6。因此,劳动力的使用增加1/6。
50镑劳动力∶300镑=X镑劳动力∶350镑。X=58+(1/3)镑。
但是,工人得到的工资也增加1/6;因此,Ⅰ(a)所使用的劳动力就要增加1/6。
因此,Ⅰ(a)的劳动力的价格等于58+(1/3)镑+1/6×(58+(1/3)镑)=68+(1/18)镑。
其次,M/V=5/7。因此,M=48+(11/18)。
过去使用200C,现在增加1/6∶200+200/6=233+(1/3)。
因此,Ⅰa的产品价值总构成是:
Ⅰ(a)C233+(1/3)a+V68+(1/18)a+M48+(11/18)a(=350镑)。
首先,至于现在说到Ⅰ(b)的构成,那么产品价值[等于]250,而不是300;因此,劳动力[要]减少1/6。
50镑劳动力∶300镑=X镑劳动力∶250[镑]
也就是说,X=(250×50)/300=41+(2/3)。
因此,V(Ⅰb)=V41+(2/3)。因为M/V=5/7,所以M=〔41+(2/3)〕×5/7。[186]因此,Mb=29+(16/21)。
因此,Cb=178=(12/21)。
因此,Ⅰb的价值产品=C178+(12/21)b+V41+(14/21)b+M29+(16/21)b(=250镑)
C233+(1/3)(Ⅰa)=商品233+(1/3)(αα),但这等于(V+M)Ⅱαα(V+M)Ⅱα。
因此,(V+M)Ⅱαα=〔233+(1/3)〕/2=116+(2/3);以及(V+M)Ⅱα=116+(2/3)。
过去,Ⅱαα和Ⅱα需要劳动力100,才能生产出等于C(Ⅰa)的价值产品200。
要生产出价值产品233+(1/3),就要求劳动力增加1/6。也就是需要价值166+(2/3)的劳动力。
但是,这种在数量上增加1/6的劳动力也贵1/6。〔116+(2/3)〕/6=19+(4/9)。因此,劳动力的价值=〔116+(2/3)+〔19+(4/9)〕=136+(1/9);这个数量的一半=68+(1/18)。
因此,Ⅱ(αα)∶Vαα=V86+(1/18)αα和Ⅱ(α)∶Vα=V68+(1/18)α。
因此,Mαα=M48+(11/18)和Mα=M48+(11/18)。
因为假定资本构成和Ⅰa的资本构成相同,我们就得出:
Ⅱ(αα)C233+(1/3)αα+V68+(1/18)αα+M48+(11/18)αα(=350)
Ⅱ(α)C233+(1/3)α+V68+(1/18)α+M48+(11/18)α(=350)。
其次,Ⅱββ、Ⅱβ类的资本具有与Ⅰb中相同的构成。
由此可得出总的结果:
Ⅰ(a)C233+(1/3)a+V68+(1/18)a+M48+(11/18)a
+Ⅰ(b)C178+(12/21)b+V41+(14/21)b+M29+(16/21)b
(=350)
(=250)
Ⅱ(αα)C233+(1/3)αα+V68+(1/18)αα+M48+(11/18)αα
+Ⅱ(ββ)C178+(12/21)ββ+V41+(14/21)ββ+M29+(16/21)ββ
Ⅱ(α)C233+(1/3)α+V68+(1/18)α+M48+(11/18)α
+Ⅱ(β)C178+(12/21)β+V41+(14/21)β+M29+(16/21)β
不必详加考察先前的运动。
Ⅰa(扣除V68+(1/18)a,这花费在Ⅰa本身中并通过把商品卖给Ⅰa的工人而流回)按价值等于281+(17/18)。其中流回到Ⅱαα、Ⅱα的是233+(1/3),这136+(2/18)中被Ⅱαα和Ⅱα领域吸收。
流回到Ⅰb的还应当有:
来自Ⅱαα、Ⅱα类的97+(4/18)
和来自Ⅰa类的〔48+(11/18)〕/〔145+(15/18)〕镑
应当流回到Ⅰb、Ⅱββ和Ⅱβ的总工资等于〔41+(14/21)〕×3=125镑。在补偿Ⅰ(b)类中可变货币资本V(b,ββ,β)以后,还剩下〔145+(15/18)〕-125=20+(15/18)镑。根据过去的假定,这些货币大约有一半就足以使Ⅰb中M29+(16/21)b实现流通。因此,Ⅰb类还有余额供本类同Ⅱββ、Ⅱβ之间的进一步的流通(在Vb、Vββ、Vβ恢复为货币形式以后)。因此,在Ⅰb、Ⅱββ、Ⅱβ这些领域中,花费比过去少得多的货币就足以使剩余价值实现流通,因为流回的货币超过Vb、Vββ、Vβ由Ⅰa、Ⅱαα和Ⅱα转化为货币形式所必需的货币而形成一个余额。
如果象过去已经假定的,V=M,从而消费基金的价值分为两个相等的部分,其中一部分是工人的收入,另一部分是资本家的收入,那么很明显,预付在劳动力上的货币资本只足以在一切领域中保证这一资本本身的回流,也就是只足以向Ⅰ类等等各类重新提供支付劳动能力所必需的货币基金。{这种流通引起一系列的流通过程,这些过程保证了C(Ⅰa)同(V+M)(Ⅱαα,Ⅱα)的交换,并引起这种交换所必需的Ⅱαα和Ⅱα之间的一系列交换,同样也引起Ⅰb、Ⅱββ、Ⅱβ的可变资本的回流以及为此所必需的媒介活动,——这一点在上面已作了分析。}
[187]Ⅰa的全部价值产品通过它的商品被卖给工人而转化为货币基金。
这种产品现在以等于Va+Vαα+Vα+Vb+Vββ+Vβ的货币形式而存在。
Va留在Ⅰa中,它在这里被预付以后而流回。
因此,剩下的是Vαα+Vα+Vb+Vββ+Vβ。
Ⅰa用货币Vb向Ⅰb购买商品,实现自己的剩余价值;转化为货币以后(因为到处都是V=M)Vb=Ma。这样一来,等于Ma的货币量正好足以把Vb的货币形式还给Vb,也就是足以使可变货币资本Ⅰb(V)流回。
但是,Va+Vαα+Vα+Vb+Vββ+Vβ-(Va+Vb)=Ca,因为价值Ⅰa-(Va+Ma)=Ca。
因此,Ca=4V,或者Ca=2V+2M(因为V=M)。
用于Va的货币在Ⅱαα、Ⅱα中被吸收。因此,起初流回到Ⅰb的2M(等于Vββ+Vβ)在这里被吸收,并只经历充当这种回流媒介的那些流通过程。这些充当媒介的过程可以只限于Cb部分同(V+M)Ⅱββ的交换,并且用于Mββ的货币通过Ⅱββ和Ⅱβ之间的流通最终作为货币形式Vβ而沉淀下来。
在当前的场合,由于V>M,也就是说,工人比资本家得到更多的社会消费基金,或者说,工人的总收入多于资本家的总收入,所以情况就不同了。
首先应当指出,在这一前提下,Ⅰa的产品价值大于Ⅰb的产品价值,但两者的总价值等于社会消费基金的总价值。这不仅要求一切生产领域的工人在大部分工作日中为自己劳动,也就是说,劳动价格要提高,而且(因为这里假定工人人数是一定的)Ⅰa中,从而Ⅱαα、Ⅱα中就业的工人要比过去多,而Ⅰb中,从而Ⅱββ、Ⅱβ中的工人要按同一程度减少。
由此,首先可以得出:V(Ⅰb,Ⅱββ,Ⅱβ)<V(Ⅰa,Ⅱαα,Ⅱα)。
但是,其次可以得出:M(Ⅰb,Ⅱββ,Ⅱβ)<M(Ⅰa,Ⅱαα,Ⅱα),所以——假定剩余价值率相等——剩余价值量将大于所使用的劳动力的量,或所使用的工人人数,也就是说,生产工人消费资料部门的剩余价值量将大于生产资本家消费资料部门的剩余价值量。
如果我们看看Ⅰb的总产品价值,那么Ⅰ(b):
Cb+Vb+Mb=Ma+Mαα+Mα+Mb+Mββ+Mβ,其次:Ma+Mαα+Mα>Mb+Mββ+Mβ。
应当完成到Ⅰb的回流等等的货币至少要等于Ma+Mαα+Mα。因此,它大于应由Ⅰb、Ⅱββ、Ⅱβ类实现的剩余价值。

显然,Ⅰb、Ⅱββ、Ⅱβ的序列是不准确的,因为(V+M)(Ⅱββ,Ⅱβ)在这里不等于Cb。
[187]首先必须确定Vb的量,因而也必须确定Vββ、Vβ的量,因为假定Ⅰb、Ⅱββ和Ⅱβ中资本的划分是相同的。
如果根据过去的构成(300b=C200+V50+M50)计算,那么50∶300=X∶250
X=41+(12/18)。
但是,劳动力的价格提高1/6。
所以,X=〔41+(12/18)〕+〔41+(12/18)〕/6=41+(11/18)。
因此,Vb=41+(11/18)=V41+(11/18)b。
M∶V=5∶7。因此,M=34+(91/126)。
Cb=250-(48+(11/18)+34+(91/126))。Cb=166+(84/126)。
∴Cb=166+(84/126),又=2(Vb+Mb)。
因此得到:Ⅰb=C166+(84/126)b+V48+(77/126)b +M34+(91/126)b。
但是V48+(77/126)b=V48+(11/18)b,从而等于M48+(11/18)a。
因此,Vb=Ma。∴V(b,ββ,β)=M(a,αα,α)。
[188]因此,在假定M=V的第一个前提下,我们认为Ma会补偿Vb等等,这样来说明过程是不准确的。
在这里,由于V>M,则V∶M=7∶5。于是,V=7/5,然而Ma等等等于Vb,虽然Ma<Va和Mb<Vb。
我们预先就可以断定这一结果。
实际上我们得出:
(1)Ⅰb的产品价值=Cb+Vb+Mb。
(2)Cb=Vββ+Mβ+Vβ+Mβ。
这也就是说,Ⅰb的产品的资本不变部分以它完全进入资本家消费的形式而存在,——正象Ca完全进入工人消费一样。
因此,Cb完全要靠ββ的生产资料来补偿。但是,因为Cb(在价值上)大于Vββ+Mββ,所以这种情况所以会发生,只是因为Cββ的一部分,即作为Cββ不变部分的那部分商品进入Cb的生产,并且只有Cββ的一部分才能进入Cββ的再生产,而另一部分则应转化为Ⅱβ商品的实物形式。Ⅱβ的这部分补偿Cββ部分的产品,是β这一产品超过它的构成Cβ的那个部分而形成的余额,也就是超过Ⅱβ为Cββ而生产的那个部分而形成的余额;这个余额等于Vβ+Mβ。如果这种情况不发生,那就只存在Ⅱββ类,而不存在Ⅱβ类了。
(3)因此,Ⅰb的产品价值=Vββ+Mββ+Vβ+Mβ+Vb+Mb。
但是,其次:
(4)Ⅰb的产品价值=Ma+Mαα+Mα+Mb+Mββ+Mβ。
因为社会剩余价值M(a,αα,α,b,ββ,β)等于Ⅰb的产品价值,或者等于资本家的消费基金。资本家的收入等于他们的消费基金的价值,正如工人的收入等于Ⅰa的产品价值,即等于工人的消费基金。
由此得出:
(5)Ma+Mαα+Mα+[Mb]+[Mββ]+[Mβ]=Vb+[Mb]+Vββ+[Mββ]+Vβ+[Mβ]FN35。
如果从这个等式的两边去掉Mb、Mββ和Mβ,那么只剩下:
(6)Ma+Mαα+Mα=Vb+Vββ+Vβ。
换句话说,Ⅰa+Ⅱαα+Ⅱα中所生产的剩余价值应当等于Ⅰb、Ⅱββ和Ⅱβ中花费在工资上的数额。
问题也可以很容易地这样解决:
Ⅰb的产品=(1)Cb+Vb+Mb,
或=(2)(Vββ+Mββ+Vβ+Mβ)=Vb+Mb。
全部产品由资本家的消费资料组成。这种产品的价值=资本家的收入量=所有各个类的资本家所消费的剩余价值量。在这一产品中,应由Ⅰb的资本家以实物形式消费的只有Mb、Mββ+Mβ,也就是Ⅰb、Ⅱββ、Ⅱβ这些类本身中所生产的剩余价值量。如果资本家消费过多,他们就要把Cb或Vb部分用作个人消费(公式)。
因此,他们就不可能在不变规模上继续进行生产。
扣除这部分进入资本家消费基金的产品以后,剩下的是Vb+Vββ+Vβ。这是Ⅰb的可变资本部分。但是这个部分是存在于这样的实物形式上,在这种形式上它不是被生产它的工人消费,而是被资本家消费。Ⅰb的资本家把这部分产品的价值以货币形式预付给工人。这些货币在Ⅰa内,进一步在Ⅱαα和Ⅱα之间进行分配。
因为Vb+Vββ+Vβ应以Ⅰa、Ⅱαα、Ⅱα的实物形式被购买(假定是简单再生产),所以很清楚,(Vb+Vββ+Vβ)应当等于(Ma+Mαα+Mα),因为(Vb+Vββ+Vβ)价值可以由Ⅰa、Ⅱαα、Ⅱα的资本家仅仅用他们花费在消费资料上的剩余价值额来补偿。
(在这全部论述中,无论是对Ⅰa、Ⅱαα、Ⅱα来说,还是对Ⅰb、Ⅱββ、Ⅱβ来说,下面这种情况完全是偶然的:例如,按照我们的假定,Va=Vαα和Vαα=Vα,同样Vb=Vββ和Vββ=Vβ;其次,Ma=Mαα=Mα和Mb=Mββ=Mβ。Va可以大于Vαα等等,Ⅱβ和Ⅱββ等等也是如此,唯一的规律是:
{Ca=(Vαα+Vα+Mαα+Mα);Cb=(Vββ+Vβ+Mββ+ Mβ);
最后:Mα+Mαα +Mα=Vb+Vββ+Vβ。)
[189]Ⅰa的产品=(1)Ca+[Va]+Ma=[Va]+Vαα+Vα+Vb+Vββ+Vβ。
如果我们从这个等式的两端取出Va,那就得出:
(2)Ca+Ma=Vαα+Vα+Vb+Vββ+Vβ。
因此:(3)[Vαα]+Mαα+[Vα]+Mα+Mα=[Vαα]+[Vα]+Vb+Vββ+Vβ;如果我们取出等式的同等成分,则得到:(4)Mαα+Mα+Ma=Vb+Vββ+Vβ。
因此,我们直接从Ⅰa以及Ⅰb等等会得到同样的结果。
Ca=Vαα+Mαα+Vα+Mα。
同样,Cb=Vββ+Mββ+Vββ+Mβ。
现在我们发现,Ⅰa、Ⅰb等等所有各类的流通所提供的货币使Ca得到实现,因而也服务于(Vαα+Mαα)+(Vα+Mα)的流通。相反,它为Cb提供的货币对于Cb的等价物(Vββ+Mββ+Vβ+Mβ)的流通来说却是不够用的。它提供的货币只够用来实现这一等价物中等于(Vββ+Vβ)的那一部分的流通。
但是实际上,在完成到Ⅰb的回流的货币中,在实现Ca+Ma的货币中,有一部分价值(=Ma)直接流往Ⅰb;另一部分等于Ca的价值在Ⅱαα、Ⅱα类中使等于Vαα+Vα的量游离出来,并经过Ⅰb把等于Mαα+Mα的另一个量送往Ⅱββ、Ⅱβ。
然而,因为Ma+Mαα+Mα=Vb+Vββ+Vβ,所以货币量由于Ca+Ma实现Vb+Vββ+Vβ而流通。
全部流通归根到底归结为等于Vαα+Vα+Vb+Vββ+Vβ的可变货币资本的回流,——正如起初实现Ⅰa的产品的货币量(扣除Ⅰa中所花费的并且流回到Ⅰa这里的Va)是由Ⅰa类以外的各个类中所花费的可变货币资本Vαα+Vα+Vb+Vββ+Vβ组成的一样。
在Ⅰa最初借以转化为货币形式的那些货币中——即全部已花费的可变资本量中——等于Va的那部分本身已被花费和吸收,因而不再进入总流通。等于Ma的另一部分直接流回到Ⅰb那里。这个Ma部分是否等于Vb部分,这是无关紧要的;如果它补偿不了Vb,Mαα+Mα就要大于Vββ+Vβ,——只要Ma+Mαα+Mα=Vb+Vββ+Vβ。所有这些货币起初都流到Ⅰb那里,因此Ⅰb先把Vb转化为货币,然后使余额继续流通。
相反,Ca(等于Vαα+Mαα+Vα+Mα)先经过这后两类,对Ⅰa和Ⅱαα之间,Ⅱαα和Ⅱα之间的流通发生影响,但是在它对这不同的各类之间的必要的产品交换发生影响以后,这些货币并不留在这些类中,而是补偿Ⅰb、Ⅱββ和Ⅱβ的可变货币资本,通过各种交换充当这一过程的媒介。
等于Ⅰ的货币基金是由所有各个类按其可变资本的相对量而依比例提供的。这一货币基金首先补偿Ⅰa本身中预付的Va;它实现(V+M)(Ⅱαα+Ⅱα),在这里留下V(Ⅱαα+Ⅱα),然后把等于Ma+Mαα+Mα的货币量送往Ⅰb,在这里直接实现Vb,尔后实现Vββ+Vβ。它的运动至此结束。它不再继续周转。它协助实现的Ⅰb、Ⅱββ和Ⅱβ之间的商品的所有其他各种换位,只是这样一些阶段,这些阶段充当可变货币资本回流的媒介,或者说,充当可变货币资本周转的媒介。
因此,正是可变货币资本成为这一切交易的媒介。
但是,在余额中还留有等于M(Ⅰb、Ⅱββ、Ⅱβ)的剩余价值部分,它不能靠这一货币资本实现流通,它的流通需要预付特别的货币量。
在实际运动中,货币例如可以在所有各个类中预付在剩余价值上,正如在所有各个类中都应当预付可变资本一样,同时运动是交错进行的。例如,Ⅱαα不必靠货币从Ⅰa回流而来购买剩余产品。但是情况并不因此而发生变化。已知流通的一定速度,那么,实际处于周转中的货币量和处于运动中的货币量不可能多于实现Ⅰa的全部产品所必需的货币(当然,交易的次数越频繁,充当周转媒介的循环次数越多,所需要的货币就越少),也就是可变资本+部分剩余价值(Ⅰb、Ⅱββ、Ⅱβ)转化为货币所必需的货币。因为在各个类中,各方面都把货币用于M,所以,或者必定更多地出现货币无益停滞的现象(因为流通的货币多于正常情况下的需要),或者更多地出现这样的现象:例如,Ⅰa、Ⅱαα和Ⅱα中在剩余价值上花费了货币,而在Ⅰb、Ⅱββ、Ⅱβ中不需要花费了。
[190]假定工资小于剩余价值
我们起先假定V=M,后来假定V>M。最后,假定V<M。
这样一来,如果说过去我们假定Ⅰa从300增加到350,Ⅰb从300减少到250,那么现在我们假定情况相反:Ⅰa从300减少到250,Ⅰb从300增加到350。
Ⅰa的产品价值=250镑(5/12工作日体现在250(Ⅰa)中,而7/12工作日则体现在350(Ⅰb)中)。(250∶350=5∶7。)生产300需要50镑劳动力,因此,生产250则需要41+(2/3)镑劳动力。
但是,Ⅰa中不仅使用的劳动力减少1/6,而且由于整个工作日的划分发生了变化,也就是说剩余劳动增加了,必要劳动时间减少了,所以所使用的劳动力的价格也下跌了。这也就是说,劳动总价格从300下跌到250,即下跌50,300∶50=6,即下跌1/6。
按原有价格41+(2/3)=VIa。应把这个[数字]除以6,再从41+(2/3)减去商数。
41+(2/3)的1/6=6+(17/18)。
41+(2/3),或〔41+(12/18)〕-〔6+(17/18)〕=34+(13/18)。
因此,Va=34+(13/18)=V34+(13/18)a。
其次,Va∶Ma=250∶350=5∶7。
因此,同样〔34+(13/18)〕∶Ma=5∶7。因此,Ma=48+(11/18)。
实际上,现在Ⅰa中的划分同过去Ⅰb中的划分是一样的,只是M和V互换了位置。过去Mb等于34+(13/18)(现在是Va等于这一数额)和Vb=48+(77/126)(=48+(11/18)),而现在是Ma等于这一数额。
因此,我们得出:
Va=34+(13/18)和Ma=48+(11/18)。
250-(Va+Ma)=166+(12/18)(或者,在前面第187页下半页FN36是166+(84/126))。

同样,我们得出:

V(a,αα,α)<V(b,ββ,β),所以——因为在这些类中使用较少的劳动力——M(a,αα,α)小于M(b,ββ,β)。
然而,尽管Ma等等的量小于Mb等等的量,但这并不会改变到处都遵循的比例V=5/7M(在所有各个类中)。Va的货币形式是34+(13/18),后者在Ⅰa中预付并流回到Ⅰa那里。
如果从250减去V34+(13/18),那么还剩下215+(5/18)。
Ca=V(αα+α)+M(αα+α)=V69+(8/18)αα+α+M97+(4/18)αα+α。
V(αα,α)留在Ⅱ(αα,α)中,而为了转化为货币而转到Ⅰb中的可变资本量则等于:
M48+(11/18)a+Mαα+Mα=3×〔48+(11/18)〕=145+(15/18)=3V(即Vb,Vββ,Vβ)。
和以前同样的一条规律得到证实:
Ma+Mαα+Mα=Vb+Vββ+Vβ。
过去已经表明,Ⅰb、Ⅱββ和Ⅱβ的剩余价值流通所必需的货币量较少,因为工资较多,而且总流通的较大部分是工资的流通所需要的;现在,Ⅰb、Ⅱββ和Ⅱβ的剩余价值的流通扩大了,而在充当C166+(12/18)a或整个Ca和Ⅱαα、Ⅱα之间的流通媒介的货币量中,只有少部分用于V,而大部分用于实现M(αα,α),用于同Ⅰb之间的流通。
[191]我们先把到此为止所获得的结果列一个总表:
(Ⅰ)V=M。
Ⅰ(a)C200a+V50a+M50a
+Ⅰ(b)C200b+V50b+M50b
(=300镑)
(=300镑)
Ⅱ(αα)=C200αα+V50αα+M50αα +Ⅱ(ββ)=C200ββ+V50ββ+M50ββ
(=300镑) (=300镑)
Ⅱ(α)=C200α+V50α+M50α +Ⅱ(β)=C200β+V50β+M50β
(=300镑) (=300镑)
|
(Ⅱ)V>M。
(α)V=2M。
Ⅰ(a)C266+(6/9)a+V88+(8/9)a+M44+(4/9)a +Ⅰ(b)C133+(3/9)b+V44+(4/9)b+M22+(2/9)b
(=400镑) (=200镑)
Ⅱ(αα)=C266+(6/9)αα+V88+(8/9)αα+M44+(4/9)αα +Ⅱ(ββ)=C133+(3/9)ββ+V44+(4/9)ββ+M22+(2/9)ββ
(=400镑) (=200镑)
Ⅱ(α)=C266+(6/9)α+V88+(8/9)α+M44+(4/9)α +Ⅱ(β)=C133+(3/9)β+V44+(4/9)β+M22+(2/9)β
(=400镑) (=200镑)
(β)V=7/5M。
Ⅰ(a)C233+(6/18)a+V68+(1/18)a+M48+(11/18)a
+Ⅰ(b)C166+(12/18)b+V48+(11/18)b+M34+(13/18)b
(=350镑) (=250镑)
Ⅱ(αα)=C266+(6/18)αα+V68+(1/18)αα+M48+(11/18)αα
+Ⅱ(ββ)=C166+(12/18)ββ+V48+(11/18)ββ+M34+(13/18)ββ
(=350镑) (=250镑)
Ⅱ(α)=C233+(6/18)α+V68+(1/18)α+M48+(11/18)α
+Ⅱ(β)=C166+(12/18)β+V48+(11/18)β+M34+(13/18)β
(=350镑) (=250镑)
(Ⅲ)V<M(V=5/7M)。
Ⅰ(a)C166+(12/18)a+V34+(13/18)a+M48+(11/18)a
+Ⅰ(b)C233+(6/18)b+V48+(11/18)b+M68+(1/18) b
(=250镑) (=350镑)
Ⅱ(αα)=C166+(12/18)αα+V34+(13/18)αα+M48+(11/18)αα
+Ⅱ(ββ)=C233+(6/18)ββ+V48+(11/18)ββ+M68+(1/18)ββ
(=250镑) (=350镑)
Ⅱ(α)=C166+(12/18)α+V34+(13/18)α+M48+(11/18)α
+Ⅱ(β)=C233+(6/18)β+V48+(11/18)β+M68+(1/18)β
(=250镑) (=350镑)
|
起点应当是Ⅰ(V=M),因为在这里问题看起来最简单。如果这里假定,——以及在(Ⅱ)和(Ⅲ)中,——劳动力的剥削程度相同,那么,当Ⅰa、Ⅰb等等本身只是各工业部门的联合体时,序列就更加表现为平均比例,在这种比例中,偶然的、个别的差异——不论是同一部门内的个体资本家之间,还是单个部门之间的差异——就被平均量消除了。
如果V=M,那么Ⅰa的价值等于Ⅰb的价值;其次,Va=Ma和Vb=Mb。但是,由此不能得出结论说,Ⅰa和Ⅰb的产品价值具有相同的构成。例如,Ⅰb可能是C250b+V25b+M25b;但这时(Vββ+Mββ)应比(Vβ+Mβ)大50,因为C250b=(V+M)(Ⅱββ,Ⅱβ)。
{这样我们就会得出:
Ⅰ(b)C250b+V25b+M25b。
Ⅱ(ββ)C250ββ+V62+(1/2)ββ+M62+(1/2)ββ。
Ⅱ(β)C250β+V62+(1/2)β+M62+(1/2)β。
Ⅰb等等中的这种不同划分丝毫不会改变这里所考察的比例。Vb、Vββ、Vβ的价值量仍然等于Ma、Mαα、Mα,尽管每一单个的V都不等于单个的M。}
其次,必须指出,(V+M)(αα,α)对C(αα,α)之比和(V+M)(ββ,β)对C(ββ,β)之比可能不同,也就是说,在这些番号下再生产出来的生产资料价值可以有不同的量,例如,这个量在Ⅱαα+Ⅱα中比在Ⅱββ+Ⅱβ中大。
这也丝毫不能改变建立在M和V到处相等这一基础之上的比例,等等。(同样,Ca=(V+M)(αα,α)和(Ma,Mαα,Mα)=(Vb,Vββ,Vβ)等等。)
{在各分类中,例如在Ⅱαα、Ⅱα中,即使这里所考察的比例不变,也可以有其他构成[Arrangement]。在这里规律所决定的唯一一点就是:Ca=(V+M)αα+(V+M)α。例如,假定(V+M)αα<(V+M)α。例如,Ⅱαα=C200αα+V40αα+M40αα。
在这种场合,同过去一样,Ⅱαα类应卖给Ⅰa类200。又:Ⅱ(αα)C100αα+C120αα+V40αα+M40αα。等于200的C120αα+V40αα+M40αα补偿不变资本Ca。但是,C120αα应由Ⅱα得到补偿,从而应等于(V+M)α。
因此,我们可以得出下列构成:
Ⅰ(a)C200a+V50a+M50 a
Ⅱ(αα)C200αα+V40αα+M40αα
Ⅱ(α)C180α+V60α+M60α。}
(顺便看一下,如果假定的是一般利润率,情况将会是怎样的。预付总资本=C600+V150=750。
总剩余价值=150。
因此,M/(C+V)=150/750=1/5=20%。
因此,Ⅰa的产品具有平均构成,并以300镑出售。Ⅱαα=220+40=260,V=40。M/(C+V)=40/260=15%。这以后再研究。)
(在Ⅱa中,利润率会是25%。)
[192]回头来谈(Ⅰ)(V=M)。
Ⅰa的价值产品等于Ⅰb的价值产品,工人消费基金的价值等于资本家消费基金的价值;所以,它们的流通所必需的货币量也相等。
在Ⅰa、Ⅱαα等等各单个类中V=M。
因为在进一步的分析中Ⅰ(a)的产品价值等于(V+M)Ⅱαα+(V+M)Ⅱα+(V+M)Ⅰa,等于生产必要生活资料所花费的全部活劳动;同样,Ⅰb的产品价值等于(V+M)Ⅱββ+(V+M)Ⅱβ+(V+M)Ⅰb,等于生产资本家的消费资料所花费的全部劳动。
其次,因为Ⅰa的产品价值等于Ⅰb的产品价值,所以,社会工作日的1/2用在必要生活资料的生产上(在Ⅰa,Ⅱαα,Ⅱα中),而社会工作日的另一半则用在资本家生活资料的生产上(Ⅰb,Ⅱββ,Ⅱβ中),或者说两大分类中使用同量的活劳动。
因为假定劳动力的剥削程度相同,所以,进一步也就假定Ⅰa和Ⅰb中的劳动时间相同,两个类以及分类中所使用的工人人数相同。
平均每个男子的工作日每天为t(劳动小时)。年工作日=t×n(日劳动乘以一年的天数),t×n=T,平均工人即平均劳动力的年工作日。因此,社会工作日=T×n(平均年工作日乘以平均劳动力数(N),在这里,例如一个平均男劳动力=X个妇女劳动力或Y个儿童劳动力)。
因此,如果Ⅰa等等和Ⅰb等等中各使用一半社会工作日,那就得到T×N/2,或T×(N/2)也就是说,它们之中每一类都使用社会所使用的平均劳动力的半数。
工作日等分为V和M——必要劳动和剩余劳动,——这对单个工人来说意味着他在1/2工作日中为自己劳动,在1/2工作日中为资本家劳动。
Ⅰa的价值(工人消费基金)和Ⅰb的价值(资本家消费基金)相等,这说明社会工作日在它们两者之间分为两个相等的部分,Ⅰa等等和Ⅰb等等使用等量工人(因为假定平均劳动力的剥削程度相同),或者说,两个类和分类各使用一半社会劳动力,也就是说,各使用一半平均的——化为同一尺度的——社会劳动力。
这是个重要情况,它向我们表明,M/V从社会方面来看的比例不仅表现在单个工人的工作日划分上,而且也表现在Ⅰa等等和Ⅰb等等生产部门之间劳动力数量的分配比例上(这种情况往往被忽视)。
其次,这里应当指出,在Ⅰ(V=M)的假定下,劳动力V(a,αα,α)=150镑(是社会劳动力的一半),并且这里的工作日一半构成V,一半构成M,从而生产价值300=V150+M150,也就是再生产V150(a,αα,α)+M150(a,αα,α),再生产总社会劳动力,即它所必需的生活资料。诚然,它的工作日分为V150(a、αα、α)+M150(a、αα、α)。所以,如果考察它本身和使用它的人,那么,它的工作日的1/2是由必要劳动和1/2是由剩余劳动组成的。但是,Ma以及Va都由Ⅰa的产品组成,即由形成Ⅰa的工人消费基金的产品组成。但是,进入Ⅰa等等资本家消费基金的,不是Ma产品本身,而只是这一产品的价值,出售这一产品所得到的货币。
产品本身进入工人(Ⅰb,Ⅱββ,Ⅱβ)的消费。这是工人借以实现自己的工资的基金,相反,工人借以实现自己的必要劳动的Ⅰb等等的产品价值部分却存在于进入Ⅰa等等资本家消费基金的使用价值中,即产品中。{资本家在这一产品中实现自己的等于价值V(b,ββ,β)的剩余价值。}
因此,劳动力V150(Ⅰa,Ⅱαα,Ⅱα)首先为自己完成必要劳动;形成它的剩余劳动、从而形成归它的资本家所有的剩余价值的东西,是同Ⅰb、Ⅱββ、Ⅱβ中所使用的劳动力的必要劳动时间相等的劳动时间。
因此,从社会角度来看,劳动力V150(Ⅰa等等)只完成必要劳动;它在一半工作日中生产本身的生活资料,它在另一半工作日中生产那些从事Ⅰ等等的消费基金生产,即从事资本家的消费基金生产的工人的生活资料。另一方面,劳动力V150(Ⅰb等等)只完成——如果从社会角度来观察问题——剩余劳动。他们的任何一部分产品都不进入他们自身的消费,也不进入Ⅰb等等的工人的消费。
Ⅰa等等的工作日等于1/2社会工作日;它等于Va等等+Ma等等。同样可以说,1/2社会工作日等于Va等等+Vb等等。
Ⅰb等等的工作日等于1/2社会工作日,它等于Vb等等+Mb等等,其余1/2社会工作日等于Ma等等+Mb等等。
假定生产率、工作日的强度和长短,简言之,劳动过程的一切条件不变,那么,随着V价值的增长,即随着等于必要劳动时间(工人为自己劳动的劳动时间)的工作日部分的增加,实际工资也增加,而工人的剩余劳动则相应减少。也就是说,单个工人不仅得到自己产品的更大部分价值,而且也得到他所生产的更大部分的产品,因为一定劳动时间生产的产品量不变。
[193]我们刚才看到,如果Ⅰa=Ⅰb,那么V=M。
现在我们假定V>M;至于前者大于后者的比例如何,这是无关紧要的,这一点在对Ⅱα和Ⅱβ进行比较时已经得到证明。为简便起见,我们假定Ⅰa中V从300增加到400;因而M从300减少到200,因此,Ⅰa(400)等于2(Ⅰb)(200),或V=2M。
刚才已经说明,如果Ⅰa=Ⅰb或V=M,那么,单个工人不仅在一半工作日中完成必要劳动,一半工作日中完成剩余劳动,而且一半社会劳动力即半数平均工人使用在Ⅰa中,另一半则使用在Ⅰb中。
总社会工作日等于TN,即平均工人年工作日(T)乘以平均工人人数。因此,如果说一半社会工作日消耗在Ⅰa等等类中,另一半消耗在Ⅰb等等类中,那么这就是说,这两个领域和分类分别使用T×(N/2)。
因此,如果2/3社会工作日用来生产工人的消费资料,也就是说,被工人花费在自己身上,而1/3用来生产资本家的消费资料,那么,Ⅰa、Ⅱαα、Ⅱα中是T×(2/3N),Ⅰb、Ⅱββ、Ⅱβ中则是T×(1/3N)。
因此,如果对各单个部门和各单个企业中的工人来说,V=2M这个比例(或工资提高1/3)表现为工人将在2/3或4/6的工作日中为自己劳动,在1/3或2/6的工作日中为厂主劳动,而他过去是在1/2(=3/6)工作日中为自己劳动,在1/2(=3/6)工作日中为厂主劳动,那么,这个事实同时表现为这样一点:Ⅰa、Ⅱαα和Ⅱα中现在使用2/3或4/6总劳动力,而Ⅰb、Ⅱββ、Ⅱβ中只使用1/3或2/6总劳动力。
所以,我们看到:(1)如果考察的是各单个领域,那么,V=2M,而不是过去的V=M。
例如,Ⅰa中V=88+(8/9)和M=44+(4/9),或Ⅰb中V=44+(4/9)和M=22+(2/9)。(V=2M这个比例是偶然的,这里所以出现这个比例,是因为V增加1/3,而M减少1/3。)
(2)Ⅰa等等使用(2/3)×400(即2/3的劳动力)和Ⅰb等等使用(1/3)×400(即只有1/3的劳动力),而过去,在发生这种变化以前,劳动力在Ⅰa、Ⅱαα、Ⅱα和Ⅰb、Ⅱββ、Ⅱβ之间是平均分配的。
其次可以看出:
(3)由于Ⅰa、Ⅱαα、Ⅱα使用的劳动力的数量增加了,而Ⅰb、Ⅱββ、Ⅱβ使用的劳动力的数量相反减少了,所以Ⅰa等等生产的剩余价值量也增加了,而在Ⅰb等等中则减少了。这种价值量过去在Ⅰa等等和Ⅰb等等之间是平均分配的。
过去,Ⅰa、Ⅱαα、Ⅱα生产的剩余价值量等于150镑,Ⅰb等等生产的剩余价值量也=150镑。现在,Ⅰa、Ⅱαα、Ⅱα生产的剩余价值量等于133+(3/9)镑,而Ⅰb等等生产的剩余价值量,等于66+(6/9)镑(加在一起是200镑)。
因此,生产的剩余价值总量减少了(因为Ⅰb从300减少到200,而Ⅰb的价值等于生产的剩余价值量),而工人的收入总量增加了,于是随之出现这样一种现象:在这种减少了的剩余价值量中(由于在其他生产条件完全不变的情况下剩余价值率下降了),Ⅰa等等所生产的部分大于Ⅰb等等所生产的部分。尽管在Ⅰa等等中生产的剩余价值量也减少了,但是在Ⅰa等等中生产的剩余价值部分同Ⅰb等等中生产的剩余价值部分相比是增大了。
这是一种重要的和值得注意的现象。
(4)最后,Ⅰa等等使用的不变资本部分同Ⅰb等等使用那一部分相比是增大了。在这里,增大的比例如何是无关紧要的。无论如何,首先:
Ca{=Ⅱαα(V+M)+Ⅱα(V+M)}>Cb{=Ⅱββ(V+M)+Ⅱβ(V+M)}。
至于所使用的总不变资本,那么它等于Ⅰa等等(266+(6/9))×3+Ⅰb等等(133+(3/9))×3=Ⅰa等等(800)+Ⅰb等等(400)。总共为1200镑。
过去,在V=M的场合下,不变资本等于Ⅰa等等(200×3)=600和Ⅰb等等(200×3)=600。总共为1200镑。
所使用的不变资本量相同,在两种场合都等于1200镑,不过其中的2/3=800镑现在用于Ⅰa等等,只有1/3=400镑用于Ⅰb等等,而过去是600镑用于Ⅰa等等,600镑用于Ⅰb等等。
因此,不是不变资本增加了,而只是不变资本在Ⅰa等等和Ⅰb等等之间的分配发生了变化。
资本只有一部分增加了,这就是资本的可变部分。
现在资本的可变部分等于Ⅰa(266+(6/9))+Ⅰb(133+(3/9))=400,而过去它等于300镑{=Ⅰa等等(150镑)和Ⅰb等等(150镑)}。
首先,至于增大了的价值V,那么,这在这里无非表明价值M按同一数量缩减了。所使用的劳动力的数量以及所消耗的劳动的数量仍旧不变。
社会消费资料价值总量仍旧不变。只是这一价值中以工人消费资料形式生产的部分增大了,而以资本家消费资料形式生产的部分减少了。实际上,必要生活资料既组成Ⅰb部分,也组成Ⅰa部分。但是,Ⅰb有很大一部分是由奢侈品组成的。在分配发生变化的情况下,以必要生活资料形式存在的社会消费基金部分增大了,以奢侈品形式存在的部分减少了。
最后,至于作为可变资本预付的货币资本,那么在V=M的场合下,这一资本在Ⅰa和Ⅰb之间是平均分配的。现在,(1)Ⅰb中预付在V上的货币资本小于Ⅰa中的同一资本,而Ⅰb中预付的绝对量小于过去的绝对量。Ma等等应小于Va等等,因为V>M;但是,Ma=Vb等等。因此,现在Ⅰb中预付的货币资本应在绝对表现上小于V=M的场合。
然而,Ⅰa等等中所预付的货币资本(预付在Va等等上)增大的程度,应大于Ⅰb等等中所预付的货币资本减少的程度。因为Va+Vαα+Vα+Vb+Vββ+Vβ现在比过去增大(增大1/3,因为Ⅰa从300增加到400),而Vb、Vββ、Vβ比过去减少,所以,Va+Vαα+Vα的增大程度不应等于Vb、Vββ、Vβ的减少程度,而是前者应当大于后者。否则,Ⅰa不会大于V=M的场合下的Ⅰa。
[194]过去是:作为可变资本预付的货币资本为300镑,剩余价值为75镑,[总共]为375镑;现在是:可变货币资本为400镑,剩余价值为37镑,总共为437镑;也就是说,现在可变资本增加100镑。
实际上(不用说,在这里同商品价值相比,假定的流通额过于多了,这样,实现剩余价值流通的货币同实现V流通的货币之比是太小了),虽然Ca等等=(V+M)(Ⅱαα,Ⅱα),但是在Ⅱα、Ⅱαα等等中,在Ⅰa向Ⅱαα、Ⅱα购买不变资本前,总有一些货币作为剩余价值的流通储备而存在。不过这一点以后再较详细地说明。
如果Ⅰa>Ⅰb,那么,在所有情况下都要求有增多的货币用于V的流通和减少的货币用于M的流通。起初充当剩余价值的流通手段的那部分货币,现在充当工资的流通手段,因而具有货币资本的形式。
可见,如果V流通需要更多的货币,那么,其中相当一部分要靠这样一些货币来提供,这些货币对于剩余价值的流通来说已成为多余的。
如果没有这种多余的货币,那么它的形成,——在纯金属流通的情况下,——就要靠动用闲置的贮藏货币。
在这种分配发生变化的条件下,正如情况所表明的,问题不仅仅在于现存的消费基金单纯在分配上发生变化,或进入社会消费基金的社会年产品部分在分配上发生变化。人们通常是这样看的。问题在于消费基金的各种形式的分配发生变化,在于这种基金借以存在的使用形式,在于各生产领域中的劳动力的分配发生变化,最后,在于不变资本的分配发生变化。
总之,由于上述情况下的这种变化,Ⅰa会从300增加到400,即增加1/3或〔33+(1/3)〕%。预付的不变资本(在价值上)会仍旧不变。所使用的劳动数量仍旧不变。预付的可变资本会增加,不过(因为我们只考察它的物质基质),这无非表明会有更多部分的消费基金采取工人消费资料的形式,而采取资本家消费资料形式的则减少了。
如果由于资本积累而达到同样的结果,那么(在V∶M的比例不变的情况下):
原来等于1500镑=C1200+V300的资本生产300M。因此,如果V从300增加到400,那么M也会增加,因而我们就会得到:
300∶1500=400∶X。X=(1500×400)/300=2000。
现在资本就会是:C1600+V400+M400。或者说,资本就会从1500增加到2000,即增加1/3=〔33+(1/3)〕%。
资本增加1/3是很多的,这需要时间,更不必说,这会伴随有这样一些情况和运动,它们使人们不得不怀疑,现在由V400代表的劳动力的状况,是不是比过去由V300所代表的劳动力的状况更加糟糕。
资产阶级社会的机制使得例如Ⅰ(V=M)和Ⅱ(V>M)(如Vα=2Mα)(第191页FN37)场合下表现出来的变化伴随有这样一些状况,这些状况会使这些变化失去作用,甚至会排除这些变化。
总之,如果我们比较Ⅰ(V=M)和Ⅱα(V=2M),那么这就是假定一切生产部门的工资同时都提高1/3。
Ⅰa中的更大部分产品(这里我们先撇开对外贸易)由食品组成,这些食品应当是为下一年而生产的,——至少应当存在于生产食品的原料形式上。对食品的需求猛增。Ⅰa等等的利润现在也相应地猛增。简言之,资本和劳动力应从Ⅰb等等被抽出,转往Ⅰa等等。随着这种变化,在Ⅰb等等中会出现障碍。首先,对这种产品的相当大一部分的需求下降(因为这种产品中只有相对不大的一部分从Ⅰb产品转化为Ⅰa产品,也就是说,现在由工人而不是由资本家购买)。只要发生这种情况,这就意味着同一产品(和资本以及生产这种产品的工人)只是从Ⅰb转到Ⅰa。这一产品无非不是算在这个类中,而是算在另一个类中,因为M减少,而在新的条件下在Ⅰb等等中出现生产过剩。这种衰退影响Ⅰb等等中的工人的就业。他们的工资不会增加,反而会减少,因为他们转移到Ⅰa的速度赶不上他们在Ⅰb等等中被游离出来的速度。(由于一定的分工使他们从属于一定的企业,这就部分地增加了这种转移的困难。)另一方面,他们的工资的降低会阻碍对Ⅰa本身的需求的增长。于是,会发生意想不到的变化,这种变化至少会局部地妨碍上述变化。
Ⅰb等等的产品的一部分是由资本家的家奴、仆役等等,简言之,是由非生产劳动者所消费的必要生活资料组成的。他们之中一部分人由于M减少1/3而被解雇。(但是,如果考察的是整个资本家阶级,也就是全体占有剩余价值者,那么,这并不具有初看起来会具有的那种意义。参看1861年英国关于人口问题的报告51。)一部分被解雇的人——工人子女等等——在成年时由他们的父母自己使用比去当仆役等等可能更为合理:他们进入劳动力市场,也就是进入Ⅰa等等的劳动力市场。这首先只是对Ⅰb的一部分多余的工人在这里勉强度日这一状况的一种补偿。简言之,如果考虑到,一方面资本家阶级可以监督生产,另一方面Ⅰb中所使用的生产工人和一部分参与Ⅰb的产品消费的非生产劳动者的游离,可以引起对过程本身的反作用,那么,这样的变化会遇到困难,相对说来它不可能发生,也就容易理解了,特别是在作出下述假定的情况下:工作日的生产率、强度和长短保持不变。至于在应用机器等等,即应用进一步游离劳动力的手段时,工资的提高所引起的反作用,这在这里还没有提到。
这就是每一这样性质的迅速的和普遍的变化在途程中会遇到的障碍,而这种障碍是资本主义生产机制所固有的;如果这种变化只是逐步地和局部地发生的,那么,资本主义生产对这种变化所自发造成的各种障碍就只是逐渐积累起来的,而正是这些障碍常常被资产阶级经济学家看作事情根本不可能发生的证明。由此只能得出一个结论:需要有普遍的措施以抵制我们的自发机制的作用,即使这些措施不能立即改造这种作用,也会引起突然的、显著的变化,从而破坏、削弱这种机制所固有的反抗力量,并因而促进沿同一方向进一步发生的变化。
如果我们现在把Ⅲ(V<M)同Ⅱ、Ⅰ加以比较,那么这里就会看到相反的现象,或相反方向的变化。
[195]Ⅰb>Ⅰa。一切生产领域中V<M。Ⅰb中生产的剩余价值量大于Ⅰa。Ⅰb中吸收的劳动力比Ⅰa多。Ⅰb中吸收的不变资本比Ⅰa多。
至于预付的可变货币资本,那它等于250镑(不是Ⅰ场合下的300,也不是Ⅱ场合下的400)。此外,按原有规模计算,剩余价值的流通需要〔34+(2/18)〕+〔68+(1/18)〕=102+(3/18)=102+(1/6),假定为103镑。流通货币总量等于353镑。
※ ※ ※
劳动基金。首先应指出:这里有一种流行的看法,认为所谓劳动基金固定不变。在年社会产品价值量不变的情况下,这种劳动基金可以等于300、400、350、250等等。它可以下降得大大低于劳动力的价值,直到达到绝对的最低额,它也可以上升并高于后者等等,——可以产生各种不同的变化。但是,认为它是固定不变的量,这是政治经济学的主要教条之一!
[(f)对社会资本的流通和再生产进行研究时的抽象前提和实际过程]
首先要问,以上论述在多大程度上不是以纯抽象的和同现实相抵触的假设为基础的呢?
显然,这种抽象地划分为Ⅰa等等(工人消费资料的生产)和Ⅰb等等(资本家消费资料的生产)的现象,在现实中是不存在的。
当然,必要生活资料构成工人消费资料的最大部分。但是,它们在很大程度上也进入资本家的消费。很大一部分食品不论对工人来说或对资本家来说都是一样的。燃料也是这样。在所有其他方面,即使这是同一类别的产品,如住房、衣服、家具等等,那也毕竟是类型不同的产品。另一方面,某些奢侈品也进入工人消费(虽然就整个阶级的平均水平来说,并且例如衡量一下花费在烧酒等等上面的是多么多,而花费在子女吃穿等等上面的是多么少,那么情况就完全不是这样)。
不变资本的大部分是一样的,这就是原料、机器、工具、厂房等等。有的地方机床不同,但是建筑物、发动机和传动装置等等相同。这实际上说明,不变资本从Ⅰa转到Ⅰb以及从Ⅰb转到Ⅰa所遇到的困难,比起由于分工而片面发展的劳动力的转移来要小得多。
这同上述各规律是否相矛盾呢?
首先,Ⅰa的基金和Ⅰb的基金在物质形态上,在使用形式上仍有很大差别。前者大部分由必要生活资料组成,后者有很大一部分由奢侈品组成,也就是由这样一些产品组成,这些产品的一部分在生产力的既定发展下和既定的劳动力下本来是完全不必生产的,一部分本来应以极小的规模生产,如果生产者同时就是自己的产品的消费者的话。
只要观察一下总图式,就可以看到,最大的困难来自这样一点:同一资本家既属于Ⅰa类别,又属于Ⅰb类别。例如,资本主义耕作者既生产进入Ⅰa的消费基金的谷物,又生产进入Ⅰb的消费基金的谷物。因此,Ⅰa生产的剩余价值的一部分为Ⅰa中的剩余价值的资本主义生产者本身所消费,无须使这部分剩余价值先从Ⅰa的实物形式转化为Ⅰb的实物形式。因此,Mαα(以及Mα)的一部分无须先在Ⅰb等等中实现,因而Mα不一定要等于V等等(Ⅰb等等)。
最好还是考察一下已发现的具有普遍形式的规律,看看这些规律同图式的一定形式有多少联系,或者更确切些说,一定的形式是否使这些规律表现得更加明显。
(Ⅰ)按照图式(例如ⅠV=M)(第191页FN38),工人消费基金的价值等于生产过程的所有部门所使用的社会劳动力的价格。(在这种场合下,它等于V(a,αα,α)+V(b,ββ,β)。)另一方面,资本家消费基金的价值等于所有部门所生产的剩余价值总量。所以,用于个人消费的产品价值总量等于社会所消耗的可变资本价值总量V(a,αα,α+b,ββ,β)+M(a,αα,α+b,ββ,β),也就是等于年社会工作日的价值产品。
这一原理同把Ⅰa等等和Ⅰb等等看作社会生产过程的两大各自独立的分类这一点绝对无关,而在图式中原来是这样划分的。
不管社会消费基金的使用价值的物质形态如何,从而作为构成这种基金的各种要素的源泉的特殊生产过程的物质形态如何,这一基金的价值总是等于V+M,在这里V是所使用的全部劳动力的价格,等于工作日必要部分的价值产品,M是剩余价值总量,等于已消耗的剩余劳动的价值产品,而V+M等于年社会工作日的价值产品。
(Ⅱ)同样明显的是,如果全部消费基金例如等于600(象上述场合那样),并且这600按其价值组成部分分解为C400+V100+M100,那么,这里包含的资本不变部分C400应[等于](VⅡ+MⅡ)400,后者是在这样一些生产领域中生产出来的,这些领域提供——直接或间接地——各种构成消费基金的商品的生产资料。这些存在于消费资料形式上的C400(Ⅰ)应同存在于生产资料形式上的(VⅡ+MⅡ)相交换。
单是由于消费基金价值分解成所有生产部门的(V+M)这一情况,就可以得出上述结论。
因此,消费基金价值等于V300+M300,在这里V300是所有各个类的V,而M300是所有各个类的M。
其次,这种消费基金价值等于C400Ⅰ+V100Ⅰ+M100Ⅰ。在这里,我们用CⅠ表示消费基金价值中资本不变部分;其次,VⅠ和MⅠ是消费资料生产领域本身中所创造的V和M的价值。
[196]因此,由于C400Ⅰ+V100Ⅰ+M100Ⅰ=V300+M300,所以,C400Ⅰ(=V300+M300)-(V100Ⅰ+M100Ⅰ),也就是说,V300+M300=V200x+M200x+V100Ⅰ+M100Ⅰ。
因此,C400Ⅰ=(Vx+Mx)400,也就是说,消费资料的不变资本部分的价值等于可变资本部分加生产资料的剩余价值。
或者总的说来,如果消费资料价值等于W,而这个
W=Ca+Va+Ma(这里Ca是资本不变部分,Va是资本可变部分,Ma是Ⅰ这个领域的剩余价值),
那么,Ca=W-(Va+Ma),即等于(Vb+Mb),这里Vb是所有领域(不包括Ⅰ(a))创造的V,而Mb是所有领域(不包括Ⅰ(a))创造的剩余价值。
其次,现在很清楚,Ca(这里就是C400Ⅰ)首先应当同直接进入消费资料生产的生产资料相交换,或者换句话说,同构成不变资本Ca的实物形式的生产资料相交换(通过这种生产资料得到补偿)。Ca恰恰应当从产品——消费资料——形式重新转化为自身的实物形式,也就是转化为这种产品即消费资料的生产资料。
因此,如果我们用b1表示这种生产资料,那么,Ca首先应当由同一价值的b1这种生产资料来补偿(也就是说,这种生产资料的价值等于Vb+Mb)。(因此,在当前的场合,由商品b1来补偿,其总量为Vb+Mb=400。)
如果现在b1领域中的V+M等于Vb+Mb,也就是等于完全在Ⅰa领域以外生产的V+M的总量,那么,伴随再生产而进行的流通过程(各领域之间的交换)就会达到自己的目的。
但是,在囊括一切生产(Ⅰa商品的)直接生产资料的工业部门的b1这一领域以外,还存在其他生产领域,它们生产b1领域的生产资料。因此,Vb+Mb的价值应大于Vb1+Mb1的价值;因此,由于用来补偿Ca的商品b1的价值大于Vb1+Mb1,所以同Ca相交换的商品b1的一部分应当构成产品b1的价值不变部分的一部分;Cb1价值中应靠Cb2来重新补偿的部分。
这个应靠Cb2来补偿的Cb1部分只能等于(V+M)b2,正如过去Ca等于(V+M)b一样。(假定为Cb1提供生产资料的一切工业部门都合并在b2领域中。)
(b)的商品量等于(V+M)b即Ca,出售给(a)[类]。但是,这个量大于(V+M)b1,也就是大于b1产品中可以花费在消费资料上的价值部分。因为Ca>(V+M)b1,所以出售给(a)[类]的有Cb1的价值不变部分的一部分,这部分通过同b2交换而重新以自己的实物形式得到补偿;因此,首先转入b1的消费资料(a)或它们的价值(等于Ca),——由于这一价值大于(V+M)b1,——实际上从b1转往b2,而b2反过来提供应重新得到补偿的Cb1部分。同Cb1部分这样相交换的b2的价值部分,应等于(V+M)b2,因为b2只应当用(V+M)b2同消费资料相交换。如果同b2这样相交换的Cb1部分大于(V+M)b2,那它就会包括Cb2的这样一个部分,这个部分又应当同商品b3按(V+M)b3的数额相交换等等,——直到算完而无余数为止。因此,为明显起见,只须假定在b1类外,还存在b2类,因而(V+M)b1+(V+M)b2=(V+M)b,也就是等于归结为(a)的直接的和间接的生产资料的全部V+M的价值总量。
因此,过程是这样的:Ca完全同Cb1/X(即一部分Cb1)+
(b的商品)相交换。
Cb1/X从Vb2+Mb2得到补偿,为此b2提供Ca的等于Cb1/X的价值部分。
因此,实际上(V+M)b1+(V+M)b2靠Ca得到实物补偿,而Ca靠价值等于Cb1/X+
的b的商品来补偿,而Cb1/X则靠价值为(V+M)b2的b2的商品来补偿。
因此,等于Ca的那部分消费资料在(Vb1+Mb1)+(Vb2+Mb2)之间,即在(V+M)b之间的分配,使(a)的全部不变资本从(b1)得到补偿,使(b1)的部分不变资本从(b2)得到补偿。
(Ⅲ)因此,在这个运动完成以后:
(1)消费资料总量——(a)的全部产品——在(a)、(b1)和(b2)类工人同资本家之间进行分配。(Va+Ma)由(a)的生产者以实物形式占有,而等于Ca的(a)的产品价值部分是这样分配的:它的数额为Vb1+Mb1的部分归入b1类,而数额为Vb2+Mb2的另一部分归入b2类。全部社会收入被分配。
另一方面,以实物形式得到补偿的是:
 |
Ca(由b1类补偿)
Cb1(部分由自己的产品组成,部分由b2得到补偿)
Cb2(由自己的产品组成)。
|
还可以进行的唯一的流通,就是b1类内部(在构成这个类的各生产领域之间)和b2内部的流通;Cb1和Cb2之间还可以发生局部的交换。
因此,这全部流通只是在b1和b2类的不变资本之间进行的。
在(a)、(b1)和(b2)之间发生流通,直到Ca得到实物补偿,并且(V+M)(b1和b2)实现在(a)的消费资料上。因此,正是这种交换——也就是这后一种交换——的现象,使得亚·斯密等人据以得出错误的看法。
[197]Ⅰ(a)C50a(W)+C350αα(W)+V100a(货币)+M100a(W)
Ⅱ(αα)C250αα(W)+C200α(W)+V100αα(货币)+50镑货币
+
50镑消费基金
Ⅱ(α)C400α(W)+V100α(货币)
+
剩余价值流通所必需的50镑。
Ⅱαα用50镑购买WⅠa,Ⅰa用50镑购买WⅡαα,Ⅱαα预付的50镑最终流回到Ⅱαα那里。
我们得出:
Ⅰ(a) C400a(αα的生产资料形式)
+
V100 a(货币形式)
+
M100a(W)
(假定50镑用于这个类中的M100 a的流通)
Ⅱ(αα) C200αα(W)+C200(a的商品的生产资料形式)
+
V100αα(货币)
+
剩余价值流通所必需的50镑货币。
Ⅱ(α) C400α(W)+V100α(货币)
+
剩余价值流通所必需的50镑。
总起来说,这里预付在流通上的是:支付工资V(a、αα、α等等)的300镑和用于剩余价值流通的150镑(Ⅰa中50镑,Ⅱαα中50镑,Ⅱα中50镑)。
同过去一样,Ⅱαα和Ⅱα中预付在V+M的流通上的货币应足以使C400α从(a)的商品(消费资料)形式重新转化为它们的(αα)的生产资料形式;其次,足以使V100αα(作为αα的工人的收入)同(a)的商品相交换;以及足以使V100αα的货币形式作为可变资本的货币形式流回;以及足以使Mαα实现在Ⅰa的商品上,并使为在Ⅱαα内部实现Ⅱαα的剩余价值而预付的货币流回到Ⅱαα那里。最后,这些货币足以使Ⅱαα的不变资本中等于(V+M)Ⅱα的部分转化为a的生产资料,恢复Ⅱα的可变资本的货币形式,保证Ⅱα中预付在剩余价值流通上的货币流回,——同样,足以使Ⅱα的剩余价值实现在Ⅰa的商品上。
如果Ⅱαα和Ⅱα各预付100镑货币,而不是预付50镑货币,那么,重新流回到Ⅱαα和Ⅱα那里的相应地各为100镑,而不是50镑。同量商品是用550镑而不是用450镑进行交换的,也就是说,有更大部分的财富会以不生产的金属形式沉淀下来。
最后,C200αα(W)和C400α的流通所必需的货币只在这些领域本身中发挥作用,而不进入同Ⅰa的流通。
(2)第二,规律:M(a,αα+α)=V(b,ββ+β)。
在图式中,假定(b)的资本家的消费资料和(a)的工人的消费资料是由完全不同的资本生产出来的;假定它们是完全不同的物品。
实际情况并不是这样。构成(a)的工人的消费资料量的必要生活资料中的很大部分,也进入资本家及其仆役的消费,从而进入Ⅰa的商品类别。另一方面,Ⅰb的奢侈品中的较小的一部分也进入工人的消费。
这会使(2)点中提出的规律在怎样的程度上发生变态呢?
由于某一数量关系在这里可以任意确定,而丝毫不影响内部联系,所以我们从下述观点{例如,假定I∶V=M(第191页FN39)}出发来考察图式:资本家的消费资料的1/2由必要生活资料组成,1/2由奢侈品组成,而工人的消费资料的1/10由奢侈品组成,9/10由必要生活资料组成。
这样,Ⅰ(a)就转化为必要生活资料的生产,而Ⅰ(b)则转化为奢侈品的生产。
如果以过去的生产关系为前提,我们就得出:
Ⅰ(a) (必要生活资料) +Ⅰ(b) (奢侈品)
C280a+V70a+M70a
C120b+V30b+M30b
Ⅱ(αα)C280αα+V70αα+M70αα +Ⅱ(ββ) C120ββ+V30ββ+M30ββ
Ⅱ(α) C280α+V70α+M70α +Ⅱ(β) C120β+V30β+M30β。
在工资上首先花费300(即3×70=210V(a,αα,α)和3×30=90V(b,ββ,β),210+90=300镑,这和过去一样)。
首先流回到Ⅰ(a)的是70镑-1/10[×70],也就是70-7=63镑,因为工人把自己的收入的1/10花在Ⅰ(b)的商品上。
同样,流回到Ⅰ(a)的是来自Ⅱαα和Ⅱα的2×63镑=126镑,和来自Ⅰb、Ⅱββ、Ⅱβ的81镑。(因为这里1/10也花费在奢侈品上。)
因此,流回到Ⅰ(a)的是63镑+126镑+81镑货币=270镑(=(300-1)/(10×300))。
在这270镑中,Ⅰa中只剩63镑——作为回流的可变资本货币形式——因此我们得出:(概况)
[198]Ⅰ(a) C73a(W)+C207a(货币) +Ⅰ(b) C120b
+ +
V7a(W)+V63a(货币) V30b
+ +
M70a M30b
Ⅱ(αα)C280αα+V70αα+M70αα +Ⅱ(ββ)C120ββ+V30ββ+M30ββ
Ⅱ(α) C280α+V70α+M70α +Ⅱ(β) C120β+V30β+M30β。
其次,工人用自己的工资的余额购买Ⅰb的商品。因此,从Ⅰa、Ⅱαα和Ⅱα流到Ⅰ(b)的是21镑货币(3×V7)而在Ⅰb本身中的是3×3=9(=3V3)。总共是30镑。
因此,这样就完成可变货币资本到Ⅰb的回流,我们得出:
Ⅰ(a) C73a(W)+C207a(货币) +Ⅰ(b) C120b
+ +
V7a(W)+V63a(货币) V30b(货币)
+ +
M70a M30b
Ⅱ(αα)C280αα+V70αα+M70αα +Ⅱ(ββ)C120ββ+V30ββ+M30ββ
Ⅱ(α) C280α+V70α+M70α +Ⅱ(β) C120β+V30β+M30β。
因此,如果从总工资中流到Ⅰa的只有(300-1)/〔10×(300)〕=270,那么,相反,直接流到Ⅰb的是V30b,即相当于Ⅰb的消费基金180的1/6,即6×30=180镑的1/6(Ⅰb价值的1/6=180/6=30镑),这等于劳动基金的1/10(300/10=30镑)。
此外,为便于进一步考察,一开始就应当指出,M70a是在实物形式上消费的。这种流通所必需的货币很少被其他各个类所注意,就象借助这一货币进行流通的M35a的产品很少被其他各个类注意一样。
Ⅰa资本家所消费的总价值等于他们的剩余价值的1/2,即300/2=150镑。但在这150镑中,在Ⅰa本身中消费的是35镑。
因此,剩下由其他资本家在Ⅰa中消费的是150-35=115镑。并且实际上,Ⅰa中还可以在商品形式上消费的现在是73+7+35=115镑。
因此,在进一步的流通中我们还应当考察:
Ⅰ(a) C73a(W)+C207a(货币) +Ⅰ(b) C120b(W)
+ +
V7a(W)+V63a(货币) V30b(货币)
+ +
M70a(W) M30b
Ⅱ(αα)C280αα+V70αα+M70αα + Ⅱ(ββ) C120ββ+V30ββ+M30ββ
Ⅱ(α) C280α+V70α+M70α +Ⅱ(β) C120β+V30β+M30β。
Ⅰa的207镑花费在Ⅱαα的商品上。因此,V70αα+M70αα=140镑先要转化为货币。从207减去140,尚余67,借助于这67,C280αα的一部分转化为货币。280-67=213(Ⅱαα的商品形式)。如果Ⅱαα用货币补偿自己的可变资本V70αα,那么,它还必须把70+67=137花在Ⅱα的商品上。这样,V70α+M70α就得到货币补偿,我们可得出总的情况:
Ⅰ(a) C73a(W)+C207 a(αα的生产资料) +Ⅰ(b) C120b(W)
+ +
V7a(W)+V63a(货币) V30b(货币)
+ +
M35a(W) M30b(W)
Ⅱ(αα) C213αα+C67αα(Wα) +Ⅱ(ββ) C120ββ
+ +
V70αα(货币) V30ββ
+ +
M70αα(Wα) M30ββ
Ⅱ(α) C280 α +Ⅱ(β) C120β
+ +
V70α(货币) V30β
+ +
M67α(货币)+M3(Wα) M30β。
Ⅱα应当总共消费70镑剩余价值。其中35镑是以Ⅰa的商品形式,35镑是以Ⅰb的商品形式。但它只有货币67。因此,它先把35镑花费在Ⅰa的商品上,32镑花费在Ⅰ(b)的商品上。
于是,我们得到:
Ⅰ(a) C73a(W)+C207a(αα的产品) +Ⅰ(b) C118b+C2(货币)
+ +
V7a(W)+V63a(货币) V30b(货币)
+ +
M35a(货币) M30b(货币)
Ⅱ(αα) C213αα+C67αα(Wα) + Ⅱ(ββ) C120ββ
+ +
V70αα(货币) V30ββ
+ +
M70αα(Wα) M30ββ
Ⅱ(α) C280α +Ⅱ(β) C120β
+ +
V70α(货币) V30β
+ +
M3(Wα) M30β。
Ⅰa用这35镑购买αα的35[镑]商[品]。
C213αα转化为C178αα+C35αα(货币)+其他等等。
但是,现在Ⅱαα还应当把3镑花费在Ⅱα的商品上。
经过这种交换以后,我们会得到:
Ⅱ(αα)C178αα+C3(Wα)+C32αα(货币)+C67αα(Wα)+M70αα(Wα)+V70αα
或者 (货币)
C140αα(Wα)+C140(Wαα)+V70αα(货币)+{M38(Wα)+M32αα(货币)},
而Ⅱ(α)就会是:C280α+V70α(货币)+M3α(货币)。
因此,我们就会得到:
Ⅰ(a) C73a(W)+C207(αα的生产资料) +Ⅰ(b) C118b+C2b(货币)
+ +
V7a(W)+V63a(货币) V30b(货币)
+ +
M35a(Wαα) M30b(货币)
Ⅱ(αα) C280αα(=C140Wα+C140Wαα) +Ⅱ(ββ) C120ββ
+ +
V70αα(货币) V30ββ
+ +
M70(=M38Wαα+M32货币) M30ββ
Ⅱ(α) C280 α+V70α(货币) +Ⅱ(β) C120β+V30β+M30β。
+
M3α(货币)
[199]Ⅱα还只应当把3镑花费在Ⅰb中,这样我们就得到:
Ⅰ(a) C73a(W)+C207a(Wαα) +Ⅰ(b) C115b+C5b(货币)
+ +
V7a(W)+V63a(货币) V30b(货币)
+ +
M35(Wαα) M30b(货币)
Ⅱ(αα) C280αα(=C140[W]αα+C140[W]α) +Ⅱ(ββ) C120ββ
+ +
V70αα(货币) V30ββ
+ +
M70{=M38Wαα+M32αα(货币)} M30ββ
Ⅱ(α) C280α+V70α(货币) +Ⅱ(β) C120β+V30β+M30β。
Ⅱαα把32镑花费在Ⅰa的商品上,Ⅰa用32镑购买Ⅱαα的商品。Ⅱαα用这32镑中的3镑购买Ⅰa的3镑商品和Ⅰb的29镑[商品]。因而我们得到:
Ⅰ(a) C41a(W)+C32a([W]αα) +Ⅰ(b) C86b(W)
+ +
C207a([W]αα) C34b(货币)
+ +
V4a(W)+V66a(货币) V30b(货币)
+ +
M35(Wαα) M30b(货币)
Ⅱ(αα) C280αα(=C140[W]αα+C140[W]α) +Ⅱ(ββ) C120ββ
+ +
V70αα(货币) V30ββ
+ +
M6αα(W) M30ββ
Ⅱ(α) C280α+V70α(货币) +Ⅱ(β) C120β+V30β+M30β。
Ⅰb应当用15镑向Ⅰa购买。假定Ⅰb这样做了(在它补偿自己的不变资本以前)。
于是我们就得出:
Ⅰ(a) C30a(W)+C11a(货币) +Ⅰ(b) C86b(W)
+ +
C32a(αα)+C207a(αα) C34b(货币)
+ +
V70a(货币) V30b(货币)
+ +
M35(Wαα) M15b(货币)
Ⅱ(αα)C280αα+V70αα(货币)+M6αα(W) +Ⅱ(ββ) C120ββ+V30ββ+M30ββ
Ⅱ(α) C280α+V70α(货币) +Ⅱ(β) C120β+V30β+M30β。
Ⅰ(a)把这11镑货币中的6镑花费在αα的商[品]上,5镑花费在Ⅰb的商[品]上。Ⅱαα同样把这6镑花费在Ⅰb的商品上,因此,这11镑流回到Ⅰb,于是我们得出:
Ⅰ(a) C30a(W)+C6αα+C32αα+C207αα
+
V70(货币)+M35αα,或者:
Ⅰ(a) C280([W]αα) +Ⅰ(b) C75b(W)+C45b(货币)
+ +
V70(货币) V30b(货币)
+ +
C30a(W)(=M35-5) M15b(货币)
Ⅱ(αα) C280αα(=C140αα+C140α) +Ⅱ(ββ) C120ββ
+ +
V70αα(货币) V30ββ+M30ββ
+ +
Ⅱ(α)C280α+V70α(货币) +Ⅱ(β) C120β+V30β+M30β。
Ⅰ(b)用这60镑货币购买Ⅱββ的商品,其中30镑使V30ββ转化为货币,30镑花费在Ⅱβ中,在后者这里,借助于这30镑使V30β转化为货币。于是,这一流通结束。因此我们得到:
Ⅰ(a) C280([W]αα) +Ⅰ(b) C75b(W)+C60b([W]ββ)
+ +
V70a(货币) V30b(货币)
+
C30a(W)(=M35-5)
Ⅱ(αα) C280αα(=C140αα+C140α) +Ⅱ(ββ) C120ββ
+ +
V70αα(货币) V30ββ(货币)
+
M30ββ(Ⅱβ的商品)
Ⅱ(α) C280α +Ⅱ(β) C120β
+ +
V70α(货币) V30β(货币)+M30β。
C75(Wb)中应当以Ⅱββ的商品形式补偿60[镑],而15镑应在Ⅰb本身中消费。假定这一流通需要7+(1/2)镑,那么,
Ⅰ(b)=C60b(W)+C60b([W]ββ)+V30b(货币)+(剩余价值流通所必需的7+(1/2)镑)。
其次,如果我们假定,为了M30ββ+M30β的流通,两个类各预付15镑,总共预付30[镑],那么,Ⅱββ就花费15镑货币,用这15镑货币向Ⅰb购买15镑商品。同样,Ⅱβ也花费15镑货币,用这15镑货币向Ⅰb购买商品。
于是我们得出:
Ⅰ(b)=C30b(货币)+C30b(Wb)+C60b([W]ββ)+V30b(货币)。
Ⅰb用这30镑货币购买ββ的30镑商品,由此得出:
Ⅰ(b)C30b([W]ββ)+C30b(Wb)+C60b([W]ββ)+V30b(货币)。
相反,Ⅱββ变成:
Ⅱ(ββ)C90ββ+C30ββ(货币)+V30ββ(货币)+M30ββ(Ⅱβ的商品)。
Ⅱββ用30镑购买Ⅱβ的商品,因而变成:
Ⅱ(ββ)C90ββ+C30ββ(β的商品)+V30ββ(货币)+M30ββ(β的[商品])。
以及Ⅱ(β)C120β+V30β(货币)+M30(货币)。
[200]或者我们得出:
Ⅰ(a) C280a(Wαα) +Ⅰ(b) C90b([W]ββ)+C30b(Wb)
+ +
V70a(货币) V30b(货币)
+ +
M30a(W)
Ⅱ(αα) C280αα(=C140αα+C140α) + Ⅱ(ββ) C60ββ+C60ββ(β)
+ +
V70αα(货币) V30ββ(货币)
+
M30ββ(W)
Ⅱ(α) C280α+V70α(货币) +Ⅱ(β) C120β
+
V30β(货币)
+
(M流通所必需的15镑)
+
M15β(货币)。
Ⅱβ用15镑购买Ⅰ(a)的商[品],Ⅰ(a)用15镑购买Ⅰ(b)的商品,Ⅰ(b)用15镑购买Ⅱββ的商品。
因而我们得出:
Ⅰ(a) C280a([W]αα) +Ⅰ(b) C105b([W]ββ)+C15b(Wb)
+ +
V70a(货币) V30b(货币)
+ +
M15a(W)
Ⅱ(αα) C280αα +Ⅱ(ββ) C120([W]ββ和β)
+ +
V70αα(货币) V30ββ(货币)
+
M15ββ(货币)+M15ββ(W)
Ⅱ(α) C280α+V70α(货币) +Ⅱ(β) C120β+V30β(货币)
+
(M流通所必需的15镑)。
Ⅱββ用15镑购买Ⅰ(a)的商品,Ⅰ(a)用15镑购买Ⅰ(b)的商品,Ⅰ(b)用15镑购买Ⅱββ的商品,因此这15镑重新流到Ⅱββ那里。因而我们得出:
Ⅰ(a) C280a([W]αα) +Ⅰ(b) C120b(Wββ)
+ +
V70a(货币) V30b(货币)
+
(用于M流通的7+(1/2)镑货币)
Ⅱ(αα) C280αα+V70αα(货币) +Ⅱ(ββ) C120ββ+V30ββ(货币)
+
(用于M流通的15镑)
Ⅱ(α) C280α+V70α(货币) +Ⅱ(β) C120β+V30β(货币)
+
(用于M流通的15镑)。
M(a+αα+α)总额=70×3=210镑。
V(b+ββ+β)总额=30×3=90镑。
现在,首先要指出,〔M(a+αα+α)〕/2=70/2×3=105镑是以Ⅰ(a)本身的产品的形式消费的。因此,M(a+αα+α)的这部分价值不进入同Ⅰ(b)等等的流通。
〔 M(a+αα+α)〕/2(=105)同V(b+ββ+β)(=90)之间的差额是105-90=15镑。这个差额应加以说明。
I(a)=C280a+V70a+M70a=420镑。(WIa)=V70a+M70a+V70αα+M70αα+V70α+M70α。
Ⅰa、Ⅱαα、Ⅱα这些类在Ⅰa[类]中消费:
(1)3×V67=V189(a,αα,α);因此,尚余3×V7=V21(a,αα,α)。
此外:
(2)3×M35=M105(a,αα,α);因此,尚余3×M35=M105(a,αα,α)。
此外:
Ⅰ(b)=C120b+V30b+M30b=V30b+M30b+V30ββ+M30ββ+V30β+M30β。
Ⅰ(b)、Ⅱββ、Ⅱβ这些类在Ⅰ(b)类中消费:
(1)3×V3=V5(b,ββ,β)。因此,尚余3×V27=V81(b,ββ,β)。
此外:
(2)3×M15=M45(b,ββ,β);因此,尚余M45(b,ββ,β)。
因此,我们得出:
Ⅰ(a)=V21(a,αα,α)(WⅠa)+M105(a,αα,α)(WⅠa)
+Ⅰ(b)=V81(b,ββ,β)(WⅠb)+M45(b,ββ,β)(WⅠb)。
此外,Ⅰ(a)中M105(a,αα,α)=M81(a,αα,α)+M24(a,αα,α)。
由此我们得出:

因此,应当在Ⅰb中实现的Ⅰa的剩余价值分解为两部分:
Ⅰ(a)M81(a,αα,α)=Ⅰ(b)V81(b,ββ,β),它们互相交换。
Ⅰ(a)的价值M81通过V81(b,ββ,β)组成的商品来实现,而Ⅰ(b)的价值V81(b,ββ,β)通过Ⅰ(a)M81组成的商品来实现。
但是,第二,在等于M24(b,ββ,β)的Ⅰa商品上实现的Ⅰb等等的剩余价值部分,等于105[镑](a,αα,α)的剩余价值减去V81(b,ββ,β)后的余额,也就是等于M24(a,αα,α)。
最后,等于M21(b,ββ,β)的Ⅰb、Ⅱββ、Ⅱβ的剩余价值余额,等于在Ⅰb商品上实现的V(a,αα,α)部分,也就是V21(a,αα,α)。
Ⅰa、Ⅱαα、Ⅱα的剩余价值等于70×3=210,或M210(a,αα,α)。
Ⅰb、Ⅱββ、Ⅱβ的可变资本等于30×3=90,或V90(b,ββ,β)。
因此,M210(a,αα,α)-M105(a,αα,α)(在Ⅰa等等本身中消费)-M24(b,ββ,β)(在Ⅰa中消费)=V90(b,ββ,β)-V9(b,ββ,β),后者以Ⅰb的商品形式消费。
M210(a,αα,α)-M105(a,αα,α)-M24(b,ββ,β)=M81(a,αα,α),而V90(b,ββ,β)-V9(b,ββ,β)也等于V81(b,ββ,β)。
[201]或者,因为M24(b,ββ,β)=M45(b,ββ,β)-M21(b,ββ,β)=V21(a,αα,α),所以:
M210(a,αα,α)-M105(a,αα,α)-{M45(b,ββ,β)-M21(b,ββ,β)=V21(a,αα,α)}=V90(b,ββ,β)-V9(b,ββ,β),或M81(a,αα,α)=V81(b,ββ,β)。
也就是说,如果我们从Ⅰa、Ⅱαα、Ⅱα中所生产的剩余价值M210(a,αα,α)中扣除:第一,其中在Ⅰa的商品上实现的那一部分{等于M105(a,αα,α),第二,Ⅰa、Ⅱαα、Ⅱα的这样一部分剩余价值,这部分剩余价值等于在Ⅰa的商品上实现的Ⅰb、Ⅱββ、Ⅱβ的剩余价值部分(这个部分等于Ⅰb、Ⅱββ、Ⅱβ的剩余价值减去其中同V(a,αα,α)相交换的部分后的余额,即前者减去在Ⅰa的商品上实现的那个剩余价值部分的余额),——那么,余额M(a,αα,α)就等于V(b,ββ,β),即在Ⅰb的商品上实现的V(b,ββ,β)部分。
总之,例如Ⅰ(b)=C120b+V30b+M30b,或等于V30b+M30b+V30ββ+M30ββ+V30β+M30β。
如果我们用V′等等表示Ⅰa中消费的V和M部分,而用V″等等表示Ⅰb中消费的部分,那么,
(1)Vb+Mb+Vββ+Mββ+Vβ+Mβ=V′b+V″b+M′b+M″b+V′ββ+V″ββ+M′ββ+M″ββ+V′β+V″β+M′β+M″β。
此外,
(2)Ⅰb=V″a+V″αα+V″α+M″a+M″αα+M″α+V″b+V″ββ+V″β+M″b+M″ββ+M″β。
由此得出:
(3)V″a+V″αα+V″α+M″a+M″αα+M″α+[V″b]+[V″ββ]+[V″β]+[M″b]+[M″ββ]+[M″β]= V′b+[V″b]+M′b+[M″b]+V′ββ+[V″ββ]+M′ββ+[M″ββ]+V′β+[V″β]+M′β+[M″ββ]FN40。
如果在这里我们从两边减去V″(b,ββ,β)和M″(b,ββ,β)就可以得到:
(4)V″(a,αα,α)+M″(a,αα,α)=V′(b,ββ,β)+M′(b,ββ,β)。
现在,第一:
V″(a,αα,α)<M″(a,αα,α)和V′(b,ββ,β)>M′(b,ββ,β)。
其次:V″(a,αα,α)<M′(b,ββ,β)。
如果V″(a,αα,α)=M′(b,ββ,β),那么,
M″(a,αα,α)=V′(b,ββ,β)。
因此:
V″(a,αα,α)+V′(b,ββ,β)=M″(b,ββ,β)+M′(a,αα,α)。
但从等式(4)得出:
M″(a,αα,α)=V′(b,ββ,β)+M′(b,ββ,β)-V″(a,αα,α)。
(1)如果M′(b,ββ,β)=V″(a,αα,α),那么,
M″(a,αα,α)=V′(b,ββ,β)。
(2)如果M′(b,ββ,β)>V″(b,ββ,β),那么,
M″(a,αα,α)>V′(b,ββ,β),
也就是超出额等于M′(b,ββ,β)的余额。
(3)最后,如果M′(b,ββ,β)<V″(a,αα,α),那么,
M″(a,αα,α)<V′(b,ββ,β),
也就是不足额等于V″(a,αα,α)减去M′(b,ββ,β)后[202]的余额。
情况(2)——这正是我们的例子中假设的情况。
用实例来说明情况(1)和(3),就足以证明,在资本主义生产的基础上,这两种情况实际上不可能存在。因此,必须只采用情况(2)。
作者原注
(1) 西尼耳夸夸其谈道:“野蛮人造弓就是从事工业,但他没有实行节欲。”(见第1册第582页[《马克思恩格斯全集》中文版第23卷第654―655页])
恩·弗列罗夫斯基对俄国农民真正的节欲的描写值得引用来进行比较,他们不把自己的一部分谷物吃光,而把它当作种子材料“消费”42。
脚 注
FN1 本章从这里往下到第108页止由恩格斯收入《资本论》第2卷正文(《马克思恩格斯全集》中文版第24卷第389―397页)。在这里和在后面类似的情况下,某些字句上的出入,是由于恩格斯在辞句上作了修改,或者是为了使俄译文更准确而作的修改。——编者注
FN2 指《资本论》第1卷(《马克思恩格斯全集》中文版第23卷)。——编者注
FN3 见本卷第7―98页。——编者注
FN4 见《马克思恩格斯全集》中文版第23卷第234页。——编者注
FN5 见《马克思恩格斯全集》中文版第23卷第647―648页。——编者注
FN6 见《马克思恩格斯全集》中文版第23卷第247―250页。——编者注
FN7 见《马克思恩格斯全集》中文版第23卷第646―647页。——编者注
FN8 本章从这里往下到本页末止由恩格斯收入《资本论》第2卷正文(《马克思恩格斯全集》中文版第24卷第432―433页)。——编者注
FN9 见《马克思恩格斯全集》中文版第23卷第622页。——编者注
FN10 本段由恩格斯收入《资本论》第2卷正文(《马克思恩格斯全集》中文版第24卷第433页)。——编者注
FN11 本章从这里往下到第135页止由恩格斯基本上收入《资本论》第2卷正文(《马克思恩格斯全集》中文版第24卷第434―439页)。——编者注
FN12 见《马克思恩格斯全集》中文版第23卷第238―239页。——编者注
FN13 见《马克思恩格斯全集》中文版第23卷第247―248页。——编者注
FN14 本章从这里往下到第148页止由恩格斯基本上收入《资本论》第2卷正文(《马克思恩格斯全集》中文版第24卷第470―474页)。——编者注
FN15 见《马克思恩格斯全集》中文版第23卷第225―226页。——编者注
FN16 本章从这里往下到第156页止由恩格斯收入《资本论》第2卷正文(《马克思恩格斯全集》中文版第24卷第474―478页)。——编者注
FN17 本章从这里往下到第166页止由恩格斯收入《资本论》第2卷正文(《马克思恩格斯全集》中文版第24卷第478―484页)。——编者注
FN18 本章从这里往下到第172页止由恩格斯收入《资本论》第2卷正文(《马克思恩格斯全集》中文版第24卷第484―486页)。——编者注
FN19 亨·施托尔希《论国民收入的性质》1824年巴黎版第134、135、150页。——编者注
FN20 本章从这里往下到第174页止由恩格斯收入《资本论》第2卷正文(《马克思恩格斯全集》中文版第24卷第486―487页)。——编者注
FN21 见本卷第172页。——编者注
FN22 见《马克思恩格斯全集》中文版第23卷第382页。——编者注
FN23 同上,第417页。——编者注
FN24 参看卷末注40。——译者注
FN25 本章从这里往下到第196页止由恩格斯收入《资本论》第2卷正文(见《马克思恩格斯全集》中文版第24卷第533―536页)。——编者注
FN26 《马克思恩格斯全集》中文版第23卷第150―166页。——编者注
FN27 本章从这里往下到第222页止由恩格斯收入《资本论》第2卷正文(《马克思恩格斯全集》中文版第24卷第540―550页)。——编者注
FN28 见《马克思恩格斯全集》中文版第23卷第186页。——编者注
FN29 R在这里和以下都表示收入(“revenu”。)——编者注
FN30 见本卷第222―228页。——编者注
FN31 见本卷第232―235页。——编者注
FN32 见本卷第245―246页。——编者注
FN33 同上,第239―243页。——编者注
FN34 见本卷第245―246页。——编者注
FN35 这里和以下的方括号中的加数在手稿中被删掉。——编者注
FN36 见本卷第284页。——编者注
FN37 见本卷第292页。——编者注
FN38 见本卷第292页。——编者注
FN39 见本卷第292页。——编者注
FN40 方括号中的加数在手稿中被删去。——编者注
注 释
34 指本手稿第二章,本卷未发表(见注1)。——第101页。
35 马克思在这里是用法文引证杜格耳德·斯图亚特的《亚当·斯密的生平和创作概况》,这部著作曾屡次收入铅印版的斯密的经济学和哲学著作,其中也有一些法译本。马克思写作此手稿时利用的是哪个版本,难以确定。——第114页。
36 马克思这里使用的“A部类”(或其他处使用的“第Ⅰ部类”)是指生产消费资料那一类工业部门,“B部类”(“第Ⅱ部类”)相应地是指生产生产资料的部门。在《资本论》第二卷的最后文本中,根据后来的方案对部类编号采用了相反的顺序。本手稿中在“部类”[подразделение]这个词义上还经常使用“类别”[категория]、“类”[класс]等术语。——第121页。
37 马克思引用的是约·斯·穆勒的著作《推论和归纳的逻辑体系,证明的原则与科学研究方法的关系》,两卷集,第一版1843年在伦敦出版。——第123页。
38 “我已经说了,我已经拯救了自己的灵魂。”——圣经里的话(以西结书,第3章第18―19节和第33章第8―9节)。——第128页。
39 见《马克思恩格斯全集》中文版第23卷第621―634页。——第136页。
40 “从本丢推给彼拉多”——意思是回避解决问题,进行拖延。用语出自福音书中的寓言,讲的是耶稣被敌人逮捕后,被送交罗马皇帝在巴勒斯坦的总督本丢·彼拉多。彼拉多不愿意进行判决,他把耶稣这个加利利人又送交加利利王希律,希律又把他送回彼拉多。——第156页。
41 马克思在《资本论》第一卷引用了罗·托伦斯《论财富的生产》(第70、71页)一书中的见解:“在野蛮人用来投掷他所追逐的野兽的第一块石头上,在他用来打落他用手摘不到的果实的第一根棍子上,我们看到占有一物以取得另一物的情形,这样我们就发现了资本的起源。”马克思评论这个见解时不无讽刺意味地写道:“根据那第一根棍子[stock]也许还可以说,为什么在英语中stock和资本是同义词”(见《马克思恩格斯全集》中文版第23卷第209页)。——第158页。
42 马克思说的是他从原文读过的瓦·瓦·别尔维的著作《俄国工人阶级的状况。恩·弗列罗夫斯基的考察与研究》(1869年圣彼得堡版),书中第191―192页举出俄国一些省的农民的例子,他们为了维护种子储备不被动用和保证谷物的简单再生产,不得不过着半饥饿的生活。——第158页。
43 显然,马克思这里指的是《再论规模不变的再生产》一节中谈不变资本的实物形式的补偿的地方(见本卷第178―185页)。——第168页。
44 马克思指斯密的如下见解:为企业主执行资本职能的一部分资本,形成工人的收入。在《资本论》第二卷中,对这个观点作了充分的批判(见《马克思恩格斯全集》中文版第24卷第422―424页)。——第171页。
45 指斯密的著作《国富论》中的一句话:“每一个国家的土地和劳动的全部年产品……最终必定要用于保证它的居民的消费……”(亚·斯密《国民财富的性质和原因的研究》,新四卷集,1843年伦敦版第2卷第357、358页)。——第172页。
46 指本手稿的第二章。该章第五节《积累。从剩余价值的实现,剩余价值转化为货币的角度研究货币流通》在《资本论》第二卷最后编定时单独编为第十七章(见《马克思恩格斯全集》中文版第24卷第355―388页)。——第192页。
47 见前注。——第192页。
48 指《规模扩大的再生产》这一节的分节(b)《以货币流通为媒介的情形》,根据《目录》判断,马克思打算用这一分节来结束本手稿对再生产问题的考察(见本卷第6页)。——第198页。
49 “罗伊特的检察官”——看来是指德国幽默作家弗·罗伊特一些作品中的人物“检察官布雷济希”(Entspektor ßräsig)。——第213页。
50 法国研究院——法国的最高科学机构,由若干分院即学院组成;自1795年成立。德斯杜特·德·特拉西是伦理学和政治学学院院士。费拉得尔菲亚哲学协会——美国最早的科学协会之一,成立于1740年。——第222页。
51 马克思提到的是1861年进行的英格兰和威尔士人口调查材料,即《1861年英格兰和威尔士人口调查》1863年伦敦版。——第303页。